1. Modifícase la resolución exenta Nº 590 (V. y U.), de fecha 15 de febrero de 2019, en el sentido de reemplazar la tabla inserta en su Resuelvo 2 por la siguiente:
    .
    2. Apruébase la nómina de proyectos seleccionados con su respectivo financiamiento total, para el otorgamiento de subsidios del Programa Habitacional Fondo Solidario de Elección de Vivienda en la alternativa de postulación colectiva, para proyectos de Construcción en Nuevos Terrenos, en las Regiones de Valparaíso, Maule, Ñuble, Biobío, Araucanía, Los Ríos, Los Lagos y Metropolitana, correspondiente al proceso de selección cuyo cierre de postulación se efectuó el día 27 de junio de 2019, del llamado efectuado por resolución exenta Nº 590 (V. y U.), de 2019:
    .
    .
    El detalle de los recursos comprometidos por concepto de subsidio base y subsidios complementarios, para cada uno de los proyectos seleccionados en este Resuelvo, y que por este acto se asignan, se informa en la nómina que se adjunta como anexo y que forma parte integrante de la presente resolución.
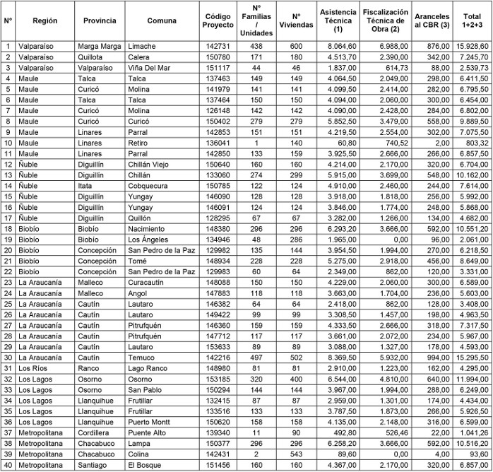
    3. El monto del subsidio asignado de conformidad con el cuadro del Resuelvo 2 de esta resolución comprende los siguientes valores por concepto de Servicios de Asistencia Técnica, de Labores de Fiscalización Técnica de Obra y pago de Aranceles al Conservador de Bienes Raíces:
    .
    Dichos montos fueron calculados conforme a la resolución exenta Nº 1.875 (V. y U.), de 2015, mencionada en el visto d) de la presente resolución: (1) en el caso de los Servicios de Asistencia Técnica, de acuerdo al número de familias postulantes que se beneficiarán por esta resolución, considerando los recursos para Asistencia Técnica descritos en las tablas insertas en los números 1.1 y 1.2 del numeral 1 del artículo 3º de la citada resolución. Se adiciona además 1 UF por familia, considerando lo señalado en el segundo inciso, del número 1.1. del numeral 1 del citado artículo. Este monto también incorpora los incrementos señalados en las letras a), b), c) y d) del numeral 3 del mismo artículo, referidos a Densificación en Altura o Habilitación, Factibilización, Discapacidad, Territorios Especiales y Localidades Aisladas, conforme lo define la referida Resolución; (2) en el caso de la Fiscalización Técnica de Obras, de acuerdo a la totalidad de viviendas del proyecto y según mecanismo expresado en el artículo 4º número 17 de la resolución exenta Nº 1.875 ya citada.
    Mediante resolución del Director del Serviu respectivo, se determinarán los montos definitivos de Asistencia Técnica, cuando corresponda otorgar los incrementos que la resolución exenta Nº 1.875 (V. y U.), de 2015, establece en las letras e), g), h), i), j) y k) del número 3 de su artículo 3º.
    4. Los recursos comprometidos en el Resuelvo 2 de la presente resolución, para los proyectos seleccionados en el concurso a que se llamó por resolución exenta Nº 590 (V. y U.), de 2019, cuyo cierre de postulación se efectuó el día 27 de junio de 2019, se detallan en el siguiente cuadro para cada región del país convocada, incluyendo la suma total de familias beneficiadas y Unidades de Fomento comprometidas, considerando los montos de subsidio de los proyectos, incluidos sus respectivos servicios de asistencia técnica y fiscalización técnica de obras. El presente detalle, considera a todas las regiones convocadas en el Llamado con las respectivas selecciones efectuadas en el marco del presente llamado, para efectos de cuadratura y cierre del proceso:
    .