APRUEBA NÓMINA DE POSTULANTES SELECCIONADOS CORRESPONDIENTES AL 1º LLAMADO EN CONDICIONES ESPECIALES 2019 Y DISPONE ASIGNACIÓN DE RECURSOS PARA LA REGIÓN METROPOLITANA, QUE SE DESTINARÁN AL FINANCIAMIENTO DE SUBSIDIOS PARA EL DESARROLLO DE PROYECTOS DEL PROGRAMA DE PROTECCIÓN DEL PATRIMONIO FAMILIAR EN SU MODALIDAD REGULADA POR EL CAPÍTULO SEGUNDO DE LA ATENCIÓN A CONDOMINIOS DE VIVIENDA SOCIAL
Núm. 2.398 exenta.- Santiago, 30 de septiembre de 2019.
Vistos:
1. El decreto supremo Nº 255 (V. y U.), de 2006, y sus modificaciones, que regula el Programa de Protección del Patrimonio Familiar;
2. La resolución Nº 533 (V. y U.), de 1997, que Fija Procedimiento para Prestación de Servicios de Asistencia Técnica a Programas de Viviendas que indica y deroga la resolución Nº 241 (V. y U.), de 1996;
3. La Circular Nº 1, de la Subsecretaría (V. y U.), de 22 de enero de 2019, que fija programa habitacional correspondiente al año 2019 y sus modificaciones;
4. La resolución Nº 152 del Ministerio de Hacienda y Ministerio de Vivienda y Urbanismo de fecha 10 de enero de 2019, que autoriza a efectuar llamados a postulación y/o comprometer recursos en el otorgamiento de subsidios habitacionales durante el año 2019 en Sistemas y Programas que indica;
5. La resolución exenta Nº 1.115, de fecha 15 de mayo de 2019, del Ministerio de Vivienda y Urbanismo y sus modificaciones, que llama a postulación para el desarrollo de proyectos, calificados en primer proceso de selección 2019, del Programa de Protección del Patrimonio Familiar en su modalidad regulada por el Capítulo II, de la atención a Condominios de Viviendas Sociales para las regiones que allí se indican;
6. La resolución exenta Nº 1.792, de fecha 8 de agosto de 2019, del Ministerio de Vivienda y Urbanismo, que modifica resolución de llamado 2019 a postulación para el desarrollo de proyectos, del Programa de Protección del Patrimonio Familiar en su modalidad regulada por el Capítulo II, de la atención a Condominios de Viviendas Sociales para las regiones que allí se indican;
7. La resolución exenta Nº 1.418, de fecha 30 de mayo de 2019, de la Seremi Región Metropolitana, que establece las variables regionales de prelación para la Comisión Evaluadora del llamado en condiciones especiales 2019 y aprueba documento de "Focalización Intervención Regional CCSS, Llamado de CCSS 2019";
8. La resolución exenta Nº 2.392, de fecha 27 de septiembre de 2019, de la Seremi Región Metropolitana, que establece prelación de proyectos aprobados correspondientes al primer proceso de selección establecido en el resuelvo 9, de la resolución exenta Nº 1.115 (V. y U.), de fecha 15 de mayo de 2019, que fue modificado en su resuelvo b), por la resolución exenta Nº 1.792 (V. y U.), de 2019, del Llamado Extraordinario de Condominios Sociales 2019;
9. El Acta de fecha 26 de septiembre de 2019 de la sesión de la Comisión Evaluadora integrada por Marcela Barrera León y Natalia Valenzuela Gutiérrez, de la Subdirección de Operaciones Habitacionales, en representación de Serviu Metropolitano; Mauricio Gallardo Soto, Jefe de Departamento de Planes y Programas (S) y Javier Acuña Maturana, Encargado de la Unidad de Coordinación Provincial y Comunal, en representación de la Secretaría Regional Ministerial de Vivienda y Urbanismo, que estableció el orden de prelación y selección de las copropiedades postulantes al Llamado Extraordinario de Condominios Sociales, correspondiente al proceso de postulación del primer proceso de selección establecido en el resuelvo 9, de la resolución exenta Nº 1.115 (V. y U.), de fecha 15 de mayo de 2019, que fue modificado en su resuelvo b), por la resolución exenta Nº 1.792 (V. y U.), de 2019, del Llamado Extraordinario de Condominios Sociales 2019;
10. El Ord. Nº 7803, de fecha 14 de agosto de 2019, de Subdirector de Vivienda y Equipamiento (S) de Serviu Metropolitano, que informa resultados de revisión técnico-económica y adjunta planilla de proyectos visados por el Departamento de Estudios que consolida información sobre tipologías y montos de subsidio aprobados de proyectos calificados correspondientes al primer proceso de selección del Llamado Extraordinario de Condominios Sociales 2019;
11. El correo electrónico de la profesional del Subdepartamento de Subsidios para Mejoramiento de Viviendas y Entorno, del Departamento de Asignación de Subsidios Habitacionales de la Subdirección de Operaciones Habitacionales de fecha 26 de agosto de 2019, Sra. Natalia Valenzuela G., que informa proyectos calificados hábiles y adjunta planilla final de calificación CVS agosto 2019, así como los correos electrónicos de fecha 30 de agosto de 2019, y de fecha 4 y 6 de septiembre de 2019 del mismo Subdepartamento, que rectifican información de proyectos calificados hábiles:
12. El correo electrónico del profesional de la Subdirección de Operaciones Habitacionales del Departamento de Asignación de Subsidios Habitacionales de la Sección Habilitación Social, de Serviu Metropolitano, de fecha 2 de septiembre de 2019, Sr. Christian Caro V., que informa la actualización del estado de Plan de Habilitación Social que participan en el primer proceso de selección del Llamado extraordinario CVS 2019;
13. Actualización de vigencia de convenio y categoría, del equipo de control de Equipo de Control del Departamento de Planes y Programas a través de correo electrónico de fecha 03.09.2019;
14. El correo electrónico de la profesional del Subdepartamento de Subsidios para Mejoramiento de Viviendas y Entorno, del Departamento de Asignación de Subsidios Habitacionales de la Subdirección de Operaciones Habitacionales de fecha 23 de septiembre de 2019, Sra. Natalia Valenzuela G., que informa Roles habilitados para proyectos de ampliación en el marco del proceso de selección 2019;
15. El Memorándum Nº 417 de fecha 24 de septiembre de 2019, del Encargado de Equipo Supervigilancia de Seremi Metropolitana de Vivienda y Urbanismo Sr. Fernando Valenzuela, así como su correo electrónico de fecha 23.09.2019; que informa categoría y la capacidad de atención de beneficiarios de las entidades Patrocinantes con convenio vigente; indicando el término administrativo del convenio regional de asistencia técnica entre Seremi RM y PSAT Consultora y Constructora Arena Ltda., según resolución exenta Nº 2.535, de fecha 24.08.2019, de la Seremi R.M.; e indicando la inhabilidad en el primer proceso de selección Llamado 2019 para la Entidad Patrocinante Likan Gestión Inmobiliaria y para la Entidad Patrocinante Consultora Tecno Vivienda Ltda., por exceder ambas la capacidad de atención permitida para su categoría;
16. Planilla de seguimiento de vigencia de subsidios del Programa de Protección del Patrimonio Familiar en su modalidad regulada por el Capítulo II, de la atención a Condominios de Viviendas Sociales, actualizada al 24 de septiembre de 2019, que determina la inhabilidad por vigencia de subsidios al primer proceso de selección 2019 a las Entidades Patrocinantes: "Corporación de Desarrollo Urbano Nuevo San Joaquín, Gestión y Proyectos Inmobiliarios Rucalhue Ltda., Ilustre Municipalidad de Cerro Navia, Ilustre Municipalidad de Peñalolén y Pehuén S.A.;
17. El Ord Nº 9678 de fecha 25 de septiembre de 2019, de Encargada Sección Gestión de Asistencia Técnica de Serviu Metropolitano, que informa cantidad de beneficiarios atendidos por Entidades de asistencias técnicas;
18. Las facultades que me confiere el DS Nº 397 (V. y U.), de 1976, que fija el reglamento de las Secretarías Ministeriales de Vivienda;
19. El decreto Nº 29 (V. y U.), de fecha 18 de abril de 2018, que nombra al infrascrito Secretario Ministerial Metropolitano de Vivienda y Urbanismo;
20. La resolución exenta Nº 7 de 2019, de la Contraloría General de la República.
Considerando:
1. Que Serviu Región Metropolitana calificó favorablemente todas las factibilidades de 241 proyectos del año 2019, ingresados para la postulación del año en curso;
2. Que mediante Acta de la Comisión Técnica Evaluadora de fecha 26.09.2019, se estableció el orden de prelación de 200 proyectos postulantes, de acuerdo a lo señalado en la resolución exenta Nº 1.115 (V. y U.), de 2019, y la resolución exenta Nº 1.418 del Seremi Región de la Región Metropolitana, citada en el visto 7., y al DS Nº 255 (V. y U.), de 2006;
3. Los recursos disponibles consignados en la resolución exenta Nº 1.115 (V. y U.), de 2019, y la resolución de prelación, citada en el visto 8., dicto la siguiente
Resolución:
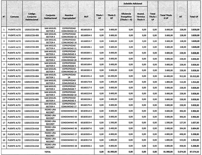
1. Asígnense los recursos disponibles para la selección de los postulantes correspondientes al llamado 2019, para el desarrollo de proyectos en Condominios de Viviendas Sociales que conforman la Demanda General del programa, calificados en el primer proceso de selección del año 2019, que se destinarán al financiamiento de los subsidios y al pago de los servicios de asistencia técnica, según la distribución que se señala a continuación:
Postulación Comunidad de Copropietarios:
.
. 2. Asígnense los recursos disponibles para la selección de los postulantes correspondientes al llamado 2019, para el desarrollo de proyectos en Condominios de Viviendas Sociales insertos en conjuntos del programa de Recuperación de Barrios período 2014-2019, calificados en el primer proceso de selección del año 2019, que se destinarán al financiamiento de los subsidios y al pago de los servicios de asistencia técnica, según la distribución que se señala a continuación:
Postulación Comunidad de Copropietarios:
. 3. Asígnense los recursos disponibles para la selección de los postulantes correspondientes al llamado 2019, para el desarrollo de proyectos en Condominios de Viviendas Sociales de Interés Regional correspondientes al Plan Integral Bajos de Mena, calificados en el primer proceso de selección del año 2019, que se destinarán al financiamiento de los subsidios y al pago de los servicios de asistencia técnica, según la distribución que se señala a continuación:
Postulación Comunidad de Copropietarios:
. 4. Asígnense los recursos disponibles para la selección de los postulantes correspondientes al llamado 2019, para el desarrollo de proyectos en Condominios de Viviendas Sociales de Interés Regional correspondientes a proyectos de Ampliación, calificados en el primer proceso de selección del año 2019, que se destinarán al financiamiento de los subsidios y al pago de los servicios de asistencia técnica, según la distribución que se señala a continuación:
Postulación Comunidad de Copropietarios:
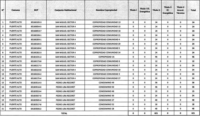
. 5. Fíjese el número de postulantes seleccionados en la Región Metropolitana de acuerdo a la distribución regional de recursos consignada en el resuelvo número 18 para los proyectos que se financiarán conforme lo dispone el resuelvo 17, ambos de la Resolución Exenta Nº 1.115 (V. y U.), de 2019, según se indica en las siguientes tablas:
5.a Demanda General
Postulación Comunidad de Copropietarios:
.
. 5.b Condominios Sociales insertos en conjuntos del programa de Recuperación de Barrios período 2014-2019
Postulación Comunidad de Copropietarios:
. 5.c Condominios Sociales de Interés Regional correspondientes al Plan Integral Bajos de Mena
Postulación Comunidad de Copropietarios:
. 5.d Condominios Sociales de Interés Regional correspondientes a proyectos de Título III - Ampliaciones
Postulación Comunidad de Copropietarios:
. 5. Apruébanse las nóminas de postulantes correspondientes a los proyectos seleccionados, de acuerdo a las tablas que se adjuntan y se entenderán forman parte de la presente resolución.
6. Impútese el monto total de 687.042,06 Unidades de Fomento asignados en esta resolución, a los recursos autorizados a la Región Metropolitana, para el Programa de Protección del Patrimonio Familiar del año 2019, para Condominios Sociales.
7. Publíquese un extracto de la presente resolución en el Diario Oficial, por parte de la Seremi Regional y, de acuerdo a lo establecido en el DS 255, Serviu deberá publicar en al menos un periódico de circulación regional, un aviso que indique el lugar y fecha en que serán publicadas las nóminas de postulantes y proyectos beneficiados, de acuerdo al resuelvo Nº 5 de la presente resolución.
NOTA
El N° 1 de la Resolución 2839 Exenta, Vivienda, publicada el 20.12.2019, modifica el resuelvo N° 3 de la presente norma, con el objeto de incorporar la copropiedad que indica la referida norma, la cual tendrá financiamiento de subsidios y pagos de servicios de asistencia técnica.
El N° 1 de la Resolución 2839 Exenta, Vivienda, publicada el 20.12.2019, modifica el resuelvo N° 3 de la presente norma, con el objeto de incorporar la copropiedad que indica la referida norma, la cual tendrá financiamiento de subsidios y pagos de servicios de asistencia técnica.
NOTA 1
El N° 2 y 3 de la Resolución 2839 Exenta, Vivienda, publicada el 20.12.2019, complementan la presente resolución en cuanto al número de postulantes seleccionados en la Región Metropolitana del resuelvo 5.c., de acuerdo a la tabla que se indica; y en lo pertinente la nómina de postulantes seleccionados del resuelvo 5., para el otorgamiento de subsidios habitacionales correspondientes al mes de agosto de 2019.
El N° 2 y 3 de la Resolución 2839 Exenta, Vivienda, publicada el 20.12.2019, complementan la presente resolución en cuanto al número de postulantes seleccionados en la Región Metropolitana del resuelvo 5.c., de acuerdo a la tabla que se indica; y en lo pertinente la nómina de postulantes seleccionados del resuelvo 5., para el otorgamiento de subsidios habitacionales correspondientes al mes de agosto de 2019.
NOTA 2
El numeral 1 de la Resolución 2958, Vivienda, publicado el 21.01.2020, modifica la presente norma en el sentido de incorporar el subsidio de eficiencia energética del proyecto correspondiente a la Copropiedad Lote Nº 4 - Blocks 1 y 2, de la Villa Los Jardines, Sector C1, de la comuna de Ñuñoa.
El numeral 1 de la Resolución 2958, Vivienda, publicado el 21.01.2020, modifica la presente norma en el sentido de incorporar el subsidio de eficiencia energética del proyecto correspondiente a la Copropiedad Lote Nº 4 - Blocks 1 y 2, de la Villa Los Jardines, Sector C1, de la comuna de Ñuñoa.
NOTA 3
El numeral 2 de la Resolución 2958, Vivienda, publicado el 21.01.2020, modifica el número de postulantes seleccionados en la Región Metropolitana la presente norma de acuerdo a lo que la citada norma indica.
El numeral 2 de la Resolución 2958, Vivienda, publicado el 21.01.2020, modifica el número de postulantes seleccionados en la Región Metropolitana la presente norma de acuerdo a lo que la citada norma indica.
NOTA 4
Los numerales 2 y 3 de la Resolución 1196 Exenta, Vivienda, publicada el 14.10.2020, modifican los resuelvos 2 y 4 de la presente norma en la forma que la citada Resolución indica.
Los numerales 2 y 3 de la Resolución 1196 Exenta, Vivienda, publicada el 14.10.2020, modifican los resuelvos 2 y 4 de la presente norma en la forma que la citada Resolución indica.
Anótese, notifíquese y publíquese.- Boris Golppi Rojas, Secretario Ministerial Metropolitano de Vivienda y Urbanismo.