AMPLÍA EL ÁREA MARINA COSTERA PROTEGIDA DE MÚLTIPLES USOS "MAR DE JUAN FERNÁNDEZ" Y CREA EL PARQUE MARINO "MAR DE JUAN FERNÁNDEZ"
Núm. 12.- Santiago, 28 de febrero de 2018.
Vistos:
Lo dispuesto en los artículos 19 N° 8 y 32 N° 6 de la Constitución Política de la República; en los artículos 34, 70 letras b) y c), 71 letra c) y 73 de la Ley Nº 19.300 sobre Bases Generales del Medio Ambiente; en el artículo 3 letra d) de la Ley Nº 18.892 Ley General de Pesca y Acuicultura, cuyo texto refundido, coordinado y sistematizado fue fijado mediante el decreto supremo Nº 430 de 1991, del Ministerio de Economía, Fomento y Reconstrucción y sus modificaciones; en el decreto supremo Nº 238 del Ministerio de Economía, Fomento y Turismo que establece el Reglamento sobre Parques Marinos y Reservas Marinas de la Ley General de Pesca y Acuicultura; en el decreto supremo Nº 1.393 de 1997 del Ministerio de Relaciones Exteriores que promulga la Convención de las Naciones Unidas sobre el Derecho del Mar; el decreto supremo Nº 1.963 de 1994 del Ministerio de Relaciones Exteriores, que promulga como ley de la República el Convenio sobre Diversidad Biológica; en el decreto supremo Nº 475 de 1994 del Ministerio de Defensa Nacional, que establece la Política Nacional de Uso del Borde Costero del Litoral de la República, y crea Comisión Nacional que indica; en el informe técnico N° 62/18 elaborado por la Subsecretaría de Pesca y Acuicultura, respecto del Parque Marino Mar de Juan Fernández; en el informe técnico Nº 1/2018 del Departamento de Áreas Protegidas del Ministerio del Medio Ambiente, respecto a la ampliación de la Área Marina Costera Protegida de Múltiples Usos Mar de Juan Fernández; en el oficio Nº 366 de 26 de febrero de 2018 de la Subsecretaría de Pesca y Acuicultura al Comité Científico Técnico respectivo; en el oficio Nº 261 de 26 de febrero de 2018 de la Subsecretaría de Pesca y Acuicultura al Consejo Zonal de Pesca regiones de Valparaíso, O'Higgins y Maule; en el Acuerdo N° 3/2018 del Consejo de Ministros para la Sustentabilidad, adoptado el 22 de enero de 2018; en la resolución N° 1.600 de 2008, de la Contraloría General de la República, y
Considerando:
1. Que es deber del Estado tutelar la preservación de la naturaleza, así como velar por la protección y conservación de la diversidad biológica del país.
2. Que, conforme lo dispone el artículo 71 letra c) de la Ley sobre Bases Generales del Medio Ambiente, es atribución del Consejo de Ministros para la Sustentabilidad proponer al Presidente de la República la creación de las Áreas Protegidas del Estado, que incluye parques y reservas marinas, así como los santuarios de la naturaleza y las áreas marinas costeras protegidas de múltiples usos.
3. Que la categoría de Área Marina Costera Protegida de Múltiples Usos permite la coexistencia armoniosa de actividades pesqueras, de turismo, de investigación científica, de educación y de conservación ambiental, entre otras. Bajo esta categoría se pretende proteger el entorno natural considerando todos sus componentes y que las actividades que se desarrollan en el interior del área se ejecuten de forma tal que no afecten los objetos de conservación.
4. Que, mediante el decreto supremo Nº 10 de 2016, el Ministerio del Medio Ambiente creó el Área Marina Costera Protegida de Múltiples Usos Mar de Juan Fernández, cuyo propósito era conservar y proteger la biodiversidad y los ambientes marinos representativos, incluidos los montes submarinos, de la ecorregión marina de Juan Fernández, asegurando el equilibrio y la continuidad de los procesos ecológicos a través del manejo y uso sustentable de la biodiversidad y el patrimonio natural.
5. Que, con el objeto de proteger los ecosistemas de montes submarinos, el fondo y columna de agua, además de los ecosistemas pelágicos, sus recursos hidrobiológicos y sus especies amenazadas, se ha propuesto ampliar el Área Marina Costera Protegida de Múltiples Usos Mar de Juan Fernández hacia el oeste de las islas, completando con ello un superficie total aproximada de 24.000 km².
6. Que, por su parte, son parques marinos las áreas protegidas destinadas a preservar unidades ecológicas de interés para la ciencia y cautelar áreas que aseguren la mantención y diversidad de especies hidrobiológicas como también aquellas asociadas a su hábitat.
7. Que, en consistencia con lo anterior, se ha propuesto la creación del Parque Marino Mar de Juan Fernández, con una superficie aproximada de 262.000 km², superficie que se extiende por parte de la Zona Económica Exclusiva que rodea el Archipiélago de Juan Fernández.
8. Que la creación del Parque Marino tiene como objetivo la protección de ecosistemas únicos con alto grado de endemismo, como sus montes submarinos y ecosistemas pelágicos, además de la conservación de especies, tales como, el Atún aleta azul del sur, clasificada "En peligro crítico" de extinción; el Tiburón mako, clasificado como "Vulnerable"; la Tortuga laúd, clasificada como "Vulnerable", y el Tiburón azulejo, clasificado como "Casi amenazado", entre otros.
9. Que la Subsecretaría de Pesca y Acuicultura ha emitido el informe técnico Nº 62/2018 y, mediante los oficios Nº 261/2018 y Nº 366/2018, ha comunicado al Consejo Zonal de Pesca y al Comité Científico Técnico respectivos la citada medida de administración, de conformidad a los términos establecidos en el artículo 3º de la Ley General de Pesca y Acuicultura y al artículo 3º del Reglamento sobre Parques Marinos y Reservas Marinas de la Ley General de Pesca y Acuicultura.
10. Que, de conformidad con lo establecido en el artículo 71 letra c) de la Ley N° 19.300, el Consejo de Ministros para la Sustentabilidad, mediante Acuerdo N° 3, de 22 de enero de 2018, acordó unánimemente proponer a S.E. la Presidenta de la República, la ampliación del Área Marina Costera Protegida de Múltiples Usos Mar de Juan Fernández y la creación del Parque Marino Mar de Juan Fernández.
Decreto:
Artículo 1°. Amplía Área Marina Costera Protegida de Múltiples Usos. Amplíase el Área Marina Costera Protegida de Múltiples Usos Mar de Juan Fernández, creada mediante decreto supremo Nº 10 de 2016 del Ministerio del Medio Ambiente, extendiéndose hacia el oeste de las islas, completando con ello una superficie total aproximada de 24.000 km².
En consecuencia, reemplázase en el artículo 1º del decreto supremo Nº 10 de 2016 del Ministerio del Medio Ambiente, el número "11.027,66" por el siguiente: "24.000".
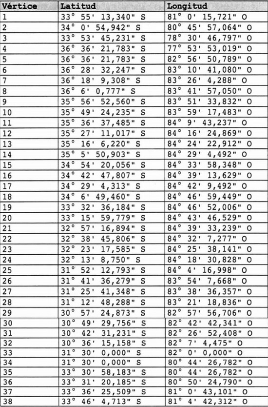
Artículo 2°. Límites. Los límites del Área Marina Costera Protegida de Múltiples Usos, representados en el mapa adjunto, se detallan en coordenadas geográficas WGS 84, y son las siguientes:

Para todos los efectos, dicho mapa, autorizado por el Subsecretario del Medio Ambiente como ministro de fe, forma parte integrante del presente decreto y puede ser consultado en las dependencias del Ministerio del Medio Ambiente, así como en su sitio electrónico.
En consecuencia con lo anterior, elimínese del artículo 3º del decreto supremo Nº 10 de 2016 del Ministerio del Medio Ambiente, la expresión "del Área Marina Costera Protegida de Múltiples Usos y"; reemplácese la expresión "los artículos anteriores" por "el artículo anterior"; y elimínese la tabla de coordenadas denominada "AMCP-MU Mar de Juan Fernández".
Artículo 3°. Objetos de Conservación. Modifíquese el artículo 4 del señalado decreto supremo Nº 10 de 2016, para agregar el siguiente inciso segundo: "Además, el Área Marina Costera Protegida de Múltiples Usos Mar de Juan Fernández tendrá como objetos de conservación los ecosistemas de montes submarinos, su fondo y columna de agua, así como los ecosistemas pelágicos, sus recursos hidrobiológicos y sus especies amenazadas".
Artículo 4°. Administración. El Ministerio del Medio Ambiente, previo pronunciamiento del Consejo de Ministros para la Sustentabilidad, aprobará en un plazo de dieciocho meses un plan de administración del Área Marina Costera Protegida de Múltiples Usos, el cual contendrá las acciones concretas para hacer efectiva la conservación del área, además de los responsables de su ejecución.
Dicho plan de administración será elaborado con la participación de los órganos de la administración del Estado con competencia sobre los usos y actividades desarrollados en el área, quienes además deberán emitir un informe relativo a los efectos de las acciones establecidas en el plan de administración sobre dichos usos y actividades.
En caso que el plan de administración del área contemple acciones recaídas en recursos hidrobiológicos sometidos a medidas de administración y/o conservación adoptadas conforme a la Ley General de Pesca y Acuicultura, éste deberá ser compatible con dichas medidas. En caso de verificarse que las medidas de administración y/o conservación no aseguren el cumplimiento de los objetivos de conservación del área, el Ministerio del Medio Ambiente deberá trabajar conjuntamente con la Subsecretaría de Pesca y Acuicultura, a fin de adecuar dichas medidas.
Artículo 5°. Crea Parque Marino. Créase el Parque Marino Mar de Juan Fernández en el área que se extiende por parte de la Zona Económica Exclusiva que rodea el Archipiélago de Juan Fernández, con una superficie aproximada de 262.000 km².
Artículo 6°. Límites. Los límites del Parque Marino, representados en el mapa adjunto, se detallan en coordenadas geográficas WGS 84, y son las siguientes:

Para todos los efectos, dicho mapa, autorizado por el Subsecretario del Medio Ambiente como ministro de fe, forma parte integrante del presente decreto y puede ser consultado en las dependencias del Ministerio del Medio Ambiente, así como en su sitio electrónico.
Artículo 7°. Objetos de Conservación. El Parque Marino Mar de Juan Fernández tendrá como objetos de conservación:
a) El ecosistema marino pelágico;
b) Las especies presentes en dicho ecosistema, entre las cuales destacan el atún de aleta azul del sur (Thunnus maccoyii), el tiburón marrajo dentudo (Isurus oxyrinchus), el tiburón azulejo (Prionace glauca), las tortugas marinas (Dermochelys coriácea) y ballenas.
Artículo 8°. Tuición. El Parque Marino quedará bajo la tuición del Servicio Nacional de Pesca y Acuicultura.
Artículo 9°. Plan general de administración. En un plazo de un año contado desde la publicación del presente acto, el Servicio Nacional de Pesca y la Subsecretaría de Pesca y Acuicultura deberán elaborar una propuesta de plan general de administración, con consulta al Ministerio del Medio Ambiente.
Dicho plan contendrá las acciones concretas para hacer efectiva la protección y conservación del área, además de los responsables de su ejecución, y deberá coordinarse con el plan de administración mencionado en el artículo 4º.
Artículo 10. Supervigilancia. El Ministerio del Medio Ambiente tendrá a su cargo la supervigilancia del Área Marina Costera Protegida de Múltiples Usos y el Parque Marino Mar de Juan Fernández. En virtud de lo anterior, para un manejo eficaz y eficiente de tales áreas, velará por la coordinación en la elaboración de los planes de administración y general de administración de ambas áreas.
Artículo 11. Actividades. Toda actividad que se realice en las áreas anteriores deberá ser compatible con los objetos de conservación de las mismas y deberá ajustarse a lo dispuesto en los respectivos planes administración.
Anótese, tómese razón y publíquese.- MICHELLE BACHELET JERIA, Presidenta de la República.- Marcelo Mena Carrasco, Ministro del Medio Ambiente.- José Antonio Gómez Urrutia, Ministro de Defensa Nacional.- Natalia Piergentili Domenech, Ministra (S) de Economía, Fomento y Turismo.
Lo que transcribo para Ud. para los fines que estime pertinentes.- Felipe Riesco Eyzaguirre, Subsecretario del Medio Ambiente.