ESTABLECE ÁREA REGLAMENTADA POR POLILLA DEL RACIMO DE LA VID (LOBESIA BOTRANA) EN LOS LUGARES QUE SE INDICA Y DEJA SIN EFECTO RESOLUCIONES ANTERIORES
Núm. 658 exenta.- La Serena, 28 de noviembre de 2018.
Vistos:
Las facultades que me confiere la Ley N° 18.755, Orgánica del Servicio Agrícola y Ganadero y sus posteriores modificaciones; artículos 6° y 7° de la Constitución Política de la República; artículo 2° de la Ley N°18.575 Orgánica Constitucional de Bases de la Administración del Estado, y sus posteriores modificaciones; resolución exenta N°2.433, de 2012, de Director Nacional del SAG, que Delega Atribuciones en Autoridades del SAG, y sus posteriores modificaciones; decreto ley N° 3.557 de 1980, sobre Protección Agrícola, y sus posteriores modificaciones; resolución N° 3.080 de 2003 del Director Nacional del SAG que establece criterios de regionalización en relación a las plagas cuarentenarias para el Territorio de Chile, modificado por resolución exenta N°2.396 de fecha 5 de mayo de 2018; resolución exenta N°5.916 de 2016 de Director Nacional del SAG, que Declara Control Obligatorio de la Polilla del Racimo de la Vid, modificado por resolución exenta N°3.213 de fecha 11 de noviembre de 2017; y resolución N°1.600 de la Contraloría General de República, y sus posteriores modificaciones.
Considerando:
1. Que se considera necesario disponer de medidas fitosanitarias tendientes a contener o erradicar, cuando corresponda, la plaga Polilla del Racimo de la Vid;
2. Que, para este propósito el Servicio Agrícola y Ganadero (SAG) está facultado para establecer las medidas de control que estime necesarias, en resguardo del patrimonio fitosanitario nacional;
3. Que, por resolución exenta N° 5.916 de 2016, indica en su Resuelvo N°4, que en caso de detectarse un brote, fíjese como área reglamentada la zona definida por un radio de 3 km., determinada desde cada brote de la plaga Lobesia botrana dentro de la cual se ejecutan las labores de control propiamente tal, y
4. Que, mediante resoluciones exentas N°680 de fecha 30 de octubre de 2017, comuna de Coquimbo, localidad de Tongoy; N°765 de fecha 24 de noviembre de 2017, comuna de La Serena y comuna de Coquimbo, Sector Sindempart; N°422 de fecha 26 de septiembre de 2014, comuna de Monte Patria, localidad El Palqui; N° 668 de fecha 4 de noviembre de 2016, comuna de Monte Patria, localidad El Litre; N° 726 de fecha 13 de noviembre de 2017, comuna de Ovalle; N° 939 de fecha 6 de octubre de 2015, comuna de Illapel; N°594 de fecha 6 de octubre de 2016, comuna de Salamanca, localidad La Higuerilla; N° 703 de fecha 17 de noviembre de 2016, comuna de Salamanca, localidad de Cuncumén; N°183 de fecha 16 de marzo de 2017, comuna de Salamanca, localidad de Chuchiñí, establecen áreas reglamentadas por Polilla del Racimo de la Vid (Lobesia botrana).
Resuelvo:
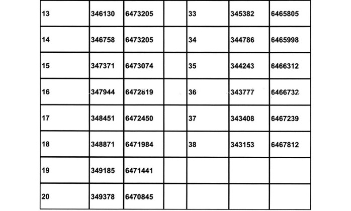
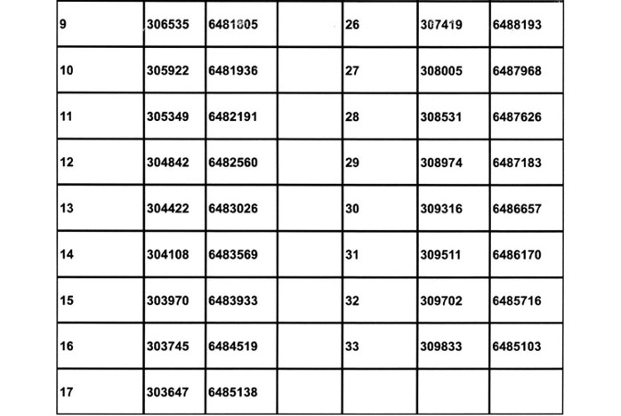
1. Establécense como área reglamentada para Lobesia botrana, en la Región de Coquimbo, que incorpora parcialmente a la comuna de Coquimbo, Localidad de Tongoy, los polígonos determinados por las siguientes coordenadas UTM, señaladas a continuación:
. 2. Establécense como área reglamentada para Lobesia botrana, en la Región de Coquimbo, que incorpora parcialmente a la comuna de La Serena, los polígonos determinados por las siguientes coordenadas UTM, señaladas a continuación:
. 3. Establécense como área reglamentada para Lobesia botrana, en la Región de Coquimbo, que incorpora parcialmente a la comuna de Coquimbo, Sector Sindempart, los polígonos determinados por las siguientes coordenadas UTM, señaladas a continuación:
. 4. Establécense como área reglamentada para Lobesia botrana, en la Región de Coquimbo, que incorpora parcialmente a la comuna de Monte Patria, localidad El Palqui, los polígonos determinados por las siguientes coordenadas UTM, señaladas a continuación:
. 5. Establécense como área reglamentada para Lobesia botrana, en la Región de Coquimbo, que incorpora parcialmente a la comuna de Monte Patria, localidad Los Litres, los polígonos determinados por las siguientes coordenadas UTM, señaladas a continuación:
.
6. Establécense como área reglamentada para Lobesia botrana, en la Región de Coquimbo, que incorpora parcialmente a la comuna de Ovalle, los polígonos determinados por las siguientes coordenadas UTM, señaladas a continuación:
.
. 7. Establécense como área reglamentada para Lobesia botrana, en la Región de Coquimbo, que incorpora parcialmente a la comuna de Salamanca, localidad de Chuchuñí, los polígonos determinados por las siguientes coordenadas UTM, señaladas a continuación:
.
. 8. Establécense como área reglamentada para Lobesia botrana, en la Región de Coquimbo, que incorpora parcialmente a la comuna de Salamanca, localidad de La Higuerilla, los polígonos determinados por las siguientes coordenadas UTM, señaladas a continuación:
.
. 9. Establécense como área reglamentada para Lobesia botrana, en la Región de Coquimbo, que incorpora parcialmente a la comuna de Salamanca, localidad de Cuncumén, los polígonos determinados por las siguientes coordenadas UTM, señaladas a continuación:
.
. 10. Establécense como área reglamentada para Lobesia botrana, en la Región de Coquimbo, que incorpora parcialmente a la comuna de Illapel, los polígonos determinados por las siguientes coordenadas UTM, señaladas a continuación:
.
. 11. Aplíquense las medidas fitosanitarias, establecidas en la resolución N° 5.916 de 21 de octubre de 2016, del Director Nacional del Servicio Agrícola y Ganadero, en forma inmediata en el área definida en la presente resolución y,
12. El Servicio Agrícola y Ganadero podrá determinar un plan de trabajo con metas parciales para un determinado predio, fijando las medidas, la oportunidad y la eficiencia necesaria para lograr su completa ejecución. El plan de trabajo a cumplir estará contenido en un acta firmada por el inspector del SAG, la cual será notificada al dueño, arrendatario o tenedor del predio.
13. Déjense sin efecto resoluciones exentas N° 680 de fecha 30 de octubre de 2017, Comuna de Coquimbo, Localidad de Tongoy; N° 765 de fecha 24 de noviembre de 2017, comuna de La Serena y comuna de Coquimbo, Sector Sindempart; N° 422 de fecha 26 de septiembre de 2014, Comuna de Monte Patria, Localidad El Palqui; N° 668 de fecha 4 de noviembre de 2016, Comuna de Monte Patria, Localidad El Litre; N° 726 de fecha 13 de noviembre de 2017, comuna de Ovalle; N° 939 de fecha 6 de octubre de 2015, comuna de Illapel; N° 594 de fecha 6 de octubre de 2016, comuna de Salamanca, localidad La Higuerilla; N° 703 de fecha 17 de noviembre de 2016, comuna de Salamanca, localidad de Cuncumén; N° 183 de fecha 16 de marzo de 2017, comuna de Salamanca, localidad de Chuchiñí, emitidas por esta Dirección Regional.
NOTA
El numeral 2° de la Resolución 214 Exenta, Agricultura, publicada el 10.05.2019. modifica la presente norma en el sentido de revocar parcialmente la presente norma en lo que dice relación a área reglamentada para Lobesia botrana que incorpora parcialmente la comuna de Salamanca, en la localidad de La Higuerilla, Región de Coquimbo0.
El numeral 2° de la Resolución 214 Exenta, Agricultura, publicada el 10.05.2019. modifica la presente norma en el sentido de revocar parcialmente la presente norma en lo que dice relación a área reglamentada para Lobesia botrana que incorpora parcialmente la comuna de Salamanca, en la localidad de La Higuerilla, Región de Coquimbo0.
NOTA 1
El numeral 2° de la Resolución 255 Exenta, Agricultura, publicada el 30.05.2019. modifica la presente norma en el sentido de revocar parcialmente la presente norma en lo que dice relación a área reglamentada para Lobesia botrana que incorpora parcialmente la comuna de Illapel, en la localidad de Illapel, Región de Coquimbo.
El numeral 2° de la Resolución 255 Exenta, Agricultura, publicada el 30.05.2019. modifica la presente norma en el sentido de revocar parcialmente la presente norma en lo que dice relación a área reglamentada para Lobesia botrana que incorpora parcialmente la comuna de Illapel, en la localidad de Illapel, Región de Coquimbo.
NOTA 2
El numeral 2° de la Resolución 410 Exenta, Agricultura, publicada el 13.08.2019., modifica la presente norma en el sentido de revocar parcialmente la presente norma en lo que dice relación a área reglamentada para Lobesia botrana que incorpora parcialmente la comuna de Salamanca, en las localidades de Cuncumén y Chuchiñí, Región de Coquimbo.
El numeral 2° de la Resolución 410 Exenta, Agricultura, publicada el 13.08.2019., modifica la presente norma en el sentido de revocar parcialmente la presente norma en lo que dice relación a área reglamentada para Lobesia botrana que incorpora parcialmente la comuna de Salamanca, en las localidades de Cuncumén y Chuchiñí, Región de Coquimbo.
Anótese, transcríbase, comuníquese, notifíquese y publíquese.- Cristian Sabelle Ross, Director Regional (S) Región de Coquimbo, Servicio Agrícola y Ganadero.