MODIFICA CONCESIÓN DE SERVICIO INTERMEDIO DE TELECOMUNICACIONES A CONECT S.A.
Santiago, 27 de agosto de 2019.- Con esta fecha se ha decretado lo que sigue:
Núm. 672 exento.
Vistos:
a) El decreto ley Nº 1.762 de 1977, que creó la Subsecretaría de Telecomunicaciones, en adelante la Subsecretaría.
b) La ley Nº 18.168, Ley General de Telecomunicaciones, en adelante la ley.
c) La resolución exenta Nº7 de 2019, de la Contraloría General de la República, que fija normas sobre exención del trámite de toma de razón.
d) El decreto supremo Nº 103 de 2008, del Ministerio de Transportes y Telecomunicaciones.
e) El decreto supremo Nº 193 de 2002, del Ministerio de Transportes y Telecomunicaciones, que otorgó la concesión y sus modificaciones posteriores.
Considerando:
a) Lo solicitado por la interesada mediante ingreso Subtel Nº44.194 de 29.03.2018.
b) Que no se presentaron oposiciones a la publicación en extracto de la solicitud de modificación de concesión,
Decreto:
Modifícase la concesión de Servicio Intermedio de Telecomunicaciones, cuyo titular es la empresa Conect S.A., RUT Nº 96.965.220-K, con domicilio en General Mackenna Nº 1369, comuna de Santiago, Región Metropolitana de Santiago, en adelante la concesionaria, en el sentido que se indica en los numerandos siguientes:
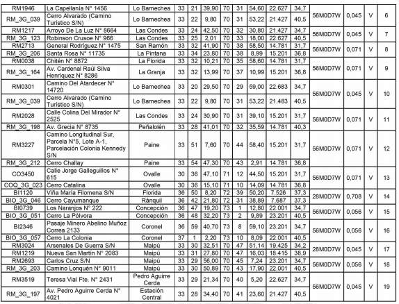
1.- Autorízase a la concesionaria para instalar, operar y explotar diecinueve (19) radioenlaces, en las Regiones Metropolitana de Santiago, de Los Lagos, de Coquimbo, del Biobío y de Ñuble, según se indica a continuación:


Los radioenlaces se implementarán a través de medios propios o de terceros debidamente autorizados.
2. Los plazos son los que se indican a continuación:

3. Apruébase el proyecto técnico base de la solicitud presentada por la concesionaria, en lo relacionado con los sistemas y equipos de telecomunicaciones autorizados en el presente decreto, conforme a las disposiciones técnico legales que rigen el servicio de telecomunicaciones concedido. La documentación respectiva quedará archivada en la Subsecretaría de Telecomunicaciones.
4. Es obligación de la concesionaria el conocimiento y cumplimiento de las disposiciones legales, reglamentarias y técnicas que regulan las telecomunicaciones, en lo que le sean aplicables.
Anótese, comuníquese, notifíquese a la interesada y publíquese en el Diario Oficial.- Por orden del Presidente de la República, Gloria Hutt Hesse, Ministra de Transportes y Telecomunicaciones.
Lo que transcribo para su conocimiento.- Saluda atentamente a Ud., Enoc Araya Castillo, Jefe División Concesiones.