ASIGNA SUBSIDIOS HABITACIONALES DEL PROGRAMA DE PROTECCIÓN DEL PATRIMONIO FAMILIAR EN SU MODALIDAD REGULADA POR EL CAPÍTULO SEGUNDO, DE LA ATENCIÓN A CONDOMINIOS DE VIVIENDAS SOCIALES, DESTINADOS AL MEJORAMIENTO DE LA VIVIENDA PARA LOS CONDOMINIOS "RIGOBERTO JARA VI" Y "RIGOBERTO JARA VIl" DE LA COMUNA DE QUILICURA, REGIÓN METROPOLITANA
    Santiago, 28 de diciembre de 2018.- Hoy se resolvió lo que sigue:
    Núm. 10.636 exenta.
    Visto:
    a) La facultad que me confiere el artículo 2º, inciso tercero, del decreto supremo Nº 255 (V. y U.), de 2006, que reglamenta el Programa de Protección del Patrimonio Familiar, para asignar directamente por resoluciones hasta un 30% de la cantidad de recursos dispuestos, para proyectos que el Minvu califique como de extrema relevancia y, además, para modificar las condiciones o requisitos establecidos en dicho decreto.
    b) El artículo 15 de la ley Nº 20.898, que autoriza al Ministerio de Vivienda y Urbanismo para financiar gastos y obras necesarias para la regularización de viviendas, estableciendo la facultad de otorgar subsidios a comunidades de copropietarios constituidas de acuerdo a la ley Nº 19.537, sobre copropiedad inmobiliaria.
    c) La resolución exenta Nº 30, del Ministerio de Hacienda y Ministerio de Vivienda y Urbanismo, de fecha 4 de enero de 2018, que autoriza a efectuar llamados a postulación y/o comprometer recursos en el otorgamiento de Subsidios Habitacionales durante el año 2018 en Sistemas y Programas que indica, entre ellos, el Programa de Protección del Patrimonio Familiar.
    d) El ordinario Nº 10.234, de fecha 10 de septiembre de 2018, del Director de Serviu Metropolitano, mediante el cual solicita asignación directa de subsidios para la intervención en bienes comunes edificados de los Condominios Rigoberto Jara VI y Rigoberto Jara VII, de la comuna de Quilicura, a fin de realizar obras que permitan erradicar la plaga de xilófagos existente y cambiar puertas y marcos de madera por marcos metálicos.
    e) El Informe Técnico de fecha 4 de abril de 2018, firmado por el Jefe del Departamento de Estudios (S) de Serviu Metropolitano, los presupuestos y las Especificaciones Técnicas preparados por el Prestador de Servicios de Asistencia Municipalidad de Quilicura, todos aprobados por el Departamento de Estudios de Serviu Metropolitano, y adjuntos al ordinario Nº10.234, citado en el visto d) precedente.
    f) El ordinario Nº 434, de fecha 16 de noviembre de 2018, de la Jefa del Departamento de Atención al Déficit Cualitativo, mediante el cual se solicita pronunciamiento técnico por solicitud de asignación directa del Programa de Protección del Patrimonio Familiar, Títulos I y II, para los proyectos Rigoberto Jara VI y VII de la comuna de Quilicura.
    g) El ordinario Nº 726, de fecha 29 de noviembre de 2018, del Jefe (S) de la División de Estudio y Fomento Habitacional, mediante el cual responde el ordinario Nº 434 citado en el visto precedente, indicando que los precios presentados en los presupuestos, aprobados y revisados por Serviu Región Metropolitana, se encuentran acordes a los valores utilizados en la Tabla Referencial de Precios Unitarios del Programa de Protección del Patrimonio Familiar, y
    Considerando:
    1. Que el Director de Serviu de la Región Metropolitana, mediante el ordinario señalado en la letra d) de los vistos de esta resolución, manifiesta la necesidad de asignar subsidios del Programa de Protección del Patrimonio Familiar en su Título II, para la atención de los Condominios Rigoberto Jara VI y Rigoberto Jara VII, de la comuna de Quilicura, para ejecutar partidas necesarias, consistentes en obras que permitan erradicar la plaga de xilófagos existente y cambiar puertas y marcos de madera por marcos metálicos.
    2. Que el Informe Técnico, señalado en la letra e) de los vistos de esta resolución, evidencia la necesidad de ejecutar las obras indicadas en los Condominios Rigoberto Jara VI y Rigoberto Jara VII, de la comuna de Quilicura, a fin de evitar el biodeterioro causado por los xilófagos.
    3. Que, de acuerdo al ordinario Nº726, citado en el visto g) la División de Estudio y Fomento Habitacional se ha pronunciado favorablemente respecto a los precios de las obras involucradas en el proyecto aprobado por Serviu para los Condominios Rigoberto Jara VI y Rigoberto Jara VII, de la comuna de Quilicura.
    4. Que, en atención a lo solicitado en el ordinario citado en la letra d) de los vistos de esta resolución, no corresponde aplicar la facultad delegada a los Secretarios Regionales Ministeriales de Vivienda y Urbanismo, mediante resolución exenta Nº 6.042 (V. y U.), de 2017, modificada por resolución exenta Nº 11.523 (V. y U.) de 2017, de conformidad a lo dispuesto en la letra b) del resuelvo Nº 1 de la citada resolución exenta, dicto la siguiente
    Resolución:
    1. Decláranse de extrema relevancia los proyectos en los Condominios Rigoberto Jara VI y Rigoberto Jara VII, de la comuna de Quilicura, y asígnanse directamente subsidios del Programa de Protección del Patrimonio Familiar en su Título II, regulado por el DS Nº 255 (V. y U.), de 2006, en su modalidad regulada por el capítulo segundo, de la atención a Condominios de Viviendas Sociales, destinados a la atención de dichas comunidades de copropietarios, de acuerdo al siguiente detalle:
.
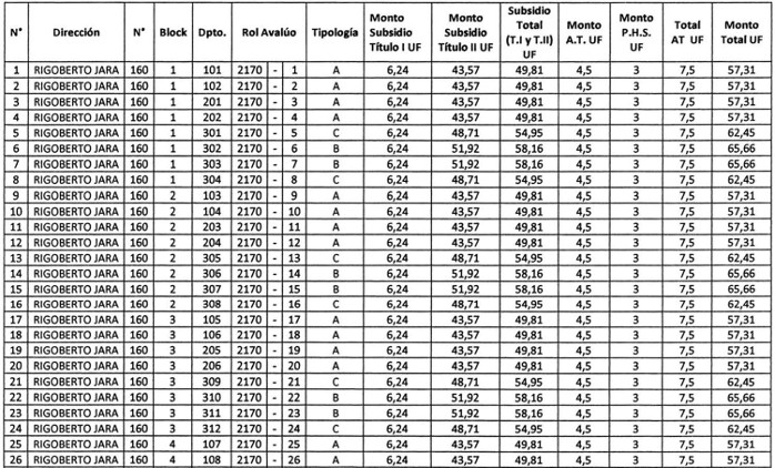
RIGOBERTO JARA VI
RUT: 53.330.303-K
.
.

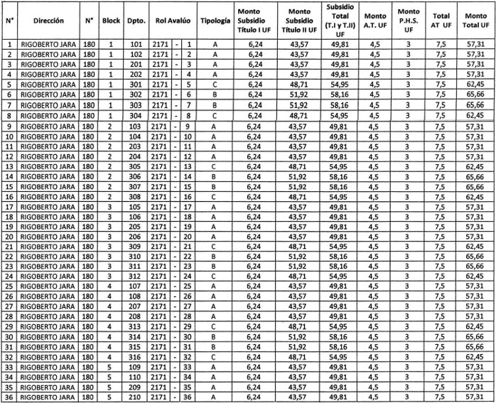
RIGOBERTO JARA VII
RUT: 65.152.541-1
.
.
    2. Exímese a los beneficiarios de cumplir con los siguientes requisitos, condiciones y antecedentes establecidos en el decreto supremo Nº 255 (V. y U.) de 2006:
    a) De la exigencia de la letra a) del inciso cuarto del artículo 37, sobre la presentación de un Certificado de Subsidio y/o su endoso para efectuar pagos.
    b) Del monto de ahorro mínimo exigido en el artículo 9º.
    c) Del monto de subsidio, regulado por el artículo 6º.
    3. Los pagos de ejecución de obras, serán realizados contra actas de conformidad firmadas por el Presidente del Comité de Administración del condominio, junto a los informes de pagos y antecedentes requeridos y aprobados por el Serviu de la Región Metropolitana. Para el último pago de las obras, se exigirá un Acta de Conformidad de parte de la Seremi respectiva.
    Excepcionalmente, mediante resolución fundada, el Serviu de la Región Metropolitana podrá prescindir del acta y/o de la carta de los beneficiarios para el pago de obras y asistencia técnica, siempre que dicho Servicio verifique y deje constancia que éstas han sido ejecutadas en conformidad al decreto supremo Nº 255 (V. y U.), de 2006; y a lo estipulado en el respectivo contrato de obras.
    Los pagos por la ejecución de las obras, y la asistencia técnica, exceptuando el Plan de Habilitación Social, se podrán efectuar hasta en cinco estados de pago equivalentes en monto al porcentaje de avance físico de obras, acreditado mediante informe del ITO, visado por el Serviu de la Región Metropolitana. El monto máximo de recursos que podrá girarse al contratista o constructor en los primeros cuatro pagos, no podrá exceder el 70% del total del precio del contrato.
    En cualquier caso, antes del inicio de las obras el contratista deberá entregar una boleta de garantía que caucione tanto el fiel cumplimiento del contrato como la buena calidad de las obras ejecutadas. Dicha boleta deberá extenderse por un plazo mínimo de 24 meses y por un monto equivalente al 2% del precio total del contrato. La correcta presentación de este documento al Serviu de la Región Metropolitana, será condición para el inicio de las obras.
    4. Establécense los siguientes productos complementarios, como exigencia para el pago del Plan de Habilitación Social:
.
    5. Impútese el total de 11.651,04 Unidades de Fomento asignadas por la presente resolución, a los recursos autorizados a la Región Metropolitana para el Programa de Protección al Patrimonio Familiar del año 2018, dispuestos para la atención de Condominios Sociales.
    Anótese, notifíquese y publíquese.- Cristián Monckeberg Bruner, Ministro de Vivienda y Urbanismo.
    Lo que transcribo para su conocimiento.- Guillermo Rolando Vicente, Subsecretario de Vivienda y Urbanismo.