MODIFICA POR RAZONES DE INTERÉS PÚBLICO LAS CARACTERÍSTICAS DE LAS OBRAS Y SERVICIOS QUE INDICA DEL CONTRATO DE CONCESIÓN DE LA OBRA PÚBLICA FISCAL DENOMINADA "ESTACIÓN DE INTERCAMBIO MODAL LA CISTERNA" Y APRUEBA CONVENIO AD-REFERÉNDUM N° 2
    Núm. 135.- Santiago, 3 de octubre de 2018.
    Vistos:
    - El DFL MOP N° 850 de 1997, que fijó el texto refundido, coordinado y sistematizado de la Ley N° 15.840, de 1964, Orgánica del Ministerio de Obras Públicas y del DFL N° 206, de 1960, Ley de Caminos, y sus modificaciones.
    - El decreto supremo MOP N° 900 de 1996, que fijó el texto refundido, coordinado y sistematizado del DFL MOP N° 164, de 1991, Ley de Concesiones de Obras Públicas, y sus modificaciones, en especial su artículo 19°.
    - El decreto supremo MOP N° 956 de 1997, Reglamento de la Ley de Concesiones de Obras Públicas, y sus modificaciones, en especial el artículo 69°.
    - El decreto supremo MOP N° 235, de 26 de marzo de 2004, que adjudicó el contrato de concesión para la ejecución, conservación y explotación de la obra pública fiscal denominada "Estación de Intercambio Modal La Cisterna".
    - El oficio Ord. N° 2221/09, de 3 de abril de 2009, del Inspector Fiscal.
    - La Carta GCLC10-0755, de 9 de julio de 2010, de Sociedad Concesionaria Intermodal La Cisterna S.A.
    - El oficio N° 368, de 27 de enero de 2011, del Ministro de Transportes y Telecomunicaciones.
    - La resolución DGOP (exenta) N° 1.606, de 9 de abril de 2012.
    - El decreto supremo MOP N° 247, de 6 de agosto de 2012.
    - El oficio Ord. N° 3232/12, de 8 de noviembre de 2012, del Inspector Fiscal.
    - El oficio Ord. N° 1326/2015, de 20 de marzo de 2015, del Director de Transporte Público Metropolitano.
    - El oficio Ord. N° 3790/15, de 16 de abril de 2015, del Inspector Fiscal.
    - La Carta GCLC15-0268, de 23 de abril de 2015, de Sociedad Concesionaria Intermodal La Cisterna S.A.
    - El Oficio Ord. N° 3798/15, de 24 de abril de 2015, del Inspector Fiscal.
    - La Carta GCLC15-0274, de 29 de abril de 2015, de Sociedad Concesionaria Intermodal La Cisterna S.A.
    - El oficio Ord. N° 3802/15, de 29 de abril de 2015, del Inspector Fiscal.
    - La Carta GCLC15-0322, de 28 de mayo de 2015, de Sociedad Concesionaria Intermodal La Cisterna S.A.
    - El oficio Ord. N° 2500/2015, de 29 de mayo de 2015, del Director de Transporte Público Metropolitano.
    - El decreto supremo MOP N°21, de 13 de febrero de 2018, representado por la Contraloría General de la República mediante dictamen N° 10.914 de 2018.
    - El oficio Ord. N° 4267/2018, de 3 de julio de 2018, del inspector Fiscal.
    - La carta GCLC18-0254, de 6 de julio de 2018, de la Sociedad Concesionaria.
    - El oficio Ord. N° 4268/2018, de 6 de julio de 2018, del Inspector Fiscal.
    - El Oficio Ord. N° 088, de 12 de julio de 2018, del Jefe de la División de Operaciones de Obras Concesionadas.
    - La resolución N° 1.600, de 2008, de la Contraloría General de la República, que fijó normas sobre exención del trámite de toma de razón.
    Considerando:
    - Que los artículos 19 de la Ley de Concesiones de Obras Públicas y 69 de su Reglamento, establecen que el Ministerio de Obras Públicas, desde que se perfeccione el contrato, podrá modificar, por razones de interés público, las características de las obras y servicios contratados, debiendo compensar al concesionario con las indemnizaciones necesarias en caso de perjuicio, acordando con aquél indemnizaciones que podrán expresarse en el plazo de la concesión, en las tarifas, en los aportes o subsidios o en otros factores del régimen económico de la concesión pactados, pudiendo utilizar uno o varios factores a la vez.
    - Que, el artículo 1.10.2.9 de las Bases de Licitación, titulado "Horario de Prestación de los Servicios Básicos", dispone que "El Concesionario deberá proporcionar los Servicios Básicos indicados en los artículos 1.10.2.2, 1.10.2.3, 1.10.2.4 y 1.10.2.5 de las presentes Bases de Licitación, a partir de la Puesta en Servicio Provisoria de las Obras indicada en el artículo 1.9.15 de las presentes Bases de Licitación, hasta la extinción de la concesión, preferentemente en horarios nocturnos de manera de no interferir con el funcionamiento de la Plataforma de Transporte.
    Además, a partir de la Puesta en Servicio Provisoria de las Obras indicada en el artículo 1.9.15 de las presentes Bases de Licitación y hasta la extinción de la concesión, ingresarán Buses Urbanos a la Plataforma de Transporte, por lo cual, el Concesionario deberá prestar los Servicios Básicos indicados en los artículos 1.10.2.6, 1.10.2.7 y 1.10.2.8 de las presentes Bases de Licitación, como mínimo, en los horarios de funcionamiento de la Estación de La Cisterna, línea 2 de Metro S.A.".
    - Que, conforme a lo anterior, mediante oficio Ordinario IF N° 2221/09, de 3 de abril de 2009, la Inspección Fiscal del Ministerio de Obras Públicas determinó el horario de funcionamiento de la obra pública fiscal denominada "Estación de Intercambio Modal La Cisterna", fijando que los servicios en la obra pública se prestarían desde las 05:40 horas hasta las 23.00 horas, de acuerdo a los horarios de funcionamiento de la Estación Metro La Cisterna.
    - Que mediante oficio Ord. N° 1326/2015, de 20 de marzo de 2015, el Director de Transporte Público Metropolitano informó al Coordinador de Concesiones de Obras Públicas la detección de algunos inconvenientes que afectan a aquellos usuarios de la obra pública fiscal en comento que, luego del cierre de ésta fijado a las 23:00 horas, deben trasbordar en superficie desde la Estación de Metro La Cisterna, provenientes de los últimos trenes de la línea 2 de Metro, hacia los buses que transitan en superficie. En el mismo Oficio Ord., y teniendo en consideración los antecedentes ya indicados, el Director de Transporte Público Metropolitano solicitó al Coordinador de Concesiones de Obras Públicas disponer las medidas que permitan realizar ajustes en el horario de operación de la "Estación de Intercambio Modal La Cisterna", de manera de asegurar la disponibilidad del servicio de trasbordo de los usuarios que llegan a ella desde la línea 2 de Metro después de las 23:00 horas.
    - Que, conforme a lo instruido en el oficio Ord. N° 3802/15, de 29 de abril de 2015, del Inspector Fiscal, a partir del día 30 de abril de 2015, la Estación de Intercambio Modal La Cisterna modificó su horario de funcionamiento, extendiéndolo desde las 23:00 hasta las 24:00 horas, de acuerdo a lo requerido por el Directorio de Transporte Público Metropolitano.
    - Que, posteriormente, mediante oficio Ord. N° 2500/2015, de 29 de mayo de 2015, el Director de Transporte Público Metropolitano informó al Inspector Fiscal de Explotación del Contrato de Concesión, que el Directorio de Transporte Público Metropolitano considera como prioritario el aumento del horario de funcionamiento de la Estación de Intercambio Modal La Cisterna hasta la hora de llegada del último tren de la línea 4-A de Metro, permitiendo que dichos usuarios también puedan acceder a los servicios de buses que salen desde los andenes de la Estación Intermodal, evitando que tengan que salir a la superficie, con los riesgos e incomodidades que ello significa.
    Habida consideración que el último tren de la línea 4-A de Metro llega a la estación La Cisterna a las 00:08 horas, para dar cumplimiento a la solicitud del Directorio de Transporte Público Metropolitano, es necesario que la Estación de Intercambio Modal La Cisterna extienda su horario de funcionamiento hasta las 00:10 horas, de manera de permitir el ingreso del público proveniente de dicho tren.
    - Que los horarios de funcionamiento vigentes de la Estación de La Cisterna, línea 2 de Metro S.A., corresponden a los siguientes: lunes a viernes: Apertura de Estación a las 5:40 horas y Cierre de Estación a las 23:33 horas; (ii) sábado: Apertura de Estación a las 6:30 horas y Cierre de Estación a las 23:33 horas; y (iii) domingos y feriados: Apertura de Estación a las 8:00 horas y Cierre de Estación a las 23:19 horas.
    - Que, en virtud de lo señalado en los considerandos anteriores, el MOP ha estimado de interés público modificar las características de las obras y servicios del contrato de concesión, en el sentido de aumentar el tiempo de operación diario de la Estación de Intercambio Modal La Cisterna y de definir expresamente el Horario de Prestación de los Servicios Básicos estipulados en los artículos 1.10.2.6 (Servicio de Seguridad y Vigilancia), 1.10.2.7 (Servicio de Información General al Público) y 1.10.2.8 (Servicio de Aseo y Retiro de Basuras) de las Bases de Licitación, que serán los siguientes: (i) lunes a viernes: 5:40 a 00:10 horas; (ii) sábado: 6:30 a 00:10 horas; y (iii) domingos y feriados: 8:00 a 23:50 horas.
    - Que, por otra parte, el artículo 1.2.3 de las Bases de Licitación señala las obras mínimas que deberá incluir la Plataforma de Transporte de la Estación de Intercambio Modal La Cisterna, mencionando entre ellas, en su literal e), la "infraestructura para el funcionamiento de Buses Interurbanos y Rurales".
    - Que, asimismo, el artículo 2.3 de las Bases de Licitación, titulada "Descripción de las Obras de la Concesión", señala que "Como parte de la Plataforma de Transporte, el Concesionario deberá construir infraestructura en la superficie para la operación de Buses Interurbanos y Rurales, contemplando las siguientes exigencias:
    . Construcción de 16 andenes, en superficie y techados, para Buses Interurbanos y Rurales según lo indicado en el artículo 10.1 del documento "Pautas de Diseño y Construcción para la Estación de Intercambio Modal La Cisterna".
    . Habilitación de zonas resguardadas de las inclemencias del tiempo para Áreas de Espera, Boleterías, Zonas de Información, Zonas de Servicios.
    . Conexión para los pasajeros con el nivel de Buses Urbanos vía escaleras fijas, mecánicas y ascensores.
    . Conexión de Buses Interurbanos y Rurales a túneles de acceso/ egreso de Buses Urbanos.
    . Construcción de la vialidad de acceso/egreso en superficie para emergencias.
    . Provisión de los Sistemas Eléctricos, Sistemas de Comunicación de voz y datos, intercomunicación y comunicación general, Sistemas de Seguridad.
    . Provisión del equipamiento necesario para el correcto funcionamiento de las distintas zonas exigidas en el artículo 10.1 del documento "Pautas de Diseño y Construcción para la Estación de Intercambio Modal La Cisterna" y en el programa arquitectónico definido en la Tabla N° 11, de las presentes Bases de Licitación, para los andenes de Buses Interurbanos y Rurales".
    - Que, según el artículo 1.10.3 N° 2 de las Bases de Licitación, la explotación de la infraestructura para el funcionamiento de Buses Interurbanos y Rurales constituye un "Servicio Complementario" de carácter opcional, estando facultada la Sociedad Concesionaria para decidir si presta el servicio de arrendamiento de andenes para buses interurbanos o rurales.
    - Que, conforme al artículo 1.10.3 de las Bases de Licitación, la Sociedad Concesionaria se encuentra facultada para prestar, en la infraestructura construida para el funcionamiento de Buses Interurbanos y Rurales, los servicios complementarios que hubiese indicado en su Oferta Técnica.
    - Que, de conformidad a los artículos 1.12.3, 1.12.9.1 y 1.12.10 de las Bases de Licitación, la Sociedad Concesionaria tiene derecho a percibir los ingresos provenientes de la explotación de todos los servicios complementarios que se presten en la plataforma de buses interurbanos o rurales, sin que ellos formen parte de los ingresos regulados en los que tiene coparticipación el Estado de Chile.
    - Que, mediante oficio N° 368, de fecha 27 de enero de 2011, el Sr. Ministro de Transportes y Telecomunicaciones comunicó al Sr. Ministro de Obras Públicas que la capacidad máxima de diseño de la Estación de Intercambio Modal La Cisterna, para el ingreso de buses urbanos, había sido superada y que, sin embargo, se encontraba subutilizada aquella parte de la obra pública destinada a la prestación de servicios para buses interurbanos y rurales, al tiempo que solicitó que se modificaran las características de las obras y servicios del Contrato de Concesión, a fin de utilizar el Terminal de Buses Interurbanos y Rurales como un Terminal de Buses Urbanos.
    - Que, mediante resolución DGOP (exenta) N° 1.606, de 9 de abril de 2012, sancionada mediante decreto supremo MOP N° 247, de 6 de agosto de 2012, el Ministerio de Obras Públicas modificó las características de las obras y servicios del contrato de concesión, en el sentido que la Sociedad Concesionaria debió elaborar y desarrollar el proyecto de ingeniería a nivel de detalle definitivo para la "Modificación de la Plataforma de Transporte de Buses Interurbanos y Rurales para Andenes Urbanos". Dicho proyecto fue elaborado por la Sociedad Concesionaria y aprobado por la Inspección Fiscal mediante Ord. N° 3232/12, de fecha 8 de noviembre de 2012.
    - Que, no obstante, la Dirección de Transporte Público Metropolitano, mediante Oficio Ord. N° 2500, de 29 de mayo de 2015, informó a la Inspección Fiscal que no tiene contemplado desarrollar ningún tipo de proyecto en el área denominada Terminal de Buses Interurbanos y Rurales, ubicada en la Estación de Intercambio Modal La Cisterna, indicando, además, que corresponde al Ministerio de Obras Públicas determinar las alternativas de utilización de la referida Plataforma de manera que su uso pueda beneficiar a la ciudadanía.
    - Que la Plataforma de Buses Interurbanos y Rurales, que forma parte de la Plataforma de Transporte de la obra pública, se ha encontrado desocupada y no se utiliza para los fines originalmente proyectados, esto es, para el transporte de pasajeros hacia sectores interurbanos de Santiago y regiones, ni para los fines para los cuales se efectuó la modificación contenida en la resolución DGOP (Exenta) N° 1.606, de 9 de abril de 2012 y decreto supremo MOP N° 247, de 6 de agosto de 2012, esto es, para andenes urbanos.
    - Que, en razón de lo anterior y amparada en lo dispuesto en el artículo 1.10.3 de las Bases de Licitación, la Sociedad Concesionaria ha solicitado al MOP, mediante carta GCLC10-0755 del 9 de julio de 2010, que se le autorice para prestar otros servicios complementarios -distintos del arriendo de andenes- en toda el área de la Plataforma de Buses Interurbanos y Rurales que se le releve de la obligación de mantener habilitados los andenes y demás instalaciones de Buses Interurbanos y Rurales, cuya explotación corresponde a un servicio complementario de carácter opcional para la Sociedad Concesionaria.
    - Que, habida consideración del desuso que ha tenido la zona de andenes de la Plataforma de Buses Interurbanos y Rurales, la indicación del Director de Transporte Público Metropolitano en orden a que no tiene contemplado desarrollar ningún tipo de proyecto en dicha zona y que el MOP debe buscar alternativas de utilización que beneficien a la ciudadanía y a los usuarios de la obra pública, el Ministerio de Obras Públicas ha estimado de interés público modificar las características de las obras y servicios previstos en el Contrato de Concesión, en el sentido de eliminar la exigencia de mantener disponibles andenes e instalaciones para la operación de Buses Interurbanos y Rurales en la Plataforma de Transporte, permitiendo que en su lugar se emplacen y presten cualquiera de los servicios complementarios previstos en el artículo 1.10.3 de las Bases de Licitación.
    - Que, en virtud de lo anteriormente expuesto, y de acuerdo al mérito del trabajo de coordinación que se ha venido realizando sobre esta materia, mediante oficio Ord. N° 4267/2018, de 3 de julio de 2018, el Inspector Fiscal informó formalmente a Sociedad Concesionaria Intermodal La Cisterna S.A. que, de conformidad a lo dispuesto en los artículos 19° de la Ley de Concesiones de Obras Públicas y 69° de su Reglamento, el Ministerio de Obras Públicas dispondrá, por razones de interés público, basadas en la necesidad de dar a la infraestructura existente una utilidad que vaya en beneficio de los usuarios de la Estación de Intercambio Modal como, asimismo, brindar los servicios dentro de un horario acorde a las necesidades de los usuarios, las siguientes modificaciones a las características de las obras y servicios del contrato de concesión de la obra pública fiscal denominada "Estación de Intercambio Modal La Cisterna": (a) modificar el "Horario de Prestación de los Servicios Básicos", en el sentido de dejar expresamente establecidos los nuevos horarios de operación, funcionamiento y de prestación de los Servicios Básicos de la Estación de Intercambio Modal La Cisterna; y (b) eliminar la obligación de mantener disponibles andenes y demás instalaciones para la operación de Buses Interurbanos y Rurales en la Plataforma de Transporte de la Estación de Intercambio Modal La Cisterna; área en la cual la Sociedad Concesionaria podrá prestar cualquiera de los servicios complementarios previstos en el artículo 1.10.3 de las Bases de Licitación. Finalmente, el Inspector Fiscal adjuntó los Anexos N° 1 y N° 2 con el detalle de los mayores costos y gastos derivados del aumento en el horario de funcionamiento de la Estación de Intercambio Modal La Cisterna y en la prestación de los servicios básicos, y de los menores costos y gastos derivados de la eliminación de la exigencia de mantener disponible el terminal de buses interurbanos de la Estación de Intercambio Modal La Cisterna, respectivamente, elaborados conforme al trabajo de coordinación realizado por las partes, para lo cual solicitó a la Sociedad Concesionaria ratificar dichos presupuestos y manifestar expresamente su aceptación a las modificaciones informadas, en los términos, montos, plazos y condiciones señalados en el citado oficio.
    - Que mediante Carta GCLC18-0254, de 6 de julio de 2018, la Sociedad Concesionaria ratificó expresamente su acuerdo con la modificación a las características de las obras y servicios del contrato de concesión, informada por el Inspector Fiscal en su oficio Ord. N° 4267/2018, de 3 de julio de 2018, según las condiciones, plazos y términos ahí señalados. Agrega la Sociedad Concesionaria que los proyectos, obras e inversiones que ejecute para prestar los servicios complementarios en las áreas indicadas en el oficio Ord. N° 4267/2018, de 3 de julio de 2018, del Inspector Fiscal, son de su entero costo, cargo y responsabilidad.
    - Que el Inspector Fiscal, mediante oficio Ord. N° 4268/2018, de 6 de julio de 2018, informó al Jefe de la División de Operaciones de Obras Concesionadas su opinión favorable con respecto a las modificaciones de las características de las obras y servicios señaladas, en las condiciones, plazos y términos indicados en su oficio Ord. N° 4267/2018, recomendando la dictación del acto administrativo correspondiente en los términos previstos en la Ley de Concesiones de Obras Públicas y su Reglamento, considerando las razones de interés público que expuso.
    - Que, finalmente, mediante oficio Ord. N° 088, de 12 de julio de 2018, el Jefe de la División de Operaciones de Obras Concesionadas, luego de ponderar los antecedentes, recomendó al Coordinador de Concesiones de Obras Públicas solicitar al Director General de Obras Públicas tramitar el decreto supremo que al efecto se dicte, atendidas las razones de interés público señaladas por el Inspector Fiscal en su oficio Ord. N° 4268/2018, de 6 de julio de 2018.
    - Que las modificaciones a las características de las obras y servicios del Contrato de Concesión, considerando los horarios de funcionamiento vigentes de la Estación de La Cisterna, línea 2 de Metro S.A., importan para la Sociedad Concesionaria mayores gastos, costos y perjuicios, lo que hace necesario establecer las compensaciones que proceden. Para tal efecto, las partes han suscrito el Convenio Ad-Referéndum N° 2, de fecha 10 de julio de 2018.
    - Que, a objeto de dar cumplimiento a lo indicado en los artículos 19 de la Ley de Concesiones de Obras Públicas y 69 de su Reglamento, se hace necesaria la dictación del presente Decreto Supremo fundado, que modifica las características de las obras y servicios del Contrato de Concesión, por razones de interés público, y aprueba el Convenio Ad-Referéndum N° 2, de fecha 10 de julio de 2018.
    Decreto:
    1. Déjese sin efecto, por razones de buen servicio, el decreto supremo MOP N° 21, de 13 de febrero de 2018, representado por la Contraloría General de la República mediante dictamen N° 10.914 de 2018.
    2. Modifícanse, por razones de interés público, las características de las obras y servicios del contrato de concesión de la obra pública fiscal denominada "Estación de Intercambio Modal La Cisterna", en el sentido de establecer un nuevo "Horario de Prestación de los Servicios Básicos" referido en el artículo 1.10.2.9 de las Bases de Licitación, disponiéndose que el horario de prestación de los Servicios Básicos estipulados en los artículos 1.10.2.6, 1.10.2.7 y 1.10.2.8 de las Bases de Licitación será el siguiente:
    . lunes a viernes: desde las 5:40 a las 00:10 horas.
    . sábado: desde las 6:30 a las 00:10 horas.
    . domingos y feriados: desde las 8:00 a las 23:50 horas.
    3. Modifícanse, por razones de interés público, las características de las obras y servicios del contrato de concesión de la obra pública fiscal denominada "Estación de Intercambio Modal La Cisterna", eliminándose la obligación de mantener disponibles los andenes, zonas y demás instalaciones destinadas a la operación de Buses Interurbanos y Rurales en la Plataforma de Transporte de la obra pública, prevista en los artículos 1.2.3 letra e) y 2.3 de las Bases de Licitación, quedando facultada la Sociedad Concesionaria para prestar en la totalidad de dicha superficie cualquiera de los servicios complementarios previstos en el artículo 1.10.3 de las Bases de Licitación.
    Los proyectos, obras e inversiones que ejecute la Sociedad Concesionaria para prestar los servicios complementarios en las áreas antes indicadas, serán de su entero cargo, costo y responsabilidad, y deberán contar con la aprobación del Inspector Fiscal.
    4. Apruébase el Convenio Ad-Referéndum N° 2, de fecha 10 de julio de 2018, celebrado entre la Dirección General de Obras Públicas, representada por su Directora General señora Mariana Concha Mathiesen, y "Sociedad Concesionaria Intermodal La Cisterna S.A.", debidamente representada por su gerente general don Fernando Elgueta Larraín y por don Juan Eduardo Vargas Peyreblanque, cuyo texto es el siguiente:
    CONVENIO AD - REFERÉNDUM N° 2
    DEL CONTRATO DE CONCESIÓN DE LA OBRA PÚBLICA FISCAL DENOMINADA "ESTACIÓN DE INTERCAMBIO MODAL LA CISTERNA"
    En Santiago de Chile, a 10 de julio de 2018, entre la Dirección General de Obras Públicas, representada por su Directora General, Sra. Mariana Concha Mathiesen, ambas con domicilio en calle Morandé N° 59, tercer piso, comuna y ciudad de Santiago (en adelante el MOP); y la "Sociedad Concesionaria Intermodal La Cisterna S.A.", sociedad titular de la obra pública denominada "Estación de Intercambio Modal La Cisterna", RUT N° 99.563.430-9 (en adelante indistintamente la "Sociedad Concesionaria"), representada por su gerente general don Fernando Elgueta Larraín, chileno, Rut 13.831.880-K, y por don Juan Eduardo Vargas Peyreblanque, chileno, Rut 7.810.349-3, ambos con domicilio en Avenida Américo Vespucio N° 75, comuna de La Cisterna, Santiago, se ha pactado el siguiente Convenio Ad - Referéndum que consta de las cláusulas que a continuación se expresan:
    PRIMERO: ANTECEDENTES Y FUNDAMENTOS DEL CONVENIO AD-REFERÉNDUM.
    1.1 "Sociedad Concesionaria Intermodal La Cisterna S.A." es titular del contrato de concesión de la obra pública fiscal denominada "Estación de Intercambio Modal La Cisterna", adjudicado por DS MOP N° 235, de fecha 26 de marzo de 2004, publicado en Diario Oficial, de fecha 31 de mayo de 2004.
    1.2 Los artículos 19° de la Ley de Concesiones de Obras Públicas y 69° de su Reglamento, establecen que el Ministerio de Obras Públicas, desde que se perfeccione el contrato, podrá modificar, por razones de interés público, las características de las obras y servicios contratados, debiendo compensar al concesionario con las indemnizaciones necesarias en caso de perjuicio, acordando con aquél indemnizaciones que podrán expresarse en el plazo de la concesión, en las tarifas, en los aportes o subsidios o en otros factores del régimen económico de la concesión pactados, pudiendo utilizar uno o varios factores a la vez.
    1.3 El artículo 1.10.2.9 de las Bases de Licitación, titulado "Horario de Prestación de los Servicios Básicos", dispone que: "El Concesionario deberá proporcionar los Servicios Básicos indicados en los artículos 1.10.2.2, 1.10.2.3, 1.10.2.4 y 1.10.2.5 de las presentes Bases de Licitación, a partir de la Puesta en Servicio Provisoria de las Obras indicada en el artículo 1.9.15 de las presentes Bases de Licitación, hasta la extinción de la concesión, preferentemente en horarios nocturnos de manera de no interferir con el funcionamiento de la Plataforma de Transporte.
    Además, a partir de la Puesta en Servicio Provisoria de las Obras indicada en el artículo 1.9.15 de las presentes Bases de Licitación y hasta la extinción de la concesión, ingresarán Buses Urbanos a la Plataforma de Transporte, por lo cual, el Concesionario deberá prestar los Servicios Básicos indicados en los artículos 1.10.2.6, 1.10.2.7 y 1.10.2.8 de las presentes Bases de Licitación, como mínimo, en los horarios de funcionamiento de la Estación de La Cisterna, línea 2 de Metro S.A."
    1.4 Mediante Oficio Ordinario IF N° 2221/09, de 3 de abril de 2009, la Inspección Fiscal del Ministerio de Obras Públicas determinó el horario de funcionamiento de la obra pública fiscal denominada "Estación de Intercambio Modal La Cisterna", fijando que los servicios en la obra pública se prestarían desde las 05:40 horas hasta las 23:00 horas, de acuerdo a los horarios de funcionamiento de la Estación Metro La Cisterna.
    1.5 Durante la etapa de explotación del contrato de concesión, mediante Oficio N° 1326/2015, de 20 de marzo de 2015, el Director de Transporte Público Metropolitano informó al Coordinador de Concesiones de Obras Públicas la detección de algunos inconvenientes que afectan a aquellos usuarios de la obra pública fiscal en comento que, luego del cierre de ésta -que conforme al contrato de concesión fue fijado a las 23:00 horas-, deben trasbordar en superficie desde la Estación de Metro La Cisterna, provenientes de los últimos trenes de la línea 2 de Metro, hacia los buses que transitan en superficie. En el mismo Oficio Ord., y teniendo en consideración los antecedentes ya indicados, el Director de Transporte Público Metropolitano solicitó al Coordinador de Concesiones de Obras Públicas disponer las medidas que permitan realizar ajustes en el horario de operación de la "Estación de Intercambio Modal La Cisterna", de manera de asegurar la disponibilidad del servicio de trasbordo de los usuarios que llegan desde la línea 2 de Metro después de las 23:00 horas.
    1.6 Conforme a lo instruido en el Oficio Ord. N° 3802/15, de 29 de abril de 2015, del Inspector Fiscal, a partir del día 30 de abril de 2015, la Estación de Intercambio Modal La Cisterna modificó su horario de funcionamiento, extendiéndolo desde las 23:00 hasta las 24:00 horas, de acuerdo a lo requerido por el Directorio de Transporte Público Metropolitano.
    1.7 Posteriormente, mediante oficio Ord. N° 2500/2015, de 29 de mayo de 2015, el Director de Transporte Público Metropolitano informó al Inspector Fiscal de Explotación del Contrato de Concesión que considera prioritario el aumento del horario de funcionamiento de la Estación de Intercambio Modal La Cisterna hasta la hora de llegada del último tren de la línea 4-A de Metro, que llega a la estación La Cisterna a las 00:08 horas, para permitir que dichos usuarios también accedan a los servicios de buses que salen desde los andenes de la Estación Intermodal, evitando que tengan que salir a la superficie, con los riesgos e incomodidades que ello significa. Para dar cumplimiento a esta solicitud del Directorio de Transporte Público Metropolitano es necesario que la obra pública "Estación de Intercambio Modal La Cisterna" extienda su horario de funcionamiento hasta las 00:10 horas.
    1.8 En virtud de lo señalado en los numerales precedentes, el MOP ha estimado de interés público modificar las características de las obras y servicios del contrato de concesión, específicamente el artículo 1.10.2.9 de las Bases de Licitación, titulada "Horario de Prestación de los Servicios Básicos", en el sentido de aumentar el tiempo de operación diario de la Estación de Intercambio Modal La Cisterna y de definir expresamente los nuevos horarios de funcionamiento y de prestación de los Servicios Básicos estipulados en los artículos 1.10.2.6 (Servicio de Seguridad y Vigilancia), 1.10.2.7 (Servicio de Información General al Público) y 1.10.2.8 (Servicio de Aseo y Retiro de Basuras), que serán, como máximo, los siguientes: (i) lunes a viernes: 5:40 a 00:10 horas; (ii) sábado: 6:30 a 00:10 horas; y (iii) domingos y feriados: 8:00 a 23:50 horas.
    1.9 Que los horarios de funcionamiento vigentes de la Estación de La Cisterna, línea 2 de Metro S.A., corresponden a los siguientes: lunes a viernes: Apertura de Estación a las 5:40 horas y Cierre de Estación a las 23:33 horas; (ii) sábado: Apertura de Estación a las 6:30 horas y Cierre de Estación a las 23:33 horas; y (iii) domingos y feriados: Apertura de Estación a las 8:00 horas y Cierre de Estación a las 23:19 horas.
    1.10 Las modificaciones en el horario de prestación de los servicios básicos, que se indican en los numerales precedentes y de las que dará cuenta el decreto supremo que se dictará al efecto y que, a su vez, aprobará el presente Convenio, considerando los horarios de funcionamiento vigentes de la Estación de La Cisterna, línea 2 de Metro S.A., importan para la Sociedad Concesionaria mayores gastos, costos y perjuicios, los que deberán considerarse a objeto de determinar la compensación que corresponda conforme al artículo 69° del Reglamento de la Ley de Concesiones.
    1.11 Por otra parte, el artículo 1.2.3 de las Bases de Licitación señala las obras mínimas que deberá incluir la Plataforma de Transporte de la Estación de Intercambio Modal La Cisterna, mencionando entre ellas, en su literal e), la infraestructura "para el funcionamiento de Buses Interurbanos y Rurales". Asimismo, en el artículo 2.3, se indica que el Concesionario deberá construir infraestructura en la superficie "para la operación de Buses Interurbanos y Rurales".
    1.12 Según el artículo 1.10.3 N° 2 de las Bases de Licitación, la explotación de la infraestructura para el funcionamiento de Buses Interurbanos y Rurales constituye un "Servicio Complementario" de carácter opcional, estando facultada la Sociedad Concesionaria para decidir si presta el servicio de arrendamiento de andenes para buses interurbanos o rurales.
    1.13 Conforme al artículo 1.10.3 de las Bases de Licitación, la Sociedad Concesionaria se encuentra facultada para prestar, en la infraestructura construida para el funcionamiento de Buses Interurbanos y Rurales, los servicios complementarios que hubiese indicado en su Oferta Técnica.
    1.14 Asimismo, de conformidad a los artículos 1.12.3, 1.12.9.1 y 1.12.10 de las Bases de Licitación, la Sociedad Concesionaria tiene derecho a percibir los ingresos provenientes de la explotación de todos los servicios complementarios que se presten en la plataforma de buses interurbanos y rurales, sin que ellos formen parte de los ingresos regulados en los que coparticipa el Estado de Chile.
    1.15 Mediante oficio N° 368, de fecha 27 de enero de 2011, el Sr. Ministro de Transportes y Telecomunicaciones comunicó al Sr. Ministro de Obras Públicas que la capacidad máxima de diseño de la Estación de Intercambio Modal La Cisterna, para el ingreso de buses urbanos, había sido superada y que, sin embargo, se encontraba subutilizada aquella parte de la obra pública destinada a la prestación de servicios para buses interurbanos y rurales, al tiempo que solicitó que se modificaran las obras y servicios del Contrato de Concesión, a fin de utilizar el Terminal de Buses Interurbanos y Rurales como un Terminal de Buses Urbanos.
    1.16 Posteriormente, la Dirección de Transporte Público Metropolitano del Ministerio de Transportes y Telecomunicaciones, mediante oficio Ord. N° 2500, de 29 de mayo de 2015, informó a la Inspección Fiscal del MOP que no tiene contemplado desarrollar ningún tipo de proyecto en el área denominada Terminal de Buses Interurbanos y Rurales, ubicada en la Estación de Intercambio Modal La Cisterna, indicando, además, que corresponde al Ministerio de Obras Públicas determinar las alternativas de utilización de la referida Plataforma de manera que su uso pueda beneficiar a la ciudadanía.
    1.17 La Plataforma de Buses Interurbanos y Rurales, que forma parte de la Plataforma de Transporte de la obra pública, se ha encontrado desocupada y no se utiliza para los fines originalmente proyectados, esto es, para el transporte de pasajeros hacia sectores interurbanos de Santiago y regiones.
    1.18 Habida consideración del desuso que ha tenido la Plataforma de Buses Interurbanos y Rurales, la indicación del Director de Transporte Público Metropolitano en orden a que no utilizará dicha zona y que el MOP debe buscar alternativas de utilización que beneficien a la ciudadanía y a los usuarios de la obra pública, como asimismo, por constituir un área destinada a los servicios complementarios que puede explotar la Sociedad Concesionaria, el Ministerio de Obras Públicas ha estimado de interés público modificar las obras previstas en las Bases de Licitación, en el sentido de eliminar la obligación de mantener disponibles andenes, zonas y demás instalaciones para la operación de Buses Interurbanos y Rurales en la Plataforma de Transporte de la Estación de Intercambio Modal La Cisterna, permitiendo que en su lugar se emplacen y presten cualquiera de los servicios complementarios previstos en el artículo 1.10.3 de las Bases de Licitación.
    1.19 La eliminación de la obligación de mantener habilitados andenes, zonas e instalaciones para la operación de Buses Interurbanos y Rurales en la Plataforma de Transporte y la autorización para que la Sociedad Concesionaria emplace y preste allí otros servicios complementarios, que se indica en el numeral precedente y de lo cual dará cuenta el decreto supremo que aprueba el presente convenio, importan para la Sociedad Concesionaria menores gastos y costos, los cuales deben tenerse en consideración al establecer la compensación que corresponda conforme al artículo 69° del Reglamento de la Ley de Concesiones.
    1.20 En virtud de lo expuesto en los numerales precedentes, y de acuerdo al trabajo de coordinación que se ha venido realizando sobre esta materia, mediante oficio Ord. N° 4267/2018, de 3 de julio de 2018, el Inspector Fiscal informó formalmente a la Sociedad Concesionaria que, de conformidad a lo dispuesto en los artículos 19° de la Ley de Concesiones de Obras Públicas y 69 de su Reglamento, el Ministerio de Obras Públicas dispondrá, por razones de interés público, las siguientes modificaciones a las características de las obras y servicios del contrato de concesión de la obra pública fiscal denominada "Estación de Intercambio Modal La Cisterna": (a) modificar el "Horario de Prestación de los Servicios Básicos", en el sentido de dejar expresamente establecidos los nuevos horarios de operación, funcionamiento y de prestación de los Servicios Básicos de la Estación de Intercambio Modal La Cisterna; y (b) Excluir de las obras de la Plataforma de Transporte de la Estación de Intercambio Modal La Cisterna, los andenes, zonas y demás instalaciones "para la operación de Buses Interurbanos y Rurales", área en la cual la Sociedad Concesionaria podrá prestar cualquiera de los servicios complementarios previstos en el artículo 1.10.3 de las Bases de Licitación.
    1.21 Mediante Carta GCLC18-0254, de 6 de julio de 2018, la Sociedad Concesionaria ratificó expresamente su acuerdo con las modificaciones a las características de las obras y servicios del contrato de concesión, informadas por el Inspector Fiscal en su oficio Ord. N° 4267/2018, de 3 de julio de 2018, según las condiciones, plazos y términos ahí señalados, indicando, además, que los proyectos, obras e inversiones que ejecute la Sociedad Concesionaria para prestar los servicios complementarios en las áreas indicadas en el oficio Ord. N° 4267/2018, son de su entero costo, cargo y responsabilidad. Igualmente, compartiendo los fundamentos enunciados, la Sociedad Concesionaria ha acordado con el Ministerio de Obras Públicas las cláusulas que en el presente convenio se indican.
    1.22 Forman parte del presente Convenio Ad-Referéndum los siguientes anexos, que se adjuntan a éste:
    Anexo N° 1: Detalle de los mayores costos y gastos derivados del aumento en el horario de funcionamiento de la Estación de Intercambio Modal La Cisterna y en la prestación de los servicios básicos.
    Anexo N° 2: Detalle de los menores costos y gastos derivados de la eliminación de la exigencia de mantener disponible el terminal de Buses Interurbanos de la Estación de Intercambio Modal La Cisterna.
    Anexo N° 3: Detalle del monto que se fija en primer párrafo del numeral 4.1 y ejemplo numérico del monto a compensar según numeral 4.1 del presente convenio.
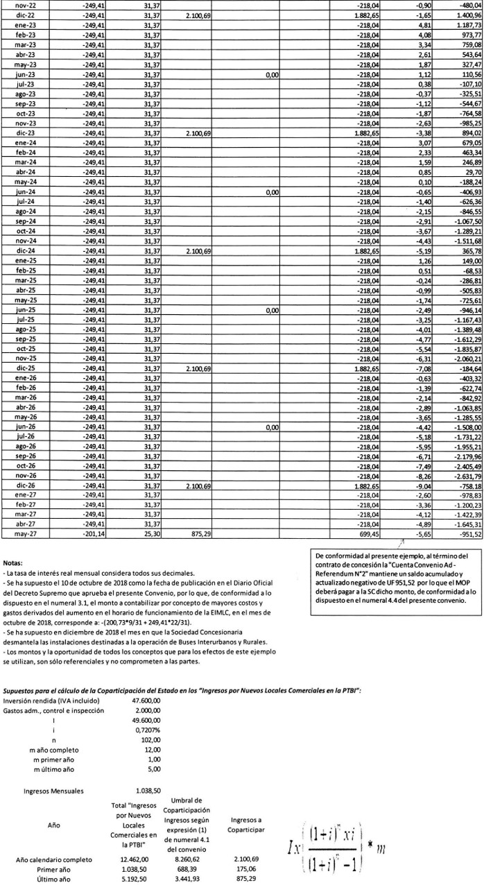
    Anexo N° 4: Ejemplo numérico sobre la contabilización de los montos en la "Cuenta Convenio Ad - Referéndum N°2".
    Anexo N° 5: Alcance y especificaciones de nuevos locales en PTBI.
    Anexo N° 6: Plano de nuevos locales.
    SEGUNDO: VALORIZACIÓN DE LOS EFECTOS DE LAS MODIFICACIONES DISPUESTAS A LAS CARACTERÍSTICAS DE LAS OBRAS Y SERVICIOS.
    2.1 El MOP acuerda con la Sociedad Concesionaria que los mayores costos, gastos, desembolsos y perjuicios derivados de la modificación a las características de las obras y servicios del contrato de concesión a que hace referencia el numeral 1.10 de la Cláusula Primera precedente, y que será materia del decreto supremo que apruebe el presente Convenio, ascienden a la cantidad mensual de UF 200,73 (Doscientas Coma Setenta y Tres Unidades de Fomento) netas del Impuesto al Valor Agregado (IVA), desde el mes de mayo de 2015 y hasta el día anterior a la fecha de la publicación en el Diario Oficial del decreto supremo que apruebe el presente Convenio, conforme se detalla en el Anexo N° 1 del presente Convenio.
    A partir de la fecha de publicación en el Diario Oficial del decreto supremo que apruebe el presente Convenio y hasta el término del Contrato de Concesión, las partes acuerdan la cantidad mensual de UF 249,41 (Doscientas Cuarenta y Nueve Coma Cuarenta y Una Unidades de Fomento) netas del Impuesto al Valor Agregado (IVA), conforme se detalla en el Anexo N° 1 del presente Convenio.
    2.2 El MOP acuerda con la Sociedad Concesionaria que los menores costos y gastos derivados de la modificación a las características de las obras y servicios del contrato de concesión a que hace referencia el numeral 1.19 de la Cláusula Primera precedente, y que será materia del decreto supremo que apruebe el presente Convenio, ascienden a la cantidad mensual de UF 31,37 (Treinta y Una Coma Treinta y Siete Unidades de Fomento) netas del Impuesto al Valor Agregado (IVA), conforme se detalla en el Anexo N° 2 del presente Convenio.
    TERCERO: CONTABILIZACIÓN DE LOS COSTOS Y GASTOS ASOCIADOS.
    Los gastos y costos señalados en la Cláusula Segunda del presente Convenio, a partir del mes de enero de 2018, se contabilizarán en una cuenta que se crea al efecto, en adelante denominada "Cuenta Convenio Ad-Referéndum N° 2".
    Los montos que sean contabilizados en la referida cuenta, se expresarán en Unidades de Fomento, con dos decimales redondeados al segundo decimal, usando para efectos de su conversión el valor de dicha unidad para el último día de cada mes calendario, sin Impuesto al Valor Agregado (IVA).
    El saldo acumulado que registre la "Cuenta Convenio Ad-Referéndum N° 2", se actualizará mensualmente a una tasa real mensual compuesta equivalente a una tasa real anual de 4,2%.
    Para la contabilización de los gastos y costos antes señalados, las partes acuerdan que se procederá de la siguiente manera:
    3.1 El monto respectivo que se indica en el numeral 2.1 de la Cláusula Segunda precedente será contabilizado mensualmente en la "Cuenta Convenio Ad-Referéndum N° 2", con signo negativo, el último día de cada mes, según corresponda, a partir del mes de enero de 2018 y hasta el mes del término del contrato de concesión.
    No obstante, tanto para el mes de publicación en el Diario Oficial del decreto supremo que apruebe el presente Convenio, como para el último mes de la concesión, se deberá considerar la proporción del mes en que efectivamente estuvieron en aplicación los nuevos horarios de funcionamiento y de prestación de los Servicios Básicos que se indica en el numeral 1.10 de la Cláusula Primera precedente y el monto que corresponda según lo indicado en el numeral 2.1 del presente Convenio.
    3.2 El monto señalado en el numeral 2.2 de la Cláusula Segunda precedente será contabilizado mensualmente en la "Cuenta Convenio Ad-Referéndum N° 2", con signo positivo, el último día de cada mes, a partir del mes en que la Sociedad Concesionaria desmantele las instalaciones destinadas a la operación de Buses Interurbanos y Rurales en la Plataforma de Transporte de la obra pública -a partir de lo cual cesa la obligación de aseo y vigilancia de la Sociedad Concesionaria con respecto a tales instalaciones- y hasta el mes del término del contrato de concesión.
    No obstante, para el primer mes de contabilización y para el último mes de la concesión, se deberá considerar la proporción del mes en que efectivamente dejaron de estar disponibles las instalaciones destinadas a la operación de Buses Interurbanos y Rurales.
    CUARTO: ACUERDO DE COMPENSACIÓN.
    De conformidad con lo prescrito en los artículos 19° y 69° de la Ley de Concesiones de Obras Públicas y su Reglamento, para compensar todas los gastos y costos adicionales que expresamente se detallan en la Cláusula Segunda del presente Convenio, el MOP y la Sociedad Concesionaria acuerdan la indemnización que se detalla en la presente Cláusula, como pago único, total y definitivo:
    4.1 Por concepto de los mayores costos y gastos, descontados el 10% de los ingresos por concepto de Buses Urbanos percibidos por la Sociedad Concesionaria por sobre la banda de Ingresos Mínimos Garantizados, derivados de la extensión del horario de funcionamiento de la Estación de Intercambio Modal La Cisterna entre el 30 de abril de 2015 y el 31 de diciembre de 2017, el MOP pagará a la Sociedad Concesionaria la cantidad única y total de UF 5.869,56 (Cinco Mil Ochocientas Sesenta y Nueve Coma Cincuenta y Seis Unidades de Fomento) más el interés compuesto que devengue diariamente dicho monto a partir del 1 de enero de 2018 hasta la fecha de su pago efectivo, considerando para ello una tasa de interés real diaria equivalente, en base a 365 días, a una tasa real anual de 4,2%. Se adjunta como Anexo N° 3 el detalle de cálculo del monto antes señalado y un ejemplo numérico del monto a pagar por el MOP de acuerdo a lo señalado en este numeral.
    El pago señalado en el párrafo precedente será realizado por el MOP, a más tardar, el 30 de junio de 2019, en su equivalente en pesos al día de su pago efectivo.
    4.2 La autorización otorgada a la Sociedad Concesionaria según se indica en el numeral 1.18 precedente, y que se dispondrá en el decreto supremo que apruebe el presente Convenio, le permitirá a ésta -una vez efectuadas las obras e inversiones correspondientes- percibir ingresos adicionales provenientes del arrendamiento y/o explotación de los nuevos locales comerciales y/o de servicios complementarios que se instalarán y/o desarrollarán en el área de la Plataforma de Transportes de Buses Interurbanos y Rurales que estaba destinada a andenes, zonas e instalaciones para la operación de los buses interurbanos y rurales, en adelante denominados "Ingresos por Nuevos Locales Comerciales en la PTBI". No constituyen ni forman parte de los "Ingresos por Nuevos Locales Comerciales en la PTBI" aquellos ingresos que provengan de los demás locales comerciales y servicios complementarios que la Sociedad Concesionaria ha tenido derecho a desarrollar en dicha plataforma, en virtud de lo dispuesto en su oferta y en las Bases de Licitación, distintos de aquellos que figuran en el plano que se acompaña como Anexo N° 6 del presente Convenio.
    Las partes acuerdan el siguiente mecanismo de coparticipación del Estado en los "Ingresos por Nuevos Locales Comerciales en la PTBI" que perciba la Sociedad Concesionaria:
    a) A final de cada año, o al término del período de concesión para el último período, si el total de los "Ingresos por Nuevos Locales Comerciales en la PTBI", expresados en Unidades de Fomento, que perciba la Sociedad Concesionaria por dicho período superasen el valor de
.
, el 50% de la diferencia que se produzca entre el total de los "Ingresos por Nuevos Locales Comerciales en la PTBI" que hubiere percibido la Sociedad Concesionaria durante el año calendario respectivo, expresados en Unidades de Fomento, y el valor que resulte de la expresión (1), serán contabilizados en la "Cuenta Convenio Ad-Referéndum N° 2" con signo positivo, con fecha del último día del mes de diciembre del año respectivo.
    Para el caso del último año de operación del contrato de concesión, el 50% de la diferencia que se produzca entre el total de los "Ingresos por Nuevos Locales Comerciales en la PTBI" que hubiere percibido la Sociedad Concesionaria durante el último año de operación del contrato de concesión, expresados en Unidades de Fomento, y el valor que resulte de la expresión (1) para dicho año, serán contabilizados en la "Cuenta Convenio Ad-Referéndum N° 2" con signo positivo, con fecha del último día del mes de término del contrato de concesión.
    Para el cálculo de la expresión (1) se considerará que:
    I: Corresponde a la inversión realizada por la Sociedad Concesionaria para el desarrollo y ejecución de los Nuevos Locales Comerciales en la PTBI, expresada en Unidades de Fomento, y certificada por el Inspector Fiscal según se indica en literales b) y c) siguientes.
    i: Corresponde a una tasa de interés real mensual de 0,7207%.
    n: Corresponde al número de meses restantes hasta el término de la concesión, medidos desde el mes en que se inicie la explotación de los Nuevos Locales Comerciales en la PTBI.
    m: Corresponde al número de meses del año calendario respectivo en que efectivamente estuvieron en explotación los Nuevos Locales Comerciales en la PTBI.
    b) La inversión realizada por la Sociedad Concesionaria (I) será certificada por el Inspector Fiscal. Para ello, la Concesionaria deberá presentar para la aprobación del Inspector Fiscal, dentro de los 30 días de terminadas las obras de los Nuevos Locales Comerciales de la PTBI, una rendición de todos los gastos realizados, debidamente respaldados con las facturas o documentos correspondientes. Se considerará dentro de la inversión todos los gastos incurridos por la Sociedad Concesionaria para el desarrollo del proyecto de ingeniería, la construcción de los nuevos locales, instalaciones de servicios, las adecuaciones que se realicen en el exterior del área de los locales y que tengan por objeto exclusivo la integración del proyecto a la Estación, como por ejemplo la adecuación de la señalética dentro de la Estación y las modificaciones a locales comerciales del pasillo de acceso al área de los Nuevos Locales Comerciales de la PTBI, el Impuesto al Valor Agregado (IVA) que soporte la Sociedad Concesionaria por la ejecución de las obras de los Nuevos Locales Comerciales de la PTBI, y en general, todo gasto que sea derivado de la ampliación comercial cuyo alcance y especificaciones se detallan en el Anexo N° 5 del presente Convenio.
    El total de la rendición, sin IVA, será recargado con un 5% por concepto de gastos de administración, control e inspección de las obras por parte de la Sociedad Concesionaria, por lo cual dichos gastos no estarán sujetos a la rendición indicada en el párrafo anterior.
    c) El monto máximo de la inversión realizada a certificar por el Inspector Fiscal (incluidos los gastos de administración, control e inspección), de acuerdo al literal b) anterior, será de UF 50.000, IVA incluido. Si el monto de la inversión excede el máximo indicado, dicha diferencia no se considerará en el valor de la inversión (I) de la expresión (1) indicada en el numeral a) anterior.
    d) La Sociedad Concesionaria informará al Inspector Fiscal, dentro de los 10 primeros días de cada mes, las sumas que hubiere percibido por concepto de "Ingresos por Nuevos Locales Comerciales en la PTBI" durante el mes precedente.
    En caso de atraso en la entrega de esta información, se aplicará a la Sociedad Concesionaria una multa de 10 UTM por cada día o fracción de día de atraso, cuya proposición, aplicación y pago se regulará según lo establecido en las Bases de Licitación.
    e) Dentro de los 15 primeros días del mes de enero de cada año, la Sociedad Concesionaria entregará al Inspector Fiscal un informe con los "Ingresos por Nuevos Locales Comerciales en la PTBI" percibidos durante el año calendario inmediatamente anterior y el cálculo del monto de la coparticipación que, eventualmente, le corresponda al MOP en dichos ingresos. Para el caso de los "Ingresos por Nuevos Locales Comerciales en la PTBI" percibidos durante el último año calendario de la concesión, la Sociedad Concesionaria deberá entregar al Inspector Fiscal el citado informe dentro de los 15 primeros días de verificado el término del contrato de concesión.
    En caso de atraso en la entrega de esta información, se aplicará a la Sociedad Concesionaria una multa de 15 UTM por cada día o fracción de día de atraso, cuya proposición, aplicación y pago se regulará según lo establecido en las Bases de Licitación.
    El Inspector Fiscal, dentro de los 30 días siguientes a la fecha de recepción del citado informe, comunicará a la Sociedad Concesionaria el monto que corresponda contabilizar, con signo positivo en la "Cuenta Convenio Ad-Referéndum N° 2" por coparticipación del Estado en los Ingresos por Nuevos Locales Comerciales en la PTBI, según lo señalado en el literal a) del presente numeral 4.2.
    4.3 Las partes acuerdan que a partir de la entrada en vigencia del presente convenio, los ingresos que la Sociedad Concesionaria deba pagar al MOP por concepto de Coparticipación del Estado en los Ingresos de la Sociedad Concesionaria, según se establece en el artículo 1.12.9.1.2 de las Bases de Licitación, más el 10% de los ingresos percibidos por la Sociedad Concesionaria por concepto de buses urbanos que ingresaron a la Estación de Intercambio Modal La Cisterna a partir de las 23:33 horas, durante el año calendario respectivo, serán contabilizados en la "Cuenta Convenio Ad-Referéndum N° 2" con signo positivo, el último día del mes que corresponda el referido pago, con lo cual se entenderá cumplida la obligación de pago dispuesta en el mencionado artículo. Lo anterior no aplicará para el caso del último año de concesión, debiendo la Sociedad Concesionaria efectuar el pago que corresponda conforme se estipula en el artículo 1.12.9.1.2 de las Bases de Licitación.
    4.4 El Ministerio de Obras Públicas se reserva el derecho de prepago parcial del saldo acumulado y actualizado de la "Cuenta Convenio Ad - Referéndum N° 2", en cualquier momento, en cuyo caso se contabilizará dicho monto, con signo positivo, en la citada cuenta, con fecha del último día del mes en que se efectúe el respectivo prepago.
    4.5 En el evento que se produzca la extinción de la concesión por cualquiera de las causas dispuestas en el artículo 1.11.2 de las Bases de Licitación, si existiese un saldo acumulado y actualizado de la "Cuenta Convenio Ad - Referéndum N° 2" a favor de la Sociedad Concesionaria (signo negativo) o del MOP (signo positivo), la otra parte deberá pagar el saldo de la citada cuenta dentro de un plazo de 30 días, para lo cual se sujetará al procedimiento dispuesto en las Bases de Licitación en sus artículos 1.12.7 y 1.12.8, según corresponda.
    4.6 Para facilitar la comprensión de la contabilización de los montos en la "Cuenta Convenio Ad - Referéndum N° 2", se adjunta como Anexo N° 4 un ejemplo numérico.
    4.7 El Impuesto al Valor Agregado (IVA) que soporte la Sociedad Concesionaria, en relación con el servicio de conservación, reparación y explotación de las inversiones a que se refiere el presente convenio, recibirá el mismo tratamiento que contempla el artículo 1.12.5 de las Bases de Licitación para dicho impuesto.
    Quinto: En virtud de la compensación acordada en el presente convenio, y bajo la condición de que ella sea oportunamente cumplida y que se tramiten completamente el presente convenio y el Decreto Supremo que lo apruebe, la Sociedad Concesionaria otorga al MOP el más amplio, completo y total finiquito, y renuncia a efectuar cualquier reclamación que pudiera haberle correspondido hasta esta fecha en relación con las materias tratadas en él.
    Asimismo, la Sociedad Concesionaria, sujeto a la condición de que se tramite totalmente el presente convenio y el decreto supremo que lo apruebe, otorga al MOP el más amplio, completo y total finiquito y renuncia a efectuar cualquier reclamación que pudiera haberle correspondido por la operación de la Plataforma de Buses Interurbanos y Rurales desde el perfeccionamiento del contrato de concesión y hasta esta fecha, declarando, en consecuencia, que renuncia a todas las acciones y derechos que le correspondería para demandar compensaciones o indemnizaciones por las materias tratadas en el presente convenio.
    Sexto: El presente Convenio Ad - Referéndum tendrá plena validez desde la publicación en el Diario Oficial del Decreto Supremo que lo apruebe, de conformidad con lo dispuesto en los artículos 19° del DS MOP N° 900 de 1996 y 69° del DS MOP N° 956, de 1997.
    Séptimo: La personería de don Fernando Elgueta Larraín y de don Juan Eduardo Vargas Peyreblanque para actuar en nombre y representación de "Sociedad Concesionaria Intermodal La Cisterna S.A.", consta del Acta de Sesión Extraordinaria de Directorio, efectuada con fecha 18 de junio de 2014, reducida a escritura pública, repertorio N° 8789/2014, de fecha 18 de junio de 2014, otorgada en la notaría de Santiago de don Patricio Zaldívar Mackenna.
    Octavo: El presente convenio se firma en cuatro ejemplares, quedando dos de ellos en poder de la Sociedad Concesionaria y dos en poder del Ministerio de Obras Públicas.
    Firman: Mariana Concha Mathiesen, Directora General de Obras Públicas, Ministerio de Obras Públicas; Fernando Elgueta Larraín y Juan Eduardo Vargas Peyreblanque, por Sociedad Concesionaria Intermodal La Cisterna S.A.
    CONVENIO AD - REFERÉNDUM N° 2
    DEL CONTRATO DE CONCESIÓN DE LA OBRA PÚBLICA FISCAL DENOMINADA "ESTACIÓN DE INTERCAMBIO MODAL LA CISTERNA"
    Anexo N° 1: Detalle de los mayores costos y gastos derivados del aumento en el horario de funcionamiento de la Estación de Intercambio Modal La Cisterna y en la prestación de los servicios básicos.

    (7 hojas, sin incluir ésta)
    ANEXO N° 1
    DETALLE DE LOS MAYORES COSTOS Y GASTOS DERIVADOS DEL AUMENTO EN EL HORARIO DE FUNCIONAMIENTO DE LA ESTACIÓN DE INTERCAMBIO MODAL LA CISTERNA Y EN LA PRESTACIÓN DE LOS SERVICIOS BÁSICOS
    1. Introducción.
    A raíz del requerimiento de ampliación de horario de funcionamiento de la Estación intermodal para efectos de compatibilizar su horario de cierre con la llegada de los últimos pasajeros que arriban en Metro a la Estación La Cisterna, para su conexión, en la Estación de Intercambio Modal, con los buses de Transantiago, Colectivos o vehículos particulares estacionados en el área de estacionamiento, es que se ha efectuado una determinación de los costos que deberán ser compensados a la Sociedad Concesionaria.
    En general los costos que deben considerarse son los relativos al aumento en el tiempo de prestación de los siguientes Ítems:
    . Costo de servicio de Seguridad, Vigilancia e Información General al público.
    . Costo de servicio de Aseo del horario nocturno para suplir la disminución de horas efectivas de trabajo
    . Costo de personal de control de acceso de buses.
    . Costo de utilización de equipos mecánicos por aumento horario de utilización.
    . Costo de personal de atención de servicios básicos al público.
    A continuación, se detalla y justifica cada ítem de costo.
    2. Ítems de costos, detalle y justificación.
    2.1. Costo de servicio de Seguridad y Vigilancia e Informaciones.
    Para efectos de cumplir con el servicio obligatorio de Seguridad y Vigilancia dispuesto en el artículo 1.10.2.6 y el Servicio de Información General al Público dispuesto en el artículo 1.10.2.7, ambos de las Bases de Licitación, se ha considerado la necesidad extender el horario de la dotación de guardias del turno tarde según la siguiente tabla:
    COSTO ADICIONAL PERSONAL
.
    El costo de hora hombre adicional en el Contrato de la prestación de servicio de Seguridad e Información al Público que tiene la Sociedad Concesionaria es de UF 0.1247 para el personal de seguridad (Guardias). El pago en horas extras se diferencian según lo dispuesto en la legislación laboral y lo dispuesto en el Reglamento interno de la Sociedad Concesionaria conforme la siguiente tabla:
.
---------------------------------------------------
1 Se consideran 26 días con costo directo de personal aumentado en un 50% (conforme legislación vigente) y 4,5 días con un costo de personal aumentado en un 100% (reglamento interno de la empresa para horas extras domingos y festivos).
    De lo anterior, el costo directo a la Sociedad Concesionaria sería:
    COSTO POR SOBRETIEMPO GUARDIAS

.
    Finalmente, a dicho costo se suman otros costos adicionales que debe considerar el contratista de la Sociedad Concesionaria relativos a transporte del personal (considera el transporte de 12 personas los 30 días de la semana con un valor promedio por viaje de aproximadamente $5.966 pesos diarios o en su equivalente 0.22 UF/día correspondiente a radio taxi), costo indirecto, gastos generales y utilidades, los que se detallan a continuación:
.
    2.2. Costo de personal del servicio de Aseo del horario nocturno para suplir la disminución de horas efectivas de trabajo
    En el turno nocturno se realiza en general todas las actividades de mantenimiento y de aseo para no Interferir con el normal funcionamiento de la plataforma de transporte. Al alargar el horario de operación, el tiempo efectivo de trabajo del personal en el turno nocturno baja de 6,5 a 5,5 horas, por lo que para tener el personal equivalente a antes del cambio, se requiere aumentar la dotación del turno para de esta forma poder realizar las labores del aseo profundo que sólo se puede realizar en ese turno.
    La dotación normal, antes del alargue de horario era de 11 personas, que es equivalente a 71,5 Horas Hombre, con turnos de 6,5 horas. Para la realización del aseo en 5,5 horas, después del cambio, se requiere agregar 2 personas adicionales, aumentando el turno a 13 personas. El Precio del Hombre-Día, establecido en el Contrato de Aseo que tiene la Sociedad Concesionaria con su proveedor de servicio es de UF 0,99 H-Día.
    De esta forma, el personal adicional es el siguiente:
.
    El mayor costo que significa se desglosa como sigue:
    SOBRE COSTO DEL CONTRATO DE ASEO
.
    2.3. Costo de personal de control de acceso de buses.
    Para efectos del cumplimiento en lo dispuesto en el artículo 1.10.14 ''Mediciones y Registro de Buses Urbanos que Ingresan a la EIM de las Bases de Licitación, relativo al registro y control de los buses urbanos que Ingresan a la Estación Intermodal La Cisterna, se genera un mayor costo a la Sociedad en términos de personal.
    Hasta antes del alargue de horario, el Control de ingresos de buses se realizaba con 3 operadores en turno de lunes a viernes, más dos operadores part-time para los fines de semana, con la siguiente organización:
    . 2 operadores uno de mañana y uno de tarde, 8,75 horas día * 5 días = 44 horas/semana.
    . 1 operador intermedio (colación y salidas al baño más apoyo).
    . 2 part-time fines de semana.
    Al aumentarse la operación en una hora diaria, se sobrepasa el número de horas extras semanales posible, por lo que se debe agregar una persona. En compensación se elimina uno de los puestos part time de fin de semana, quedando con el siguiente esquema:
    . 3 operadores con turnos rotativos para turnos las mañanas y tardes hasta las 24 horas.
    . 1 Operador de intermedio (colación y salidas al baño más apoyo).
    . 1 Operador Part-time fines de semana.
    De esta forma el mayor costo que soporta la Sociedad Concesionaria debido al cambio de horario de funcionamiento es el siguiente:
     
    COSTO ADICIONAL PERSONAL
.
    2.4. Costo de Operación por Equipamiento Electromecánico de Ventilación
    Para efectos de la normal operación de la plataforma de transporte de la Estación intermodal, en particular con el cumplimiento de los estándares de inyección y extracción de gases, funcionan 11 Unidades de Inyección, 8 unidades de extracción y 4 Jet Fans, es decir 23 equipos cada uno con un consumo eléctrico de 22 kW/hora. Por lo anterior, el costo de aumentar el horario de funcionamiento de la estación en una hora se debe considerar como mayor costo el consumo eléctrico y el aumento de mantenimiento adicional producto de la mayor utilización de estos equipos. A continuación, se presenta un detalle de los costos presentados:
.
    En relación al aumento de costo de mantención por el aumento horario, dicho costo se puede estimar sobre la base de un aumento de una hora de funcionamiento como una proporción de aumento de 1 hora de funcionamiento multiplicado por el costo promedio mensual de mantenimiento preventivo utilizado en los equipos de ventilación y Jet Fan:
    Horario de funcionamiento días hábiles:    5:40 - 23:00 (17 horas con 20 minutos)
    Horario de funcionamiento días Sábado:    06:30 - 23:00 (16 horas con 30 minutos)
    Horario de funcionamiento días Domingo y Festivo: 08:00 - 23:00 (15 horas)

    Horas funcionamiento diario promedio: (71 Dom. y Fest. *15:00 + 50 Sáb. *16:30 + 244 Días hábiles * 17:20)/365 = 16:46 (16,765).
    Aumento horario: 1 hora.
.
    Considerando que el promedio mensual de mantenimiento asciende a un costo promedio de UF 258,0581 el costo adicional que deberá ser compensado a la Sociedad Concesionaria asciende a:
.
    De esta manera el mayor costo asociado por mantener el sistema de ventilación operando en el aumento de horario de funcionamiento durante una hora adicional es:
.
    2.5. Costo de Operación Servicios Adicionales al Público
    El costo mensual para mantener en funcionamiento los servicios de Baño y Estacionamiento para el público durante la operación de la estación, supone un mayor Costo de personal (6 personas en baños y 3 en estacionamiento) que no es compensado con el pago del público que utilizará estos servicios en este horario pero que es obligatorio de prestar en razón del contrato de concesión, razón por la cual los operadores han manifestado los siguientes costos adicionales con base a una hora:
.
    2.6. Resumen de Costos mensuales por aumento de horario de funcionamiento
    A continuación, se presenta una tabla resumen de los mayores costos mensuales por efectos del aumento de funcionamiento de la Estación Intermodal La Cisterna.
.
    Dichos costos se encuentran estimados con base a una hora de aumento de funcionamiento.
    2.7. Costos a Compensar a Sociedad Concesionaria
    Considerando los horarios de funcionamiento vigentes de la Estación de La Cisterna, línea 2 de Metro S.A., y que de conformidad a lo dispuesto en el artículo 1.10.2.9 de las BALI, el Concesionario deberá prestar los Servicios Básicos, como mínimo, en los horarios de funcionamiento de la Estación de La Cisterna, línea 2 de Metro S.A., las partes acuerdan compensar un porcentaje del Costo mensual por aumento del horario de operación de la EIMLC durante el periodo previo a la fecha de la publicación en el Diario Oficial del Decreto Supremo que se dicte al efecto, el que se calcula conforme el siguiente cuadro:
.
    En virtud de lo anterior, el monto mensual a compensar a la Sociedad Concesionaria será de UF 200,73.
    Por otra parte, considerando los horarios de funcionamiento vigentes de la Estación de La Cisterna, línea 2 de Metro S.A., y que de conformidad a lo dispuesto en el artículo 1.10.2.9 de las BALI, el Concesionario deberá prestar los Servicios Básicos, como mínimo, en los horarios de funcionamiento de la Estación de La Cisterna, línea 2 de Metro S.A., las partes acuerdan compensar un porcentaje del Costo mensual por aumento del horario de operación de la EIMLC durante el período posterior a la fecha de la publicación en el Diario Oficial del Decreto Supremo que se dicte al efecto, el que se calcula conforme el siguiente cuadro:
.
    En virtud de lo anterior, el monto mensual a compensar a la Sociedad Concesionaria será de UF 249,41.
    CONVENIO AD - REFERÉNDUM N° 2
    DEL CONTRATO DE CONCESIÓN DE LA OBRA PÚBLICA FISCAL DENOMINADA "ESTACIÓN DE INTERCAMBIO MODAL LA CISTERNA"

    Anexo N° 2: Detalle de los menores costos y gastos derivados de la eliminación de la exigencia de mantener disponible el terminal de Buses Interurbanos de la Estación de Intercambio Modal La Cisterna.
    (2 hojas, sin incluir ésta)
    ANEXO N° 2
    DETALLE DE LOS MENORES COSTOS Y GASTOS DERIVADOS DE LA ELIMINACIÓN DE LA EXIGENCIA DE MANTENER DISPONIBLE EL TERMINAL DE BUSES INTERURBANOS DE LA ESTACIÓN DE INTERCAMBIO MODAL LA CISTERNA
    1. Introducción.
    La eliminación de la obligación de mantener habilitados andenes, zonas e instalaciones para la operación de Buses Interurbanos en la Plataforma de Transporte y la autorización para que la Sociedad Concesionaria emplace y preste allí otros servicios complementarios, importan para la Sociedad Concesionaria menores gastos y costos, los cuales se detallan en este anexo.
    En general los menores gastos y costos que tendrá la Sociedad Concesionaria por dejar de mantener la Plataforma de Buses Interurbanos sin actividades, se reducen a dejar de mantener la iluminación en las áreas que pasarán a ser interiores de locales comerciales y de ventilación de las mismas superficies. Debe tenerse en cuenta que la seguridad y el aseo en las áreas comunes deberá seguir prestándose por lo que no es posible reducir el contrato de esos servicios básicos a pesar que haya locales comerciales. Los nuevos costos de iluminación y ventilación serán cobrados a los nuevos locatarios.
    2. Ítems de costos, detalle y justificación.
    2.1. Disminución de costo por iluminación de la Plataforma de Buses Interurbanos.
    En el área hay alrededor de 60 canoas de iluminación cada una con 2 tubos de 56 W cada una, esto es un consumo de 7 kW/h, que están encendidas 11 horas diarias. Lo anterior significa el siguiente costo:
.
    2.2. Disminución de costo por ventilación de la Plataforma de Buses Interurbanos.
    La Plataforma de Buses Interurbanos es ventilada por la Unidad Manejadora de Aire N° 9, que funciona 11 horas diarias, al dejar de funcionar esta unidad se produce un menor costo de energía eléctrica y un menor costo en el mantenimiento de la misma.
    El cálculo del menor costo es el siguiente.
.
    Por otra parte, también hay un ahorro en menor mantenimiento. La Estación Intermodal tiene 24 equipos de ventilación, 23 de ellos atienden a la Plataforma de Buses Urbanos y funcionan 16,765 horas diarias (Anexo 1). La unidad que ventila el área de la Plataforma de Buses Interurbanos funciona 11 horas, por lo que la proporción de horas de funcionamiento de esta es 1/24*11/16,75. El costo mensual de mantenimiento de los equipos de ventilación es de UF 258,0581, de modo que proporcionalmente el ahorro que le significa a la Sociedad Concesionaria dejar de mantener este equipo es:
.
    Por lo tanto, el ahorro en tener un equipo de ventilación menos operando es:
.
    Por lo anterior el menor costo que resulta de dejar de tener la obligación de mantener la Plataforma de Buses Interurbanos es:
.
    CONVENIO AD - REFERÉNDUM N° 2
    DEL CONTRATO DE CONCESIÓN DE LA OBRA PÚBLICA FISCAL DENOMINADA "ESTACIÓN DE INTERCAMBIO MODAL LA CISTERNA"
    Anexo N° 3: Detalle del monto que se fija en primer párrafo del numeral 4.1 y ejemplo numérico del monto a compensar según numeral 4.1 del presente convenio.

    (1 hoja, sin incluir ésta)
    Anexo N° 3: Detalle del monto que se fija en primer párrafo de numeral 4.1 y ejemplo numérico del monto a compensar según numeral 4.1 del presente convenio
.

.

    i) A modo de ejemplo, si el MOP pagase el 31 de diciembre de 2018, entonces el monto
total a pagar será de:

.

    ii) A modo de ejemplo, si el MOP pagase en el plazo máximo, esto es, el 30 de junio de
2019, entonces el monto total a pagar será de:

.
    Nota:
    El cálculo de la Tasa de Interés Mensual y Diaria considera todos los decimales.
    CONVENIO AD - REFERÉNDUM N° 2
    DEL CONTRATO DE CONCESIÓN DE LA OBRA PÚBLICA FISCAL DENOMINADA "ESTACIÓN DE INTERCAMBIO MODAL LA CISTERNA"
    Anexo N° 4: Ejemplo numérico sobre la contabilización de los montos en la "Cuenta Convenio Ad - Referéndum N° 2".
    (1 hoja, sin incluir ésta)
    Anexo N° 4: Ejemplo numérico sobre la contabilización de los montos en la "Cuenta Convenio Ad - Referéndum N° 2".
.
.
    CONVENIO AD - REFERÉNDUM N° 2
    DEL CONTRATO DE CONCESIÓN DE LA OBRA PÚBLICA FISCAL DENOMINADA "ESTACIÓN DE INTERCAMBIO MODAL LA CISTERNA"
    Anexo N° 5: Alcance y especificaciones de nuevos locales en PTBI.
    (2 hojas, sin incluir ésta)
    ANEXO Nº 5
    ALCANCE Y ESPECIFICACIONES DE NUEVOS LOCALES EN PTBI
    ESTACIÓN DE INTERCAMBIO MODAL LA CISTERNA
    1. Descripción General
    La presente memoria descriptiva, hace referencia a la ampliación comercial en nivel 1 de la Estación de Intercambio Modal La Cisterna, en espacios originalmente destinados a andenes, boleterías y espera de buses interurbanos.
    Esta área se emplaza en el Nivel 1, nivel calle. Se ubica sobre la losa de cielo del primer subterráneo y tiene como techo la losa de cielo del nivel 1. La carga de diseño de la losa de piso es de 1.000 kg/m2, que asegura cumplir con los 500 kg/m2 que requieren las grandes tiendas.
    Por otra parte, estas tiendas mayores, permiten una consolidación del edificio como un subcentro de mayor importancia que satisface de manera concreta las necesidades del público de manera integral.
    Desde el punto de vista funcional, este lugar que cumple con las siguientes características:
    1) Provee de buena conexión peatonal con pasillo interior lateral.
    2) Presenta un área de gran superficie única en la estación, en la que se puede instalar una multi-tienda o dos tiendas de grandes superficies.
    3) Permite dejar áreas de carga y descarga de camiones para el mall y conservar los actuales accesos hacia Américo Vespucio y hacia Av. Ossa. Esto manteniendo vías libres de evacuación peatonal.
    4) Incorpora los baños pre destinados a conductores y uso de terminal interurbano, a los actuales baños de uso público de la galería, duplicando su capacidad de atención.
    5) Mantiene el acceso a las oficinas de la Concesionaria, de operación de buses y de la inspección fiscal.
    La eliminación de la zona destinada a buses interurbanos conlleva la incorporación de espacios cubiertos exteriores a los espacios interiores del centro comercial, manteniendo los estándares de climatización, seguridad, iluminación, etc.
    La integración con el pasillo y hall principal permitirá modernizar la circulación actual dándole mayor calidez con más iluminación y rediseño de pisos y cielos.
    2. Nueva Área Comercial
    El anteproyecto propuesto genera nuevas áreas comerciales arrendables con una superficie de 2.058 m2, distribuidos de la siguiente manera:
    . 1 local ancla de 1.424 m2
    . 1 local formato medio de 576 m2
    . 1 local formato menor de 72 m2
    El local N° 26 disminuirá su área arrendada en 17 m2, esto para poder ampliar la entrada al sector PTBI y mejorar la visibilidad del sector desde el interior de los pasillos del nivel N1.
    Los locales comerciales y pasillos que se integran estarán dotados de los estándares de seguridad del resto del centro comercial en cuanto a redes de detección y extinción de incendio.
    3. Cuota de estacionamientos
    El cambio de uso del área de andenes para buses interurbanos en locales comerciales no conlleva un requerimiento adicional de estacionamientos para el proyecto, debido a que cada posición de estacionamiento de buses tiene asociada 3 estacionamientos, por lo tanto, el eliminar los 16 andenes deja 48 estacionamientos vacantes. Esta cantidad de estacionamientos permitiría construir 2.400 m2 de comercio (50 m2 x estacionamiento).
    4. Circulaciones y conectividad
    Los nuevos locales generados se conectarán interiormente con el pasillo, que va de poniente a oriente en el nivel 1, produciendo un ensanche de este y un remate en forma de plaza interior pública a la manera de lo recientemente desarrollado en los niveles -1 y -2. El pasillo será desarrollado con estándares de iluminación led equivalentes al resto de la galería comercial, como ya se menciona en el punto 1.
    El área de los nuevos locales comerciales mantendrán los accesos por Américo Vespucio y por Av. Ossa, habilitando en ambos lados zonas para la descarga de camiones para surtir los locales comerciales de la estación.
    Se mantendrá la conectividad peatonal de acceso a las oficinas de la Concesionaria, de operación de buses y de la Inspección Fiscal y se dejará libre las vías de evacuación peatonal.
    5. Señalización
    Se deberá considerar modificar toda la señalética de la EIMLC cambiando la Indicación de Plataforma de Buses Interurbanos por los nuevos locales comerciales.
    CONVENIO AD - REFERÉNDUM N° 2
    DEL CONTRATO DE CONCESIÓN DE LA OBRA PÚBLICA FISCAL DENOMINADA
    "ESTACIÓN DE INTERCAMBIO MODAL LA CISTERNA"
    Anexo N° 6: Plano de nuevos locales.
    (1 hoja, sin incluir ésta)
    Anexo 6 Plano de Nuevos Locales
.
    4. Déjase constancia que mediante Carta GCLC18-0254, de 6 de julio de 2018, la Sociedad Concesionaria ratificó expresamente su acuerdo con la modificación a las características de las obras y servicios del contrato de concesión informada por el Inspector Fiscal en su oficio Ord. N° 4267/2018, de 3 de julio de 2018, según las condiciones, plazos y términos ahí señalados; indicando, además, que los proyectos, obras e inversiones que ejecute la Sociedad Concesionaria para prestar los servicios complementarios en las áreas indicadas en el oficio Ord. N° 4267/2018, de 3 de julio de 2018, del Inspector Fiscal, son de su entero costo, cargo y responsabilidad.
    5. Déjase constancia que el presente decreto supremo no modifica ninguno de los demás plazos ni demás obligaciones del contrato de concesión.
    6. Dentro del plazo de 10 días hábiles contados desde la publicación en el Diario Oficial del presente Decreto Supremo, tres transcripciones de ésta serán suscritas ante notario por "Sociedad Concesionaria Intermodal La Cisterna S.A." en señal de aceptación de su contenido, debiendo protocolizar ante el mismo uno de los ejemplares. Dentro de los cinco días hábiles siguientes, dos de las transcripciones debidamente suscritas deberán entregarse, una en la Oficina de Partes de la Dirección General de Obras Públicas y otra en la Fiscalía del Ministerio de Obras Públicas, ambas con una copia autorizada de la protocolización efectuada.
    Anótese, tómese razón y publíquese.- SEBASTIÁN PIÑERA ECHENIQUE, Presidente de la República.- Juan Andrés Fontaine T., Ministro de Obras Públicas.- Hugo Vergara Vengoa, Director General de Concesiones de Obras Públicas.- Mariana Concha Mathiesen, Directora General Dirección General de Obras Públicas.
    Lo que transcribo a Ud. para su conocimiento.- Saluda atte. a Ud., Lucas Palacios Covarrubias, Subsecretario de Obras Públicas.
    CONTRALORÍA GENERAL DE LA REPÚBLICA
    División de Infraestructura y Regulación
    Cursa con alcance el decreto N° 135,  de 2018, del Ministerio de Obras Públicas
    Nº 12.230.- Santiago, 7 de mayo de 2019.
    La Contraloría General ha dado curso al instrumento del rubro, que modifica por razones de interés público las características de las obras y servicios que indica del contrato de concesión de la obra pública fiscal denominada "Estación de Intercambio Modal La Cisterna", y aprueba Convenio Ad-Referéndum N° 2.
    No obstante lo anterior, cumple con hacer presente que se advierte que el acto administrativo en examen ha sido dictado y remitido para su toma de razón con retraso, toda vez que data del 3 de octubre del 2018, aprueba un convenio de 10 de julio de 2018 y ha sido ingresado a este órgano fiscalizador el 3 de abril del año en curso.
    La demora aludida, tal como se ha manifestado en reiterada jurisprudencia administrativa –vgr., dictámenes N°s. 36.936, de 2017 y 25.319 y 27.904, de 2018– implica una infracción al artículo 8° de la ley N° 18.575, Orgánica Constitucional de Bases Generales de la Administración del Estado, que impone a los organismos públicos el deber de actuar por propia iniciativa en el cumplimiento de sus funciones, procurando la simplificación y rapidez de los trámites, y también a lo previsto en el artículo 7° de la ley N° 19.880, de Bases de los Procedimientos Administrativos que Rigen los Actos de los Órganos de la Administración del Estado, relativo al principio de celeridad, conforme al cual las autoridades y funcionarios deben actuar por propia iniciativa en el procedimiento de que se trate y en su prosecución, haciendo expeditas las actuaciones pertinentes.
    Atendido lo anterior, en el futuro ese ministerio deberá adoptar las medidas que sean necesarias a fin de que sus instrumentos se dicten y remitan a tramitación en su debida oportunidad.
    Con el alcance que precede, se ha tomado razón del instrumento del epígrafe.
    Saluda atentamente a Ud., Jorge Bermúdez Soto, Contralor General de la República.
Al señor
Ministro de Obras Públicas
Presente.