ADJUDICA CONTRATO DE CONCESIÓN PARA LA EJECUCIÓN, REPARACIÓN, CONSERVACIÓN Y EXPLOTACIÓN DE LA OBRA PÚBLICA FISCAL DENOMINADA "CONCESIÓN RUTA 66, CAMINO DE LA FRUTA", A EJECUTAR POR EL SISTEMA DE CONCESIONES
    Núm. 87.- Santiago, 20 de agosto de 2019.
    Vistos:
    - El artículo 87 del DFL MOP Nº 850 de 1997 que fija el texto refundido, coordinado y sistematizado de la ley Nº 15.840 de 1964, Orgánica del Ministerio de Obras Públicas y del DFL Nº 206 de 1960, Ley de Caminos, y sus modificaciones;
    - El DS MOP Nº 900 de 1996 que fija el texto refundido, coordinado y sistematizado del DFL MOP Nº 164 de 1991, Ley de Concesiones de Obras Públicas, y sus modificaciones;
    - El DS MOP Nº 956 de 1997, Reglamento de la Ley de Concesiones de Obras Públicas, y sus modificaciones;
    - La ley Nº 21.044 que crea la Dirección General de Concesiones de Obras Públicas;
    - El DFL MOP Nº 7 de 2018 que fija planta de personal y fecha de iniciación de actividades de la Dirección General de Concesiones de Obras Públicas;
    - El oficio Gab. Pres. Nº 795 de 5 de junio de 2017, de su Excelencia la Presidenta de la República mediante el cual aprueba la ejecución de la obra pública fiscal denominada "Concesión Ruta 66, Camino de la Fruta" a través del sistema de concesiones;
    - El oficio Ord. Nº 924 de 17 de mayo de 2017, del señor Ministro de Hacienda mediante el cual aprueba las Bases de Licitación y el Prospecto de Inversión del proyecto denominado "Concesión Ruta 66, Camino de la Fruta" a ejecutar por el sistema de concesiones;
    - La resolución DGOP Nº65 de 19 de junio de 2017, que aprueba las Bases de Licitación de la obra pública fiscal denominada "Concesión Ruta 66, Camino de la Fruta" a ejecutar por el sistema de concesiones;
    - La publicación del llamado a licitación pública internacional del proyecto "Concesión Ruta 66, Camino de la Fruta", efectuada en el Diario Oficial el 12 de octubre de 2017;
    - La publicación del llamado a licitación pública internacional del proyecto "Concesión Ruta 66, Camino de la Fruta", efectuada en medio digital www.cooperativa.cl, sección Avisos Legales, el 12 de octubre de 2017;
    - La resolución DGOP Nº11 de 1 de febrero de 2018, que aprueba circular aclaratoria Nº1 de las Bases de Licitación de la obra pública fiscal denominada "Concesión Ruta 66, Camino de la Fruta", a ejecutar por el sistema de concesiones;
    - La resolución DGOP Nº14 de 12 de febrero de 2018, que aprueba circular aclaratoria Nº2 de las Bases de Licitación de la obra pública fiscal denominada "Concesión Ruta 66, Camino de la Fruta", a ejecutar por el sistema de concesiones;
    - La resolución DGOP (Exenta) Nº576 de 12 de febrero de 2018, que aprueba circular aclaratoria Nº3 de las Bases de Licitación de la obra pública fiscal denominada "Concesión Ruta 66, Camino de la Fruta", a ejecutar por el sistema de concesiones;
    - La resolución DGOP Nº22 de 27 de febrero de 2018, que aprueba circular aclaratoria Nº4 de las Bases de Licitación de la obra pública fiscal denominada "Concesión Ruta 66, Camino de la Fruta", a ejecutar por el sistema de concesiones;
    - La resolución DGOP Nº74 de 9 de julio de 2018, que aprueba circular aclaratoria Nº5 de las Bases de Licitación de la obra pública fiscal denominada "Concesión Ruta 66, Camino de la Fruta", a ejecutar por el sistema de concesiones;
    - La resolución DGC Nº 16 de 30 de agosto de 2018 que aprueba circular aclaratoria Nº 6 de las Bases de Licitación de la obra pública fiscal denominada "Concesión Ruta 66, Camino de la Fruta", a ejecutar por el sistema de concesiones; y el oficio Ord. Nº 1728 de 30 de agosto de 2018 del Director de Presupuestos del Ministerio de Hacienda que se pronuncia sobre resolución que aprueba la circular aclaratoria Nº 6;
    - La resolución DGC Nº40 de 26 de noviembre de 2018, que aprueba circular aclaratoria Nº7 de las Bases de Licitación de la obra pública fiscal denominada "Concesión Ruta 66, Camino de la Fruta", a ejecutar por el sistema de concesiones;
    - La resolución DGC Nº4 de 22 de enero de 2019, que aprueba circular aclaratoria Nº8 de las Bases de Licitación de la obra pública fiscal denominada "Concesión Ruta 66, Camino de la Fruta", a ejecutar por el sistema de concesiones;
    - La resolución DGC Nº5 de 5 de febrero de 2019, que aprueba circular aclaratoria Nº9 de las Bases de Licitación de la obra pública fiscal denominada "Concesión Ruta 66, Camino de la Fruta", a ejecutar por el sistema de concesiones;
    - La resolución DGC Nº20 de 8 de mayo de 2019, que aprueba circular aclaratoria Nº10 de las Bases de Licitación de la obra pública fiscal denominada "Concesión Ruta 66, Camino de la Fruta", a ejecutar por el sistema de concesiones;
    - La resolución DGC (exenta) Nº1.476 de 14 de mayo de 2019, que aprueba circular aclaratoria Nº11 de las Bases de Licitación de la obra pública fiscal denominada "Concesión Ruta 66, Camino de la Fruta", a ejecutar por el sistema de concesiones;
    - La resolución DGC (exenta) Nº1.572 de 30 de mayo de 2019, que establece conformación de las Comisiones de Recepción de las Ofertas y Apertura de las Ofertas Técnicas y de Apertura de las Ofertas Económicas de la licitación de la obra pública fiscal denominada "Concesión Ruta 66, Camino de la Fruta", a ejecutar por el sistema de concesiones;
    - La resolución DGC (exenta) Nº1.573 de 30 de mayo de 2019 que establece conformación de las Comisiones de Evaluación de las Ofertas Técnicas y de Evaluación de las Ofertas Económicas de la licitación de la obra pública fiscal denominada "Concesión Ruta 66, Camino de la Fruta", a ejecutar por el sistema de concesiones;
    - El Acta de Recepción de las Ofertas y Apertura de las Ofertas Técnicas de 31 de mayo de 2019;
    - El oficio Ord. Nº640 de 17 de junio de 2019, mediante el cual el Director General de Concesiones de Obras Públicas solicita al Grupo Licitante "Consorcio Sacyr" las aclaraciones que indica a su Oferta Técnica y la respectiva carta de respuesta, ingresada por el Grupo Licitante en la Oficina de Partes ubicada en calle Merced Nº753, entrepiso, con fecha 19 de junio de 2019;
    - El acta de Evaluación de las Ofertas Técnicas de 24 de junio de 2019;
    - El acta de Apertura de las Ofertas Económicas de 26 de junio de 2019;
    - El acta de Calificación de las Ofertas Económicas de 27 de junio de 2019;
    - El acta de Adjudicación suscrita por el Sr. Director General de Concesiones de Obras Públicas de 15 de julio de 2019;
    - La resolución Nº7 de 2019 de Contraloría General de la República, que fija normas sobre exención del trámite de toma de razón, y
    - La resolución Nº8 de 2019 de Contraloría General de la República, que determina los montos en Unidades Tributarias Mensuales, a partir de los cuales los actos que se individualizan quedarán sujetos a toma de razón y a controles de reemplazo cuando corresponda.
    Decreto:

    1. Adjudícase el Contrato de Concesión para la ejecución, reparación, conservación y explotación de la obra pública fiscal denominada "Concesión Ruta 66, Camino de la Fruta", al Grupo Licitante "Consorcio Sacyr", conformado por las empresas Sacyr Chile S.A. y Sacyr Concesiones Chile SpA.
    El Proyecto se inicia en la Región de O'Higgins, cruza la comuna de San Pedro en la Región Metropolitana y finaliza en el camino de acceso al Puerto de San Antonio en la Región de Valparaíso, desarrollando su trazado a través de las comunas de Malloa, Peumo, San Vicente de Tagua Tagua y Las Cabras en la Provincia de Cachapoal, la comuna de San Pedro en la Provincia de Melipilla y las comunas de Santo Domingo y San Antonio en la Provincia de San Antonio.
    Este Proyecto consiste en el mejoramiento y conservación de aproximadamente 141,1 km de vialidad interurbana, plantea la construcción de sectores en dobles calzadas y/o ampliaciones a segundas calzadas y rehabilitación de calzadas simples.
    Para los efectos administrativos del Contrato de Concesión, el Proyecto se ha dividido en los sectores A y B, cada uno de los cuales además ha sido dividido en subsectores, conforme a la siguiente tabla:
    Tabla: Sectores y subsectores del Proyecto

    .

    Notas:
    1. Las distancias métricas son aproximadas.
    2. Producto de un mayor desarrollo de la Variante Peumo - Las Cabras - El Manzano, en la parte final de este
Subsector se genera una ecuación de kilometraje, donde el Dm 63.800 de la Ruta 66 actual equivale al Dm
66.108 de la Variante.

    El Sector A que tiene una extensión de 66,11 km aprox., comprende el tramo Pelequén - Puente El Durazno (sector El Manzano). Este tramo, además de las obras de ampliación a segundas calzadas previstas entre el Dm 2.046 y el Dm 12.300, considera la construcción de tres importantes variantes: la primera de ellas en doble calzada denominada Variante Pelequén - Limahue (Dm 0.000 al Dm 2.046) y la segunda y tercera variantes en calzada simple denominadas Variante San Vicente - Peumo (Dm 12.300 al Dm 23.500) y Variante Peumo - Las Cabras - El Manzano (Dm 23.500 al Dm 66.108). Un tramo importante de la Variante Peumo - Las Cabras - El Manzano, que se desarrolla por la ribera norte del río Cachapoal, contempla, entre otras obras, defensas fluviales de protección en ambas riberas del río entre el sector del Puente Peumo y el Puente Las Cabras, en los tramos y con la materialidad que determine el Proyecto de Ingeniería de Detalle. Lo anterior, sin perjuicio de lo señalado en el artículo 1.17 de las Bases de Licitación.
    El Sector B que tiene una extensión de 75,20 km aprox., comprende el tramo Puente El Durazno -Variante San Juan. Los subsectores que se desarrollan por la Ruta 66 entre el Puente El Durazno (Dm 63.800 aprox.) y el sector de la Planta Avícola Vista Hermosa (Dm 123.900 aprox.), consideran entre otras obras, un mejoramiento integral de la actual plataforma vial, donde se contemplan mejoramientos geométricos en planta y en alzado, mejoramiento de la infraestructura de pavimento, incorporación de terceras pistas para el tránsito lento, ensanches de bermas, puentes y ensanches de estructuras existentes. Entre el término del Subsector 3 y la parte inicial del Subsector 4 (Dm 92.200 aprox.), se deberá construir el Enlace Las Arañas, que entre otras obras, comprende la rectificación del trazado de la Ruta 66 en una extensión cercana a los 1,3 km, la construcción de una rotonda en las inmediaciones del actual Cruce Las Arañas, de una ciclovía por el costado derecho de la ruta entre el actual Cruce Las Arañas y el acceso a San Pedro, así como la incorporación de una pasarela peatonal y paraderos de buses en ambos sentidos de la vía en las inmediaciones del Liceo Municipal de San Pedro, conforme lo indica la Tabla Nº35 del artículo 2.3.1.8.3 de las Bases de Licitación. En el referido Sector B, se contempla la construcción del enlace Rapel y del enlace Las Brisas.
    El Subsector 5 corresponde a la Variante San Juan de 15,07 km de longitud aproximadamente, que incluye el trazado frente al Condominio La Princesa. Dicha variante genera una conexión directa entre la Ruta 66, el camino de acceso al Puerto de San Antonio y la Ruta 78. El principal objetivo de esta variante, es reasignar el tránsito de vehículos pesados cargados con productos frutícolas de exportación, provenientes de las regiones de O'Higgins y Maule, de manera de evitar su circulación por Santo Domingo, Llolleo y San Antonio. La Variante San Juan se inicia en la localidad de Las Brisas de Santo Domingo (Dm 121.930), luego cruza el río Maipo mediante un puente de gran longitud, atraviesa sectores montañosos, la localidad de San Juan y el Estero El Sauce, lo que implica la construcción de estructuras y viaductos de importancia, para empalmar finalmente en el actual Enlace Reuss, el cual deberá ampliarse a un enlace tipo trébol que permitirá dar solución a todos los movimientos y conexiones con el camino de acceso al Puerto de San Antonio y calles de servicio que existen o que se proyectan en ambos costados de la vía de acceso al referido puerto. En las inmediaciones del cruce con la localidad de San Juan, se prevé una conexión directa entre la Variante San Juan y la Ruta G-904.
    Dentro de las obras a ejecutar en ambos sectores, también se considera la construcción de puentes e intersecciones a desnivel, la incorporación de paraderos de transporte público asociado a pasarelas peatonales, teléfonos de emergencia, mejoramiento de los sistemas de saneamiento y drenaje, la implementación de elementos de control y seguridad vial del camino, iluminación, paisajismos, entre otras obras que permitirán mitigar las principales deficiencias que presenta esta ruta.
    El proyecto considera la conservación y el mantenimiento de las obras de los sectores A y B definidos en la Tabla "Sectores y subsectores del Proyecto" precedente, durante todo el periodo que dure la concesión tanto de las obras nuevas a ejecutar por la Sociedad Concesionaria como de las preexistentes que se indican en el artículo 1.8.7 de las Bases de Licitación, de acuerdo a los Estándares Técnicos y Niveles de Servicio exigidos en las Bases de Licitación. Una vez autorizada la Puesta en Servicio Provisoria Parcial de las obras de los subsectores 1, 2 y 5, quedarán excluidos del Contrato de Concesión los tramos de la actual Ruta 66 que sean reemplazados por las variantes correspondientes al Subsector respectivo. A partir de ese momento, la conservación de los referidos tramos de la actual Ruta 66 pasará a tuición de la Dirección de Vialidad del Ministerio de Obras Públicas.
    2. Declárase que forman parte integrante del presente decreto supremo de Adjudicación para la concesión de la obra pública fiscal denominada "Concesión Ruta 66, Camino de la Fruta", las Bases de Licitación aprobadas por resolución DGOP Nº 65 de 19 de junio de 2017; las Circulares Aclaratorias Nº1 aprobada por resolución DGOP Nº11 de 1 de febrero de 2018; Nº2 aprobada por resolución DGOP Nº14 de 12 de febrero de 2018; Nº3 aprobada por resolución DGOP (exenta) Nº576 de 12 de febrero de 2018; Nº4 aprobada por resolución DGOP Nº22 de 27 de febrero de 2018; Nº5 aprobada por resolución DGOP Nº74 de 9 de julio de 2018; Nº6 aprobada por resolución DGC Nº16 de 30 de agosto de 2018; Nº7 aprobada por resolución DGC Nº40 de 26 de noviembre de 2018; Nº8 aprobada por resolución DGC Nº4 de 22 de enero de 2019; Nº9 aprobada por resolución DGC Nº5 de 5 de febrero de 2019; Nº10 aprobada por resolución DGC Nº20 de 8 de mayo de 2019; y Nº11 aprobada por resolución DGC (exenta) Nº1.476 de 14 de mayo de 2019; así como las Ofertas Técnica y Económica presentadas por el Grupo Licitante Adjudicatario "Consorcio Sacyr", en la forma aprobada por el Ministerio de Obras Públicas.
    3. En caso de discrepancia en la interpretación del Contrato de Concesión, primará lo dispuesto en las Bases de Licitación y sus Circulares Aclaratorias por sobre lo establecido en la Oferta presentada por el Adjudicatario de la Concesión, salvo el caso en que ésta contenga aspectos superiores a lo exigido en las Bases de Licitación y sus Circulares Aclaratorias, lo que será calificado por el Director General de Concesiones.
    4. Forman parte del Contrato de Concesión las disposiciones pertinentes de los siguientes cuerpos legales:
    a) El DS MOP Nº900 de 1996, que fija el texto refundido, coordinado y sistematizado del DFL MOP Nº164 de 1991, Ley de Concesiones de Obras Públicas, y sus modificaciones;
    b) El DS MOP Nº956 de 1997, Reglamento de la Ley de Concesiones de Obras Públicas, y sus modificaciones; y,
    c) El DFL MOP Nº850 de 1997, que fija el texto refundido, coordinado y sistematizado de la Ley Nº 15.840 de 1964, Orgánica del Ministerio de Obras Públicas, y del DFL Nº206 de 1960, Ley de Caminos, y sus modificaciones.
    En todo caso, ante cualquier discrepancia en la interpretación de los documentos que conforman las Bases de Licitación y la normativa vigente que sea aplicable al Contrato de Concesión, primará lo dispuesto en dicha normativa.
    El Concesionario deberá cumplir con todas las leyes, decretos y reglamentos de la República de Chile vigentes a la fecha de perfeccionamiento del Contrato, que se relacionan con la materia y con todas aquellas normas que se dicten durante su vigencia, de acuerdo a lo establecido en el artículo 1.7.7.1 de las Bases de Licitación.
    5. Forman parte integrante del Contrato de Concesión los siguientes documentos singularizados en los artículos 1.4.1 y 1.4.3 de las Bases de Licitación:
    . Documento Nº1: Llamado a Licitación por Concesión.
    . Documento Nº2: Bases Administrativas.
    . Documento Nº3: Bases Técnicas.
    . Documento Nº4: Bases Económicas.
    . Documento Nº5: Circulares Aclaratorias.
    . Documento Nº6: Manual de Planes de Manejo Ambiental para Obras Concesionadas, elaborado por el Ministerio de Obras Públicas, versión vigente.
    . Documento Nº7: Manual de Manejo de Áreas Verdes para Proyectos Concesionados, elaborado por el Ministerio de Obras Públicas, versión vigente.
    . Documento Nº8: Estudio de Impacto Ambiental Concesión Ruta 66, Camino de la Fruta y sus cuatro Adendas.
    . Documento Nº9: Resolución exenta Nº255/2013 de la Dirección Ejecutiva del Servicio de Evaluación Ambiental, que calificó ambientalmente favorable la construcción del Proyecto Referencial de la Concesión Ruta 66, Camino de la Fruta.
    . Antecedentes Referenciales aceptados totalmente por el Grupo Licitante Adjudicatario en su Oferta Técnica, denominados:
    a) Proyecto Base Ruta 66 - Camino de la Fruta Septiembre 2011.
    b) Diseños Conceptuales Variantes.
    c) Ingeniería Básica Concesión Ruta 66 Camino de la Fruta.
    d) Proyecto Conceptual Reuss.
    e) Diseño Conceptual de Defensas Fluviales y Nuevo Puente Peumo.
    6. El inicio del plazo de la Concesión se contará a partir de la fecha de publicación en el Diario Oficial del presente decreto supremo de Adjudicación del Contrato de Concesión, de acuerdo a lo establecido en el artículo 1.7.5 de las Bases de Licitación.
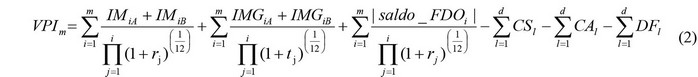
    7. La Concesión, de acuerdo a lo establecido en los artículos 1.7.6, 1.7.6.1 y 1.11.2.1 de las Bases de Licitación, se extinguirá el mes "m" en que se cumpla la siguiente relación:
    .
    Donde el término VPIm, corresponde al Valor Presente de los Ingresos de la Sociedad Concesionaria (expresados en UF), calculado en el mes "m" de Concesión contado desde la fecha de autorización de la primera Puesta en Servicio Provisoria Parcial de las Obras, señalada en el artículo 1.10.1 de las Bases de Licitación (el mes en que se autoriza la primera Puesta en Servicio Provisoria Parcial de las Obras es m=1), y actualizado al mes anterior al de dicha autorización de Puesta en Servicio Provisoria Parcial de las Obras; y el término ITC corresponde a los Ingresos Totales de la Concesión ofertados por el Grupo Licitante Adjudicatario en su Oferta Económica por un valor de UF 20.000.000 (veinte millones de Unidades de Fomento) según se señala en el artículo 3.2 de las Bases de Licitación.
    El valor de VPIm, se calculará mensualmente de acuerdo a la siguiente expresión:
    .
Donde:
      .
    IMiA: Ingresos mensuales percibidos por recaudación de peajes o tarifas (expresados en UF) en el mes "i" de la Etapa de Explotación en el Sector A, sobre la base de la información señalada en el artículo 1.8.6.2 letra e) de las Bases de Licitación.
    IMiB: Ingresos mensuales percibidos por recaudación de peajes o tarifas (expresados en UF) en el mes "i" de la Etapa de Explotación en el Sector B, sobre la base de la información señalada en el artículo 1.8.6.2 letra e) de las Bases de Licitación.
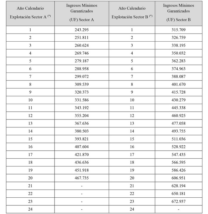
    IMGiA: Pagos a la Sociedad Concesionaria por concepto de Ingresos Mínimos Garantizados (expresados en UF) por el Sector A, de acuerdo a lo indicado en el artículo 1.12.7.1 de las Bases de Licitación, que se hubieren pagado en el mes "i" de la Etapa de Explotación.
    IMGiB: Pagos a la Sociedad Concesionaria por concepto de Ingresos Mínimos Garantizados (expresados en UF) por el Sector B, de acuerdo a lo indicado en el artículo 1.12.7.1 de las Bases de Licitación, que se hubieren pagado en el mes "i" de la Etapa de Explotación.
    rF: Tasa Fija, que para efectos del presente cálculo corresponde a 0,03 (3,0% real anual).
    Ø1: Premio por riesgo, que para efectos del presente cálculo corresponde a 0,02 (2,0% real anual).
    Ø2: Premio por riesgo, que para efectos del presente cálculo corresponde a 0,01 (1% real anual).
    CSl: Pagos de la Sociedad Concesionaria, en el mes "l" de concesión, contado desde el inicio del plazo de la Concesión según lo señalado en el artículo 1.7.5 de las Bases de Licitación (expresados en UF a la fecha de facturación), a las Empresas de Servicios por concepto de Cambio de Servicios Existentes durante la construcción y que corresponda incorporar al valor del VPIm de acuerdo a lo establecido en el artículo 1.8.19.2 de las Bases de Licitación.
    Saldo_FDOi: Corresponde al saldo del Fondo al Desempeño Operacional (expresado en UF), cuando este sea menor que cero, de acuerdo a lo indicado en el artículo 2.4.6.5 de las Bases de Licitación.
    CAl: Pagos de la Sociedad Concesionaria en el mes "l" de concesión, contado desde el inicio del plazo de la concesión según lo señalado en 1.7.5, y que son descontados al valor del VPIm, de acuerdo a lo establecido en 1.12.7.2, ambos artículos de las Bases de Licitación, y que corresponden a las medidas ambientales durante la Etapa de Construcción que superen las UF 530.000 (quinientas treinta mil Unidades de Fomento) y sean iguales o inferiores a UF 750.000 (setecientas cincuenta mil Unidades de Fomento).
    d: Mes en el cual se autoriza la Puesta en Servicio Provisoria de la Totalidad de las Obras, señalada en 1.10.1, contado desde el inicio del plazo de la concesión según lo señalado en 1.7.5, ambos artículos de las Bases de Licitación.
    DFl: Pagos de la Sociedad Concesionaria en el mes "1" de Concesión, contado desde el inicio del plazo de la Concesión según lo señalado en 1.7.5 y que son descontados al valor del VPIm, de acuerdo a lo establecido en 1.12.7.3, ambos artículos de las Bases de Licitación, y que corresponden a los costos de la construcción de las defensas fluviales que superen las UF 800.000 (ochocientas mil Unidades de Fomento) y sean iguales o inferiores a UF 1.000.000 (un millón de Unidades de Fomento).
    Con todo, de acuerdo a lo dispuesto en 1.7.6.2, el Plazo Máximo de la Concesión será de 540 (quinientos cuarenta) meses contados desde el inicio del plazo de Concesión establecido en 1.7.5, ambos artículos de las Bases de Licitación. Si transcurrido dicho plazo máximo, no se hubiere cumplido la ecuación (1) señalada en el presente número, la Concesión se extinguirá por cumplimiento de dicho plazo máximo, conforme a lo establecido en 1.7.6 y 1.11.2.2, ambos artículos de las Bases de Licitación.
    8. De acuerdo a lo dispuesto en el artículo 1.8.7 de las Bases de Licitación, el Ministerio de Obras Públicas entregará al Concesionario la infraestructura preexistente que se encuentre en la Faja Fiscal de la Ruta 66, en la cual se deberán ejecutar las obras mínimas definidas en las citadas Bases de Licitación. Dicha infraestructura se entregará al Concesionario mediante anotación en el Libro de Obras por parte del Inspector Fiscal, en un plazo máximo de 60 (sesenta) días contados desde la fecha de la constitución de la Sociedad Concesionaria de conformidad al artículo 1.7.3, previa suscripción y protocolización del presente decreto supremo de Adjudicación del Contrato de Concesión en conformidad a lo dispuesto en el artículo 1.7.4, ambos de las Bases de Licitación. La Sociedad Concesionaria recibirá la infraestructura preexistente en el estado en que se encuentre en el momento de su entrega y será de su entera responsabilidad, cargo y costo, realizar las obras de mantenimiento de la infraestructura exigidas en los documentos que conforman el Contrato de Concesión.
    9. De acuerdo a lo establecido en 1.9, la Etapa de Construcción de la Concesión se iniciará junto con el inicio del plazo de la Concesión indicado en 1.7.5, ambos artículos de las Bases de Licitación y finalizará una vez autorizada la Puesta en Servicio Provisoria de la Totalidad de las Obras.
    10. La Sociedad Concesionaria, de acuerdo a lo establecido en los artículos 1.9.1.1 y 1.9.1.2 de las Bases de Licitación, deberá elaborar los Proyectos de Ingeniería de Detalle de todas las obras incluidas en las Bases de Licitación y en los Antecedentes Referenciales aceptados en su totalidad por el Grupo Licitante Adjudicatario en su Oferta Técnica, conforme a los Estándares Técnicos establecidos en dichos antecedentes entregados por el Ministerio de Obras Públicas, en las Bases de Licitación y en los demás documentos que forman parte del Contrato de Concesión. El Concesionario sólo podrá iniciar la construcción de aquella parte de la obra que cuente con la aprobación de los Proyectos Viales de Ingeniería correspondientes por parte del Inspector Fiscal y con los terrenos necesarios para la ejecución de las obras, y siempre que cumpla con los demás requisitos establecidos en las Bases de Licitación.
    11. De acuerdo a lo establecido en el artículo 1.9.2.6, el Concesionario sólo podrá iniciar la construcción de las obras correspondientes a cada uno de los subsectores que conforman el Sector A, indicados en la Tabla "Sectores y subsectores del Proyecto" del número 1 del presente decreto supremo, una vez que se haya obtenido la resolución de Calificación Ambiental favorable del Estudio de Impacto Ambiental de las Variantes y, en caso que proceda de conformidad al artículo 1.17, del "Estudio de Impacto Ambiental del trazado alternativo", en conformidad a lo establecido en el artículo 1.8.10.1; se haya entregado por parte del Ministerio de Obras Públicas a la Sociedad Concesionaria, al menos, el 60% de los terrenos a expropiar, de acuerdo a lo indicado en el artículo 1.8.8.3, todos de las Bases de Licitación; y se cumpla con los demás requisitos establecidos en éstas para dar inicio a la ejecución de las obras, debiendo consignar dicho inicio en el Libro de Obras.
    Por su parte, respecto a los subsectores que conforman el Sector B, definidos en la Tabla "Sectores y subsectores del Proyecto" del número 1 del presente decreto supremo, el inicio de la construcción de las obras correspondientes, estará sujeto en cada caso al cumplimiento de las siguientes condiciones:
    a) Subsectores 3 y 4: Una vez que se cuente con los Proyectos de Ingeniería de Detalle aprobados y se cumpla con los demás requisitos establecidos en las Bases de Licitación, debiendo consignar dicho inicio en el Libro de Obras.
    b) Subsector 5: Respecto a las obras contenidas en el Documento Nº9 del artículo 1.4.1, una vez que se cuente con la aprobación de los Proyectos de Ingeniería de Detalle; se haya entregado por parte del Ministerio de Obras Públicas a la Sociedad Concesionaria, al menos, el 60% de los terrenos a expropiar, de acuerdo a lo indicado en el artículo 1.8.8.3, ambos de las Bases de Licitación; y se cumpla con los demás requisitos establecidos en las Bases de Licitación, debiendo consignar dicho inicio en el Libro de Obras.
    c) Subsector 5: Respecto de aquellas obras que se modifican de la variante San Juan, se requerirá contar con la Resolución de Calificación Ambiental favorable para dichas obras, o bien con el respectivo pronunciamiento de la Autoridad Ambiental en caso que éstas no deban ingresar al Sistema de Evaluación de Impacto Ambiental, de acuerdo a lo dispuesto en el artículo 1.8.10.1; se haya entregado por parte del Ministerio de Obras Públicas a la Sociedad Concesionaria, al menos, el 60% de los terrenos a expropiar, de acuerdo a lo indicado en el artículo 1.8.8.3, ambos de las Bases de Licitación y se cumplan con los demás requisitos establecidos en las Bases de Licitación para dar inicio a la ejecución de las obras, debiendo consignar dicho inicio en el Libro de Obras.
    Durante la Etapa de Construcción, el Concesionario emitirá declaraciones de avance tanto para los sectores como para los subsectores indicados en el número 1 del presente decreto supremo. Para el caso de los Sectores y de acuerdo al respectivo Programa de Ejecución de Obras señalado en el artículo 1.9.2.4 de las Bases de Licitación, se deberán acreditar los porcentajes de avance de obras del 30%, 50% y 80%. Para el caso de los subsectores, cada declaración deberá cumplir, al menos, con los porcentajes de avance requeridos y entregarse en los plazos máximos indicados para cada subsector en el referido artículo 1.9.2.6 de las Bases de Licitación, contabilizados a partir del inicio de las obras de cada subsector.
    12. Durante las etapas de Construcción o de Explotación, según sea el caso, el Ministerio de Obras Públicas tendrá la facultad de excluir del contrato de concesión el Sector A, de acuerdo a lo establecido en el artículo 1.17 de las Bases de Licitación, cuando se cumpla cualquiera de las siguientes condiciones:
    - Que el costo de las obras asociadas a las defensas fluviales que deban implementarse en la Variante Peumo - Las Cabras - El Manzano y que sean resultado de los Proyectos de Ingeniería de Detalle establecidos en 2.2.2.10 supere el monto de UF 1.000.000 (un millón de Unidades de Fomento), de acuerdo a lo señalado en 1.12.7.3, ambos artículos de las Bases de Licitación;
    - Que el costo de las medidas ambientales asociadas a la resolución de Calificación Ambiental del Estudio de Impacto Ambiental (EIA) de las Variantes, supere el monto de UF 750.000 (setecientas cincuenta mil Unidades de Fomento), de acuerdo a lo dispuesto en el artículo 1.12.7.2 de las Bases de Licitación;
    - Que hayan transcurrido 30 (treinta) meses contados desde el ingreso del EIA de las Variantes al Servicio de Evaluación Ambiental sin que el MOP hubiera obtenido la respectiva resolución de Calificación Ambiental favorable;
    - Que la Autoridad Ambiental hubiera dictado una resolución de Calificación Ambiental desfavorable a la ejecución de las obras, cualquiera sea el plazo transcurrido desde el ingreso del EIA de las Variantes al Servicio de Evaluación Ambiental, o
    - Que habiendo transcurrido 18 (dieciocho) meses contados desde la dictación de la resolución de Calificación Ambiental del EIA de las Variantes, el Concesionario se encuentre impedido de iniciar o continuar la ejecución de las obras del Sector A por razones que no le sean imputables, en los términos que se indican en el presente número.
    Tratándose del primer y segundo caso, cuando el monto de la valorización de las defensas fluviales o de las medidas ambientales asociadas a la resolución de Calificación Ambiental del EIA de las Variantes, según el caso, supere la cantidad de UF 1.000.000 (un millón de Unidades de Fomento) o UF 750.000 (setecientas cincuenta mil Unidades de Fomento) conforme lo establecido en los artículos 1.12.7.2 número 2 y 1.12.7.3 número 2 de las Bases de Licitación, respectivamente, el MOP podrá excluir el Sector A del Contrato de Concesión o bien asumir el costo por sobre dichos montos.
    Por su parte, en el tercer caso, si transcurridos 30 (treinta) meses contados desde el ingreso del EIA de las Variantes al Servicio de Evaluación Ambiental de conformidad a lo dispuesto en el artículo 1.8.10.1 de las Bases de Licitación, sin que se hubiera obtenido una resolución de Calificación Ambiental favorable, el MOP tendrá la opción de disponer la exclusión del Sector A del contrato de concesión, o bien, si lo estima conveniente en razón de los antecedentes asociados al proceso de evaluación ambiental, por una sola vez, continuar con la tramitación de éste hasta por un plazo máximo de 12 (doce) meses adicionales. El MOP podrá excluir el Sector A del contrato de concesión, si cumplido el plazo de 12 (doce) meses antes señalado, no se cuenta con la Resolución de Calificación Ambiental favorable del EIA de las Variantes. En el cuarto caso, el MOP podrá disponer la exclusión del Sector A, independiente del tiempo transcurrido desde el ingreso del EIA de las Variantes al Servicio de Evaluación Ambiental, cuando la Autoridad Ambiental hubiera dictado una resolución de Calificación Ambiental desfavorable a la ejecución de las obras, habiendo el MOP ejercido todos los medios de impugnación pertinentes, previstos por la institucionalidad ambiental.
    En el quinto caso el MOP podrá disponer la exclusión del Sector A del Contrato de Concesión, si por razones no imputables al Concesionario, habiendo transcurrido 18 (dieciocho) meses contados desde la dictación de la resolución de Calificación Ambiental del EIA de las Variantes, éste se encuentra impedido de iniciar las obras de dicho sector o de continuar su ejecución como consecuencia de la interposición de algún recurso o acción legal ante autoridades competentes. Para estos efectos, la Sociedad Concesionaria, dentro del plazo de 60 (sesenta) días contados desde el vencimiento del plazo antes señalado, deberá comunicar esta circunstancia al Inspector Fiscal, acompañando todos los antecedentes que la acrediten. Con todo, la exclusión del Sector A del Contrato de Concesión por parte del MOP en virtud de esta condición requerirá acuerdo previo de la Sociedad Concesionaria.
    En cualquiera de los casos indicados previamente, el MOP podrá disponer la exclusión del Sector A del Contrato de Concesión, sólo en cuanto la Sociedad Concesionaria no proponga un nuevo trazado alternativo para el tramo comprendido entre el Dm 23.500 y Dm 44.300, o habiéndolo presentado éste no sea aceptado por el MOP. Para estos efectos, el MOP comunicará a la Sociedad Concesionaria su intención de excluir del contrato el Sector A mediante anotación en el Libro de Obras, otorgando al Concesionario un plazo no superior a 12 (doce) meses contados desde dicha constancia a fin que éste, a su entero cargo, costo y responsabilidad, someta a la aprobación del Inspector Fiscal el respectivo Proyecto de Ingeniería de Detalle y los Antecedentes de Expropiaciones que correspondan, el cual deberá contener un Presupuesto detallado de las obras, así como también deberá entregar un Presupuesto detallado de la Variante Peumo - Las Cabras - El Manzano, considerando el nuevo trazado alternativo para el tramo comprendido entre los Dm 23.500 y 44.300. Los plazos de revisión, corrección de observaciones y aprobación de dicho Proyecto y Presupuestos, se regirán por lo dispuesto en el undécimo párrafo del artículo 1.9.1.2 de las Bases de Licitación. El Proyecto de Ingeniería de Detalle y los Antecedentes de Expropiaciones se deberán realizar conforme a las normas y criterios de diseño y presentación de los antecedentes, según lo señalado en los artículos 2.2.1, 2.2.2 y 2.2.5 de las Bases de Licitación.
    Todos los estudios de ingeniería, así como las obras definidas en ellos, serán valorados a los Precios Unitarios Oficiales, según el Anexo Nº3 de las Bases de Licitación. Los precios unitarios de cada uno de los ítems involucrados en las obras que no se encuentren definidos en el referido Anexo Nº3, serán determinados de común acuerdo entre el Concesionario y el MOP. A falta de acuerdo, total o parcial, las discrepancias podrán ser sometidas por las partes a consideración del Panel Técnico. Si la recomendación del Panel Técnico no fuese acogida por las partes, la controversia podrá ser sometida a la Comisión Arbitral o Corte de Apelaciones de Santiago según lo establecido en el artículo 36 bis de la Ley de Concesiones.
    Si el presupuesto de la Variante Peumo - Las Cabras - El Manzano, considerando el nuevo trazado para el tramo comprendido entre los Dm 23.500 y 44.300, resulta inferior al presupuesto del trazado de la Variante Peumo - Las Cabras - El Manzano contenido en el Proyecto de Ingeniería señalado en 1.9.1.2, la diferencia producida entre ambos presupuestos se destinará a descontar del valor de las medidas ambientales que surjan de la Resolución de Calificación Ambiental del EIA del trazado alternativo establecido en 1.8.10.1, en tanto supere el monto de UF 530.000 (quinientas treinta mil Unidades de Fomento), de la forma en que se indica a continuación:
    . En el evento que el costo de las medidas ambientales supere el monto UF 750.000 (setecientas cincuenta mil Unidades de Fomento), se deberá descontar la diferencia producida entre ambos presupuestos. En caso que dicha diferencia no cubra el monto total excedente, el MOP tendrá la opción de asumir el costo por sobre dicho monto o bien disponer la exclusión del Sector A del Contrato de Concesión de acuerdo a lo dispuesto en el presente número.
    . En el evento que se haya cubierto la totalidad del excedente por sobre UF 750.000 (setecientas cincuenta mil Unidades de Fomento), se procederá a descontar la diferencia del monto entre las UF 530.000 (quinientas treinta mil Unidades de Fomento) y UF 750.000 (setecientas cincuenta mil Unidades de Fomento). En caso que dicha diferencia no cubra el monto total excedente, esta diferencia será descontada al cálculo del VPIm según lo establecido en el artículo 1.7.6.1 de las Bases de Licitación.
    Si, una vez cubiertos los costos de las medidas ambientales según lo indicado precedentemente, existe aún una diferencia respecto de las UF 530.000 (quinientas treinta mil Unidades de Fomento), el Concesionario deberá reinvertir en la Concesión el 100% de dicha diferencia, materializando obras de acuerdo a lo que instruya el Inspector Fiscal, previo Visto Bueno por parte del Director General de Concesiones, mediante documento escrito dirigido a la Sociedad Concesionaria.
    Si como resultado de los análisis de los costos de las obras asociadas a las defensas fluviales, el presupuesto de la Variante Peumo - Las Cabras - El Manzano considerando el nuevo trazado para el tramo comprendido entre los Dm 23.500 y 44.300, resulta superior al presupuesto del trazado de la Variante Peumo - Las Cabras - El Manzano contenido en el Proyecto de Ingeniería señalado en 1.9.1.2, el MOP tendrá la opción de asumir este costo adicional, reembolsando a la Sociedad Concesionaria lo que corresponda dentro del plazo establecido en 1.12.7.3 número 2, ambos artículos de las Bases de Licitación una vez ejecutadas las obras o bien excluir las obras del Sector A del contrato de concesión.
    Si como resultado de la obtención de la Resolución de Calificación Ambiental del EIA tramitado favorablemente por el Servicio de Evaluación Ambiental, el presupuesto de la Variante Peumo - Las Cabras - El Manzano considerando el nuevo trazado para el tramo comprendido entre el Dm 23.500 y el Dm 44.300, resulta superior al presupuesto del trazado de la Variante Peumo - Las Cabras - El Manzano contenido en el Proyecto de Ingeniería señalado en 1.9.1.2, el MOP tendrá la opción de asumir este costo adicional, reembolsando a la Sociedad Concesionaria lo que corresponda una vez ejecutadas las obras dentro del plazo establecido en 1.12.7.2 número 2, ambos artículos de las Bases de Licitación, o bien excluir las obras del Sector A del contrato de concesión.
    No obstante que el proyecto de ingeniería de detalle del nuevo trazado alternativo para el tramo comprendido entre el Dm 23.500 y el Dm 44.300 se encuentre aprobado por el Inspector Fiscal, si transcurridos 30 (treinta) meses contados desde el ingreso del EIA del trazado alternativo al Servicio de Evaluación Ambiental de conformidad a lo dispuesto en el artículo 1.8.10.1 de las Bases de Licitación, sin que se hubiera obtenido una Resolución de Calificación Ambiental favorable, el MOP tendrá la opción de disponer la exclusión del Sector A del Contrato de Concesión, o bien, si lo estima conveniente en razón de los antecedentes asociados al proceso de evaluación ambiental, por una sola vez, continuar con la tramitación de éste hasta por un plazo máximo de 12 (doce) meses adicionales. El MOP podrá excluir el Sector A del Contrato de Concesión, si cumplido el plazo de 12 (doce) meses antes señalado, no se cuenta con la Resolución de Calificación Ambiental favorable del EIA del trazado alternativo.
    Sin perjuicio de lo anterior, la Sociedad Concesionaria podrá presentar al MOP un nuevo trazado alternativo para el tramo comprendido entre el Dm 23.500 y Dm 44.300, si como resultado de la valorización de las medidas ambientales durante la elaboración del EIA de las Variantes de acuerdo a lo establecido en el artículo 1.8.10.1 de las Bases de Licitación, antes de su ingreso al Sistema de Evaluación de Impacto Ambiental o durante el proceso de evaluación ambiental una vez que el Servicio de Evaluación Ambiental emita un primer Informe Consolidado de Aclaraciones, Rectificaciones o Ampliaciones (ICSARA), el costo de las medidas ambientales supera el monto total de UF 750.000 (setecientas cincuenta mil Unidades de Fomento), siendo de su entero cargo, costo y responsabilidad tanto el desarrollo de los estudios como la ejecución de las obras una vez que el MOP apruebe el respectivo proyecto. Para las valorizaciones de las medidas ambientales antes señaladas, se aplicará lo establecido en el tercer párrafo del artículo 1.12.7.2 de las Bases de Licitación.
    La decisión de excluir el Sector A del contrato de concesión de conformidad con lo señalado precedentemente, será comunicada por el Director General de Concesiones a la Sociedad Concesionaria y a los acreedores prendarios, mediante carta certificada, la que indicará la fecha en la que deberá dejar de desarrollar los estudios u obras relacionadas con los Mejoramientos y/o Rehabilitación de la infraestructura preexistente del Sector A.
    El MOP pagará a la Sociedad Concesionaria una indemnización (IND) en UF dentro del plazo de 18 (dieciocho) meses contados desde la comunicación del Director General de Concesiones antes señalada. Este monto de indemnización se entenderá como avaluación anticipada de perjuicios, no teniendo derecho la Sociedad Concesionaria a indemnizaciones o compensaciones adicionales por este concepto.
    Para efectos de lo anterior, dentro de los 20 (veinte) días siguientes a la fecha de la comunicación a que se refiere el párrafo décimo tercero del presente número, el Concesionario deberá presentar, mediante carta certificada dirigida al Director General de Concesiones, los antecedentes fidedignos de que disponga a esa fecha y que permitan justificar el monto de la indemnización, los cuales deberán presentarse respaldados en registros contables. Estos antecedentes deberán ser completados a la fecha en que el Concesionario deje de desarrollar los estudios u obras relacionadas con los Mejoramientos y/o Rehabilitación de la infraestructura preexistente del Sector A. En caso que el Concesionario no cumpliere en tiempo y forma con esta obligación, el monto de la indemnización se determinará por el MOP en base a los antecedentes disponibles con que este Ministerio contare.
    Los antecedentes deberán incluir lo siguiente:
    . Para la definición del Valor Futuro de las inversiones, deberá considerar:   
    .
    donde:
    INVi: Corresponderá a las inversiones que efectivamente se hayan realizado en el mes "i" para la prestación del servicio de construcción del Sector A conforme al Contrato de Concesión, debidamente acreditadas en su monto y efectividad, valorizadas en UF, excluidos los gastos financieros.
    CCi: Corresponderá al total de la inversión facturada al MOP en el mes "i" por el servicio de construcción del Sector A que haya realizado la Sociedad Concesionaria y para la mantención y conservación de la infraestructura preexistente del Sector A señalada en el artículo 1.8.7 de las Bases de Licitación, valorizado en UF. Se reconocerá el 20% del total de remuneraciones del personal de la Sociedad Concesionaria.
    PSCi: Pagos de la Sociedad Concesionaria al MOP realizados el mes "i" asociados al Sector A, según lo establecido en las Bases de Licitación, valorizados en UF, y que no sean parte del concepto de facturación del servicio de construcción.
    PMOPi: Pagos del MOP a la Sociedad Concesionaria realizados el mes "i", por concepto de IVA del servicio de construcción o cualquier otro concepto contemplado en las Bases de Licitación asociados al Sector A, valorizados en UF.
    . El Valor Futuro de inversiones (VFinv) a la fecha de la comunicación del Director General de Concesiones a la Sociedad Concesionaria, se calculará de acuerdo a lo siguiente:
      .
    donde:
    n: Mes durante la Etapa de Construcción a la fecha de la comunicación del Director General de Concesiones a la Sociedad Concesionaria, contado desde la publicación del decreto supremo de Adjudicación en el Diario Oficial.
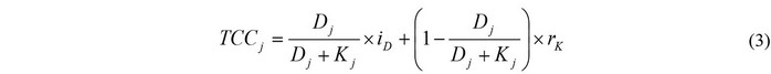
    TCCj: Tasa de Costo de Capital Ponderado mensual relevante en UF en el mes "j", que para estos efectos se calculará de la siguiente manera:
    .
    donde:
    Dj: Corresponde al monto de deuda utilizado por la Sociedad Concesionaria para el financiamiento de las inversiones realizadas el mes "j", de acuerdo a sus registros contables.
    Kj: Corresponde al monto de capital de la Sociedad Concesionaria en el mes "j", de acuerdo a sus registros contables.
    iD: Corresponde a la tasa de interés mensual de la deuda contraída por la Sociedad Concesionaria en UF, que equivale a los intereses pagados y/o devengados sobre la deuda en porcentaje. En caso que el Concesionario cuente con más de un tipo de financiamiento, corresponderá al total de los intereses pagados y/o devengados sobre el total de la deuda, en porcentaje. Para efectos de su determinación, tanto la deuda como los intereses deberán transformarse primero a pesos chilenos, en caso que estén expresados en otra moneda, de acuerdo a la publicación efectuada por el Banco Central de Chile, utilizando el valor de la moneda de la fecha correspondiente al día de la comunicación del Director General de Concesiones a la Sociedad Concesionaria o la última disponible anterior a esa fecha. Posteriormente, la deuda y los intereses, en caso que corresponda, deberán transformarse a UF de acuerdo a la información publicada por el Banco Central de Chile, para el día de la comunicación del Director General de Concesiones a la Sociedad Concesionaria.
    rk: Corresponde al retorno al capital mensual de la Sociedad Concesionaria, el cual para los efectos del Contrato de Concesión, será de un 0,8% mensual.
    Para el respaldo de la tasa de financiamiento efectivamente aplicada y el nivel de apalancamiento, la Sociedad Concesionaria deberá anexar los contratos de financiamiento correspondientes.
    De esta forma, el monto de indemnización por exclusión del Sector A (IND), se calculará de acuerdo a la siguiente fórmula:
      .
    donde:
      .
    En que:
    rf: Tasa Fija, que para efectos del presente cálculo corresponde a 0,03 (3% real anual).
    Ø: Premio por riesgo, que para efectos del presente cálculo corresponde a 0,01 (1% real anual).
    Z: Número de meses entre la fecha de la comunicación del Director General de Concesiones a la Sociedad Concesionaria y la fecha efectiva de pago.
    A falta de acuerdo, total o parcial, las discrepancias podrán ser sometidas por las partes a consideración del Panel Técnico. Si la recomendación del Panel Técnico no fuese acogida por las partes, la controversia podrá ser sometida a la Comisión Arbitral o Corte de Apelaciones de Santiago según lo establecido en el artículo 36 bis de la Ley de Concesiones.
    El Director General de Concesiones, dentro de los 8 (ocho) meses contados desde la comunicación a que se refiere el párrafo décimo tercero del presente número, propondrá al Ministro de Obras Públicas la exclusión del Sector A del contrato de concesión, la cual deberá formalizarse mediante la dictación del correspondiente Decreto Supremo fundado en el cual se dejará constancia de las compensaciones económicas que procedan en favor de la Sociedad Concesionaria y que corresponderá al monto IND calculado en virtud de lo dispuesto en el presente número. Este decreto deberá llevar la firma del Ministro de Hacienda y cumplir las demás formalidades establecidas en el artículo 8 de la Ley de Concesiones.
    A partir de la fecha de publicación en el Diario Oficial del referido decreto, cesarán todos los derechos y obligaciones de la Sociedad Concesionaria respecto del Sector A, en particular la obligación establecida en el artículo 1.8.7 de las Bases de Licitación, relativa a la mantención y conservación de la infraestructura preexistente de dicho sector, procediendo el Concesionario a devolver al MOP, mediante anotación en el Libro de Obras la respectiva infraestructura. Lo anterior es sin perjuicio del pago que el MOP deba efectuar a la Sociedad Concesionaria de conformidad a lo indicado en el presente número.
    La Garantía de Construcción del Sector A será devuelta a la Sociedad Concesionaria dentro del plazo de 60 (sesenta) días contados desde la publicación en el Diario Oficial del decreto supremo que excluye dicho sector del Contrato de Concesión.
    13. Conforme a lo indicado en el artículo 2.1 de las Bases de Licitación, el proyecto "Concesión Ruta 66, Camino de la Fruta" consiste en el mejoramiento y conservación de aproximadamente 141,1 km de vialidad interurbana, iniciándose en el cruce con la Ruta 5 Sur (Sector Pelequén) en la Región de O'Higgins, cruzando parte de la Región Metropolitana y finalizando en el camino de Acceso al Puerto de San Antonio en la Región de Valparaíso.
    El Proyecto de la Ruta 66, considera en los tramos de mayor densidad poblacional, el desarrollo de variantes que difieren del actual trazado, atribuyendo un mayor estándar a la ruta, al desplazar ésta al costado norte o al costado sur de la actual vía, con el objeto de evitar el impacto que generarían las obras sobre las viviendas y población aledañas a la actual Ruta 66.
    Administrativamente, el proyecto se ha dividido en dos sectores, según se indica en el número 1 del presente decreto supremo.
    El Sector A se conforma por los subsectores 1 y 2, se desarrolla entre el cruce con la Ruta 5 (Pelequén), Dm 0.000 y El Manzano, Dm 66.108 aproximadamente.
    El Subsector 1 en sus inicios atraviesa las localidades de Limahue, La Capilla, Malloa, Requegua, Corcolén, San Vicente de Tagua Tagua y Tunca Abajo. Contempla el mejoramiento de la actual ruta y la ampliación a segundas calzadas entre el Dm 2.046 y el Dm 12.300 aproximadamente, la construcción de la Variante Pelequén - Limahue en doble calzada entre el Dm 0.000 y el Dm 2.046 y la Variante San Vicente - Peumo en calzada simple entre el Dm 12.300 y el Dm 23.500 aproximadamente, en donde los tramos comprendidos en la Ruta 66 entre el Dm 12.300 y el Dm 14.400 aprox., entre el Dm 15.700 y el Dm 18.000 aprox. y entre el Dm 19.100 y el Dm 21.600 correspondiente a los enlaces Corcolén, San Vicente y Tunca Abajo, quedarán construidos en doble calzada en su vía troncal. Para el caso específico de los enlaces San Vicente y Tunca Abajo, deberán ceñirse por el perfil tipo que se define para cada estructura en particular en la Tabla Nº31 "Estructuras a Desnivel" del artículo 2.3.1.5 de las Bases de Licitación.
    Se prevé la construcción de intersecciones a desnivel del tipo enlace en Pelequén Oriente, Limahue (sector Viña Morandé), Malloa, Requegua, Corcolén, San Vicente de Tagua Tagua y Tunca Abajo y para el actual enlace Pelequén, se contemplan obras de mejoramiento y ampliación para adecuarlo a la nueva condición que impondrá la variante Pelequén - Limahue. Para mantener la continuidad vial de los caminos públicos o prediales que se vean afectados por el proyecto, se ha previsto la construcción de estructuras a desnivel sin conexión a la ruta para estos fines.
    El Subsector 2, de 42,61 km de longitud, atraviesa las localidades de Peumo, Codao, La Rosa, Las Cabras, Cabaña Blanca, Santa Julia, El Carmen, El Tabón y El Manzano, y se prevé una variante en calzada simple entre el Dm 23.500 y el Dm 66.108. Aproximadamente 24,5 km de esta variante, se desarrollan por el norte del río Cachapoal, entre el Dm 24.400 y el Dm 48.900 aproximadamente, para después tomar rumbo nor-poniente, cruzar la actual Ruta 66, continuar por el sector de Santa Julia - Las Quiscas - Cuesta El Guanaco, para empalmar finalmente, en el sector de El Manzano en el Dm 66.108.
    Se prevé la construcción de intersecciones a desnivel del tipo enlace en el acceso a Pichidegua, Las Cabras, Santa Julia, Las Quiscas, Los Aromos y El Manzano. Para mantener la continuidad vial de los caminos públicos o prediales que se vean afectados por la Variante Peumo - Las Cabras - El Manzano, se ha previsto la construcción de un número importante de estructuras a desnivel sin conexión a la ruta para estos fines.
    Una de las obras relevantes del Subsector 2, lo constituyen las obras de protección de riberas que deberán proyectarse y construirse en ambas riberas del río Cachapoal entre el puente Peumo y el puente Las Cabras, como consecuencia del trazado borde río, según lo determine el estudio hidráulico que forma parte del proyecto de ingeniería de detalle que deberá desarrollar la Sociedad Concesionaria.
    El Sector B comprende los subsectores 3, 4 y 5. El Subsector 3, de 28,20 km de longitud aproximadamente, se desarrolla sobre la actual traza vial de la Ruta 66 entre el Puente El Durazno y el Cruce Las Arañas, Dm 63.800 al Dm 92.000 aproximadamente. Las principales obras a considerar son, el mejoramiento geométrico en planta y en alzado de la ruta actual, además de obras tales como el ensanche de puentes y estructuras existentes, la construcción de pistas para el tránsito lento de vehículos pesados en sectores de pendientes pronunciadas (cuesta San Vicente). El único sector poblado que existe en torno a la Ruta 66 en este Subsector, corresponde a la localidad de Santa Inés, donde se ha previsto la construcción de calles de servicio y ciclovías y regulación de accesos e intersecciones a nivel.
    Entre el término del Subsector 3 y la parte inicial del Subsector 4 (Dm 92.200 aprox.), se deberá construir el Enlace Las Arañas, que entre otra obras, considera la rectificación del actual trazado de la Ruta 66 en el sector del cruce Las Arañas en una extensión de 1,3 km aprox., la construcción de una rotonda en las inmediaciones del actual Cruce Las Arañas que incluye dos pasos a desnivel, una ciclovía de 4,4 km aprox. por el costado derecho de la ruta entre el Cruce Las Arañas y el acceso a San Pedro y la incorporación de una pasarela peatonal y paradas de buses en ambos sentidos de la vía en las inmediaciones del Liceo Municipal de San Pedro.
    El Subsector 4, que tiene una longitud de 31,70 km aproximadamente, se desarrolla sobre la Ruta 66 entre el término del área de influencia del enlace Las Arañas, Dm 92.200 aprox. y las inmediaciones de la Planta Avícola Vista Hermosa, Dm 123.900. Entre las obras a considerar está el mejoramiento geométrico en planta y en alzado de la ruta actual, el ensanche de puentes y estructuras existentes, la construcción de un enlace en doble calzada en el acceso a Rapel y la incorporación de pistas lentas para el tránsito pesado en tramos de pendientes pronunciadas. En el sector del acceso a Quincanque, se considera la construcción de una variante en calzada simple de 2,0 km aprox., que permitirá mejorar a desnivel esta actual intersección de la Ruta 66. En la Ruta 66 entre el Dm 121.088 (Las Brisas de Santo Domingo) y el Dm 123.900 (Planta Avícola Vista Hermosa), en una extensión aproximada de 2,81 km, se contempla la rehabilitación y el mejoramiento de la vía existente y la ampliación a segundas calzadas.
    El Subsector 5 contempla la construcción de la Variante San Juan, que tiene una longitud aproximada de 15,07 km, que permitirá una conexión directa entre la Ruta 66, el acceso al Puerto de San Antonio y la Ruta 78. El inicio de esta variante se ubica en la localidad denominada Las Brisas de Santo Domingo y concluye en el camino de Acceso al Puerto de San Antonio, en el enlace Reuss, el cual deberá ampliarse a un enlace tipo trébol completo, para cumplir con los requerimientos de la concesión. La Variante San Juan está prevista en calzada bidireccional, con pistas lentas para el tránsito pesado en toda su extensión. Se considera la construcción de cuatro viaductos, un enlace en Las Brisas de Santo Domingo, un enlace en la localidad de San Juan que permitirá la conexión entre la Variante San Juan y la Ruta G-904, y el mejoramiento y ampliación del actual enlace Reuss.
    El proyecto considera además la construcción de pasarelas peatonales, paraderos de transporte público, regulación de intersecciones y accesos a nivel, ampliación de bermas, calles de servicio en los sectores donde se requiere controlar la fricción lateral, ciclovías, mejoramiento de los sistemas de saneamiento y drenaje, la implementación de elementos de control y seguridad vial del camino, iluminación, paisajismo, teléfonos de emergencia, áreas de servicio generales y atención de emergencia y Plazas de Peaje en distintos puntos del trazado, entre otras obras.
    Como parte de las principales obras que conforman el Proyecto, podemos mencionar las siguientes:
    a) Ampliación a segundas calzadas en la Ruta 66;
    b) Construcción de una variante en doble calzada en el sector de Pelequén - Limahue;
    c) Construcción de variantes en calzada simple en las comunas de San Vicente, Peumo y Las Cabras, salvo en el área de influencia de los enlaces Pichidegua, Las Cabras, Santa Julia y El Manzano, los cuales quedarán construidos en doble calzada en su vía troncal, en donde los accesos al área de influencia de los enlaces antes indicados, se construirán exclusivamente con una pista de 4,5 m de ancho por calzada, bermas externas de 2,5 m e internas de 1,0 m de ancho y una mediana de 11,0 m de ancho que permita a futuro ampliar la doble calzada sin afectar lo preexistente. En el sector de paso por la estructura, la doble calzada deberá ceñirse por el perfil tipo que se define para cada estructura en particular en la Tabla Nº31 "Estructuras a Desnivel" del artículo 2.3.1.5 de las Bases de Licitación;
    d) Construcción de pistas lentas para el tránsito pesado;
    e) Construcción de intersecciones a nivel;
    f) Construcción de calles de servicio;
    g) Construcción de ciclovías;
    h) Construcción intersecciones desniveladas (enlaces);
    i) Construcción de estructuras a desnivel, pasos inferiores y pasos superiores;
    j) Construcción de pasos interprediales superiores e inferiores;
    k) Construcción de puentes nuevos y viaductos;
    l) Mejoramiento y rehabilitación de la calzada preexistente en Ruta 66;
    m) Ampliación y mejoramiento de bermas preexistentes en Ruta 66;
    n) Mejoramiento, rehabilitación, ampliación y/o reconstrucción de 9 (nueve) puentes preexistentes;
    o) Ampliación y Mejoramiento de los Enlaces Pelequén y Reuss;
    p) Construcción de pasarelas peatonales;
    q) Construcción de paraderos de buses;
    r) Construcción de veredas y circuitos peatonales;
    s) Construcción de cierros perimetrales, cercos de deslindes y cierros de protección;
    t) Obras de iluminación en enlaces, intersecciones a desnivel, intersecciones a nivel, calles de servicio, pasarelas peatonales, paradas de buses y circuitos peatonales, teléfonos SOS;
    u) Mejoramiento, construcción y ampliación de los Sistemas de Saneamiento y Drenaje;
    v) Construcción del Sistema de Señalización y Seguridad Vial;
    w) Mejoramiento de los accesos privados a nivel y de los accesos a caminos públicos que acceden a la Ruta 66;
    x) Obras de Paisajismo;
    y) Construcción de Plazas de Peaje Troncales de acuerdo a lo establecido en el artículo 2.2.2.23 de las Bases de Licitación;
    z) Construcción de 2 (dos) Áreas de Servicios Generales y Atención de Emergencias, una en cada Sector señalado en la Tabla "Sectores y subsectores del Proyecto" del número 1 del presente decreto supremo;
    aa) Construcción de una Plaza de Pesaje fija con dos estaciones que permita controlar los pesos máximos y dimensiones de los vehículos en ambos sentidos del tránsito de la Ruta 66;
    bb) Conservación o mantención de la totalidad de las obras comprendidas en los sectores y subsectores de la Ruta 66 definidos en la Tabla "Sectores y subsectores del Proyecto" del número 1 del presente decreto supremo, durante todo el período de duración de la Concesión, incluyendo infraestructura, instalaciones, equipamiento y sistemas;
    cc) Implementación del Sistema de Cobro por Derecho de Paso;
    dd) Construcción de variante en calzada simple en el Subsector 5, denominada Variante San Juan que considera terceras pistas para el tránsito pesado en toda su extensión;
    ee) Construcción de las siguientes variantes en calzada simple: En el eje de conexión Ruta 66 actual - enlace San Vicente, y en eje de conexión camino vecinal - Variante San Juan - Ruta G-904.
    14. De acuerdo a lo establecido en el artículo 2.2.1 de las Bases de Licitación, los Proyectos de Ingeniería de Detalle que debe confeccionar la Sociedad Concesionaria deberán cumplir, según se indique para cada especialidad o situación, los Estándares Técnicos contenidos en las Bases Técnicas, en la Oferta Técnica del Grupo Licitante Adjudicatario, en la documentación técnica vigente, ya sean normas oficiales o documentos de diseño, según se indique en cada caso.
    En términos generales, para el desarrollo del estudio, el Concesionario deberá considerar las siguientes normas, recomendaciones, manuales y especificaciones de diseño:
    . Manual de Carreteras de la Dirección de Vialidad del Ministerio de Obras Públicas. Volúmenes 2 al 9, con las excepciones de su uso que se indican en las Bases de Licitación.
    . Normas Chilenas del Instituto Nacional de Normalización (INN).
    . Manual de Señalización de Tránsito, aprobado por DS Nº 78, de 2012, del Ministerio de Transportes y Telecomunicaciones.
    . Para el diseño de Puentes y Estructuras Afines, regirán los Estándares y Normas indicadas en el capítulo 3.1000 del Manual de Carreteras, Volumen Nº 3 y las disposiciones de la AASHTO LRFD Bridges Design Specifications.
    . Normas de la Superintendencia de Electricidad y Combustibles (SEC).
    . Ley General de Urbanismo y Construcciones; Ordenanza General de la Ley General de Urbanismo y Construcciones; y los Instrumentos de Planificación Territorial (Planes Reguladores Comunales e Intercomunales) correspondientes al territorio de emplazamiento del Proyecto.
    . Ley Nº 20.422 que establece normas sobre igualdad de oportunidades e inclusión social de personas con discapacidad. Título IV, Párrafo 1º. Medidas de Accesibilidad.
    . Instructivo para el Diseño de la Señalización Informativa en Caminos Públicos de la Subdirección de Mantenimiento de la Dirección de Vialidad del Ministerio de Obras Públicas.
    . Las Bases de Licitación y sus Circulares Aclaratorias.
    . Manual de Vialidad Urbana: Recomendaciones para el diseño de elementos de infraestructura vial urbana (REDEVU), del Ministerio de Vivienda y Urbanismo.
    . Manual de Vialidad Ciclo-Inclusiva y Manual de Construcción de Ciclovías, ambos del Ministerio de Vivienda y Urbanismo.
    . Normas vigentes de la Superintendencia de Servicios Sanitarios (SISS).
    . Especificaciones técnicas generales y particulares de las empresas sanitarias.
    . Manual de Manejo de Áreas Verdes para Proyectos Concesionados, elaborado por el Ministerio de Obras Públicas.
    . Manual de Diseño Pasivo y Eficiencia Energética en Edificios Públicos, de la Dirección de Arquitectura del Ministerio de Obras Públicas.
    . Términos de Referencia Estandarizados con Parámetros de Eficiencia Energética y Confort Ambiental, y 10 Guías Técnicas de Apoyo, de la Dirección de Arquitectura del Ministerio de Obras Públicas.
    . Documentos denominados "Requerimientos Mínimos para la Elaboración de un Estudio de Expropiaciones a Nivel de Proyecto Definitivo" y "Requerimientos Mínimos para una Estimación de Costos de Expropiaciones", elaborados por el Ministerio de Obras Públicas.
    . Manual de Planes de Manejo Ambiental para Obras Concesionadas, elaborado por el Ministerio de Obras Públicas.
    . Instructivo de Pesaje Móvil en Rutas Concesionadas, elaborado por el Departamento de Pesaje de la Dirección de Vialidad del Ministerio de Obras Públicas.
    . Reglamento de Instalaciones Domiciliarias de Agua Potable y de Alcantarillado, aprobado por DS Nº 50, de 2002, del Ministerio de Obras Públicas.
    . Instructivo de Diseño Áreas para Detención de Emergencia para Teléfonos S.O.S., del Ministerio de Obras Públicas.
    . Esquema de Pista para Equipo Estadístico de Peso.
    . Manual de Vallas Camineras del Ministerio de Obras Públicas.
    . Documentos Técnicos asociados al Sistema Electrónico de Cobro del Ministerio de Obras Públicas. Entre estos se encuentran:
- ST1 - Sistemas de Cobro Electrónico y Otras Aplicaciones: "Especificación para la Interoperabilidad en la Transacción Antena - Transponder".
- ST2 - Sistemas de Cobro Electrónico y Otras Aplicaciones: "Pruebas de Conformidad con la Especificación para la Interoperabilidad en la Transacción Antena - Transponder".
- ST3 - Sistemas de Cobro Electrónico y Otras Aplicaciones: "Gestión de las Claves de Seguridad".
- ST4 - Sistemas de Cobro Electrónico y Otras Aplicaciones: "Especificación para los Parámetros Mínimos de la Transacción de Interoperabilidad".
- ST5 - Sistemas de Cobro Electrónico y Otras Aplicaciones: "Especificaciones Registro Nacional de Usuarios de Telepeaje".
- ST6 - Sistemas de Cobro Electrónico y Otras Aplicaciones: "Generación de Claves Maestras. Interfaz de Exportación de Claves".
    . Instructivo Áridos Oct 2014, Dirección de Obras Hidráulicas del Ministerio de Obras Públicas.
    . Aspectos Operativos y Especificaciones Técnicas Plazas de Pesajes en Rutas Concesionadas, elaborado por la Dirección de Vialidad del Ministerio de Obras Públicas.
    Las normas técnicas, manuales, instructivos y recomendaciones de diseño antes señalados deberán ser consultados en su versión vigente al momento de elaborar los Proyectos de Ingeniería de Detalle, incluyendo todas las actualizaciones hasta dicha fecha, a menos que expresamente se señale una versión distinta o la utilización de los Antecedentes Referenciales indicados en el artículo 1.4.3 de las Bases de Licitación.
    Además, el Ministerio de Obras Públicas podrá, durante el desarrollo de los Proyectos de Ingeniería de Detalle, solicitar al Concesionario precisar, acotar y/o corregir la información de dichos proyectos, con el objetivo de que se cumplan las condiciones de suficiencia para definir las obras objeto de la Concesión, debiendo el Concesionario desarrollar a su entero cargo, costo y responsabilidad todos los Proyectos de Ingeniería que sean necesarios.
    15. De acuerdo a lo establecido en el artículo 2.3 de las Bases de Licitación, la Sociedad Concesionaria deberá ejecutar, a su entero cargo, costo y responsabilidad, todas las obras que resulten de los Proyectos de Ingeniería de Detalle aprobados por el Inspector Fiscal. Se excluye la obligación de ejecutar las obras contenidas en los Proyectos de Ingeniería de Detalle indicados en el artículo 2.2.2.27 de las Bases de Licitación. Entre las obras a ejecutar se encuentran, al menos, las siguientes:
    . Nuevas calzadas de acuerdo a lo señalado en los artículos 2.3.1.1, 2.3.1.1.1, 2.3.1.1.2 y 2.3.1.1.3 de las Bases de Licitación.
    . Pistas lentas, de acuerdo a lo establecido en el artículo 2.3.1.2 de las Bases de Licitación.
    . Intersecciones a desnivel, de acuerdo a lo indicado en el artículo 2.3.1.3 de las Bases de Licitación.
    . Puentes nuevos, de acuerdo a lo establecido en el artículo 2.3.1.4 de las Bases de Licitación.
    . Estructuras a desnivel, de acuerdo a lo señalado en el artículo 2.3.1.5 de las Bases de Licitación.
    . Pasarelas peatonales, de acuerdo a lo indicado en el artículo 2.3.1.6 de las Bases de Licitación.
    . Calles de Servicio, de acuerdo a lo señalado en el artículo 2.3.1.7 de las Bases de Licitación.
    . Intersecciones y accesos a nivel, de acuerdo a lo señalado en 2.3.1.8.1 de las Bases de Licitación.
    . Veredas peatonales, de acuerdo a lo señalado en 2.3.1.8.2 de las Bases de Licitación.
    . Paraderos de buses, de acuerdo a lo señalado en 2.3.1.8.3 de las Bases de Licitación.
    . Ciclovías de acuerdo a lo señalado en 2.3.1.8.4 de las Bases de Licitación.
    . Delimitación del área de concesión, de acuerdo a lo establecido en el artículo 2.3.1.9 de las Bases de Licitación.
    . Obras de seguridad vial, de acuerdo a lo indicado en el artículo 2.3.1.10 de las Bases de Licitación.
    . Obras del sistema de señalización variable, de acuerdo a lo indicado en el artículo 2.3.1.11 de las Bases de Licitación.
    . Obras del sistema de citofonía de emergencia o teléfonos S.O.S, de acuerdo a lo señalado en el artículo 2.3.1.12 de las Bases de Licitación.
    . Obras del sistema de iluminación, de acuerdo a lo establecido en el artículo 2.3.1.13 de las Bases de Licitación.
    . Obras del Centro de Control, de acuerdo a lo indicado en el artículo 2.3.1.14 de las Bases de Licitación.
    . Estacado de la faja a expropiar, de acuerdo a lo indicado en el artículo 2.3.1.15 de las Bases de Licitación.
    . Despeje y limpieza de la Faja Fiscal entregada, de acuerdo a lo señalado en el artículo 2.3.1.16 de las Bases de Licitación.
    . Servidumbres de acuerdo a lo señalado en 2.3.1.17 de las Bases de Licitación.
    . Rehabilitación y mejoramiento de la Infraestructura Preexistente, de acuerdo a lo señalado en los artículos 2.3.1.18, 2.3.1.18.1, 2.3.1.18.2, 2.3.1.18.3 y 2.3.1.18.4 de las Bases de Licitación.
    . Desvíos de tránsito, de acuerdo a lo señalado en el artículo 2.3.1.19 de las Bases de Licitación.
    . Defensas fluviales, de acuerdo a lo señalado en 2.3.1.20 de las Bases de Licitación.
    . Cambios de Servicios, de acuerdo a lo indicado en 2.3.1.21 de las Bases de Licitación.
    . Modificaciones de canales, de acuerdo a lo establecido en 2.3.1.22 de las Bases de Licitación.
    . Paisajismo de acuerdo a lo indicado en 2.3.1.23 de las Bases de Licitación.
    . Sistema de Drenaje y Saneamiento de acuerdo a lo señalado en 2.3.1.24 de las Bases de Licitación.
    . Nuevos accesos privados de acuerdo a lo indicado en 2.3.1.25 de las Bases de Licitación.
    . Plaza de Pesaje de acuerdo a lo señalado en 2.3.1.26 de las Bases de Licitación.
    . Plazas de Peaje de acuerdo a lo establecido en 2.3.1.27 de las Bases de Licitación.
    . Poner a disposición del Ministerio de Obras Públicas 1 (un) lugar para construir el depósito de Bienes Fiscales, de acuerdo a lo establecido en el artículo 2.3.2 de las Bases de Licitación.
    . Construir Áreas de Servicios Generales y Áreas de Atención de Emergencias, de acuerdo a lo establecido en el artículo 2.3.3.1 de las Bases de Licitación.
    . Proveer y construir una red de Teléfonos S.O.S., de acuerdo a lo establecido en el artículo 2.3.3.2 de las Bases de Licitación.
    . Adoptar un Sistema de Cobro de Tarifas por Derecho de Paso de acuerdo a lo dispuesto en el artículo 1.13 de las Bases de Licitación, mediante el cual se cobrará al usuario de la ruta concesionada el paso en un lugar determinado de la calzada, sin considerar la distancia recorrida por el vehículo dentro del Área de Concesión.
    16. Conforme a lo señalado en el artículo 1.4.2 de las Bases de Licitación, el Presupuesto Oficial Estimado de la Obra es de UF 13.425.000 (trece millones cuatrocientas veinticinco mil Unidades de Fomento). Este valor es referencial y considera el valor nominal de las obras del Contrato de Concesión, incluyendo los gastos generales y utilidades, pagos de la Sociedad Concesionaria durante la Etapa de Construcción y los costos para la elaboración de los Proyectos de Ingeniería de Detalle. No se incluye el Impuesto al Valor Agregado (IVA).
    17. Conforme a lo establecido en 1.10, la Etapa de Explotación de la obra comenzará junto con la autorización de la primera Puesta en Servicio Provisoria Parcial de las Obras, de acuerdo a lo señalado en 1.9.2.7 y 1.10.1, todos artículos de las Bases de Licitación.
    Durante esta etapa el Concesionario estará obligado a prestar los siguientes servicios:
    a) Servicios Básicos: De conformidad con lo dispuesto en el artículo 1.10.9.1 de las Bases de Licitación, el Concesionario estará obligado, desde la respectiva autorización de Puesta en Servicio Provisoria Parcial de las Obras de un subsector y hasta la extinción de la Concesión, a proporcionar los siguientes Servicios Básicos:
    . Aquellos asociados a la conservación, reparación y operación de todas las obras que se encuentren en el Área de Concesión, de acuerdo a lo indicado en 2.4.3, 2.4.3.1 y 2.4.3.2, todos artículos de las Bases de Licitación.
    . Gestión de Tráfico, de acuerdo a lo indicado en el artículo 2.4.4 de las Bases de Licitación.
    b) Servicios Especiales Obligatorios: De conformidad con lo dispuesto en el artículo 1.10.9.2, el Concesionario estará obligado, desde la respectiva autorización de Puesta en Servicio Provisoria Parcial de las obras de cada subsector y hasta la extinción de la Concesión, a proporcionar en forma gratuita a los usuarios de la Concesión, a excepción de los cobros a que se refieren las letras a.7) e i) del artículo 1.15.1.3, en relación al Servicio de Gestión de Cobro y Facturación establecido en el artículo 2.4.5.4, todos de las Bases de Licitación, los siguientes Servicios Especiales Obligatorios:
    . Funcionamiento y Operación del Área de Servicios Generales y Atención de Emergencias, según lo establecido en el artículo 2.4.5.1 de las Bases de Licitación.
    . Servicio de Asistencia en Ruta según lo establecido en el artículo 2.4.5.2 de las Bases de Licitación.
    . Servicio de Atención de Usuarios según lo establecido en el artículo 2.4.5.3 de las Bases de Licitación.
    . Servicio de Gestión de Cobro y Facturación según lo establecido en el artículo 2.4.5.4 de las Bases de Licitación.
    c) Servicios Complementarios propuestos por el Concesionario: De conformidad con lo dispuesto en 1.10.9.3, el Concesionario podrá proponer Servicios Complementarios en cualquier instante dentro del período de la Concesión establecido en 1.7.6, ambos artículos de las Bases de Licitación. En el caso que éstos sean aceptados por el Inspector Fiscal, la Sociedad Concesionaria estará obligada a proporcionar dichos servicios, los cuales deberán instalarse en bienes nacionales de uso público, terrenos de propiedad fiscal o en terrenos privados que sean adquiridos por la Sociedad Concesionaria para el Fisco con este fin. Se considerarán como Servicios Complementarios posibles de proponer por el Concesionario, los indicados en las letras a), b) y c) del artículo 1.10.9.3 de las Bases de Licitación.
    18. De conformidad con lo dispuesto en 1.10.2, la Sociedad Concesionaria deberá solicitar la autorización de la Puesta en Servicio Definitiva de las Obras, dentro del plazo de 6 (seis) meses contados desde la autorización de Puesta en Servicio Provisoria de la Totalidad de las Obras señalada en 1.10.1, y cuando hayan sido aprobados los antecedentes a que se refiere 1.9.2.12, todos artículos de las Bases de Licitación.
    19. Conforme a lo señalado en el artículo 1.12.4 de las Bases de Licitación, para efectos de lo dispuesto en el D.L. Nº 825, de 1974, y sus modificaciones posteriores, y en especial el artículo Nº 16, letras c) y h), en el Contrato de Concesión se imputará un porcentaje "Pconstrucción" de los ingresos totales de explotación para pagar el precio del servicio de construcción y un porcentaje "Pexplotación" de los ingresos totales de explotación para pagar el precio del servicio de conservación, reparación y explotación.
      .
    donde,
    S: Factor de Subsidio solicitado por el Grupo Licitante Adjudicatario de acuerdo a lo señalado en los artículos 3.1.2, 3.2.1 y 3.2.2 de las Bases de Licitación.
    En los aspectos relativos a la declaración y pago del Impuesto a la Renta, el Concesionario se deberá regir por lo dispuesto en el DL Nº 824, de 1974, y sus modificaciones, especialmente por las introducidas por la ley Nº 19.460 y las demás normas que correspondan.
    20. Las obligaciones y derechos del Adjudicatario o bien de la Sociedad Concesionaria, según sea el caso, son los establecidos en los cuerpos legales citados en el presente decreto supremo y la normativa legal vigente que le sea aplicable, en las Bases de Licitación, en sus Circulares Aclaratorias y en las Ofertas Técnica y Económica presentadas por el Grupo Licitante Adjudicatario "Consorcio Sacyr", en la forma aprobada por el MOP.
    Sin perjuicio de lo anterior y en forma no taxativa, se indican como obligaciones y derechos, los siguientes:
    OBLIGACIONES:
    i) Constituir legalmente la sociedad anónima, de nacionalidad chilena, prometida en su Oferta Técnica, de acuerdo a lo establecido en el artículo 1.7.3 de las Bases de Licitación, dentro del plazo de 60 (sesenta) días corridos, contados desde la fecha de publicación en el Diario Oficial del presente decreto supremo de Adjudicación del Contrato de Concesión. Dentro del mismo plazo el Adjudicatario procederá a suscribir ante Notario 4 (cuatro) transcripciones del presente decreto supremo de Adjudicación del Contrato de Concesión, en señal de aceptación de su contenido, debiendo protocolizar ante el mismo Notario uno de sus ejemplares, según lo exigido en el artículo 1.7.4 de las Bases de Licitación.
    ii) Al otorgarse la escritura de constitución de la Sociedad Concesionaria se deberá suscribir íntegramente el capital de la sociedad, el que no podrá ser inferior a la suma de $35.000.000.000 (treinta y cinco mil millones de pesos) y pagarse, a lo menos, la suma de $10.000.000.000 (diez mil millones de pesos) debiendo individualizar con su correspondiente porcentaje, a todas las personas naturales o jurídicas que suscribirán el 100% de dicho capital. En un plazo máximo de 12 (doce) meses contados desde la fecha de la escritura pública de constitución de la Sociedad, la Sociedad Concesionaria deberá pagar como parte del saldo de capital, la suma de $10.000.000.000 (diez mil millones de pesos). El saldo del capital deberá pagarse dentro del plazo máximo de 36 (treinta y seis) meses contados desde la fecha de la escritura pública de constitución de la Sociedad Concesionaria. Una vez que se haya consignado en el Libro de Obras el inicio del Sector A, de acuerdo a lo señalado en el primer párrafo del artículo 1.9.2.6 de las Bases de Licitación, la Sociedad Concesionaria deberá aumentar el capital social en un monto de $50.000.000.000 (cincuenta mil millones de pesos), debiendo pagar la suma de $25.000.000.000 (veinticinco mil millones de pesos) en el plazo de 30 (treinta días) contados desde la fecha en que se haya consignado el inicio de las obras del Sector A, y el saldo dentro de los 12 (doce) meses siguientes a dicho pago. La Sociedad Concesionaria deberá ajustarse a la normativa vigente en la materia para la definición del número de acciones en que será dividido el aumento de capital con indicación de sus series y privilegios si los hubiere y si las acciones tienen o no valor nominal. El pago del capital social deberá acreditarse en todo caso mediante certificado bancario.
    iii) La Sociedad Concesionaria, dentro del plazo de 60 (sesenta) días contados desde su constitución, deberá haber solicitado su inscripción en el Registro correspondiente de la Comisión para el Mercado Financiero, de acuerdo a la normativa vigente, lo que deberá acreditar con el certificado respectivo de conformidad a lo señalado en el artículo 1.7.3 de las Bases de Licitación.
    iv) De acuerdo a lo dispuesto en el artículo 1.7.7.2 de las Bases de Licitación, el Concesionario será siempre responsable del cumplimiento cabal, íntegro y oportuno del Contrato de Concesión, de la correcta ejecución de los proyectos y de las obras, de la operación de la Concesión, así como del cumplimiento de los Niveles de Servicio y Estándares Técnicos establecidos en las Bases de Licitación para las diferentes etapas y condiciones de la Concesión, durante toda su vigencia, y del cumplimiento de todas las obligaciones establecidas en el Contrato de Concesión, sin perjuicio de las funciones de dirección y control que corresponden al Ministerio de Obras Públicas.
    v) Ejecutar, reparar, conservar y explotar las obras descritas en los documentos que forman parte del Contrato de Concesión, en la forma, modo y plazos indicados en dichos documentos.
    vi) De acuerdo a lo indicado en el artículo 1.8.9 de las Bases de Licitación, la Sociedad Concesionaria deberá pagar al Estado la cantidad de UF 1.600.000 (un millón seiscientas mil Unidades de Fomento) por concepto de desembolsos, gastos o expensas que se originen con motivo de las expropiaciones o adquisiciones de los terrenos requeridos por el Estado para la ejecución de las obras que forman parte del Contrato de Concesión, exceptuando aquellos terrenos destinados a la Plaza de Pesaje indicada en 2.2.2.21, y a los Servicios Especiales Obligatorios y Complementarios indicados en 1.10.9.2, 1.10.9.3 y 2.3.3. Esta cantidad se encuentra incluida en el Presupuesto Oficial Estimado indicado en 1.4.2. Todos artículos de las Bases de Licitación.
    El pago de esta cantidad deberá ser realizado en tres cuotas. El pago de la primera cuota correspondiente a los terrenos del Sector B, será de UF 600.000 (seiscientas mil Unidades de Fomento) y deberá efectuarse dentro del plazo máximo de 40 (cuarenta) meses contados desde la fecha de publicación en el Diario Oficial del presente decreto supremo de Adjudicación de la Concesión. La segunda y tercera cuotas, correspondientes a los terrenos del Sector A, se pagarán de la siguiente forma: la segunda cuota con la suma de UF 500.000 (quinientas mil Unidades de Fomento) dentro del plazo máximo de 6 (seis) meses después de obtenida la Resolución de Calificación Ambiental favorable del EIA de las Variantes o, en caso que proceda, del EIA del trazado alternativo en conformidad a lo señalado en los artículos 1.8.10.1 y 1.17 de las Bases de Licitación; y la tercera cuota con un monto de UF 500.000 (quinientas mil Unidades de Fomento), dentro del plazo máximo de 12 (doce) meses después de haber pagado la segunda cuota. Todos los pagos deberán efectuarse mediante Vale Vista emitido(s) a nombre del Director General de Concesiones.
    De la cantidad que la Sociedad Concesionaria deba pagar, podrá deducir los gastos de adquisición directa para el Fisco, de los bienes y terrenos, necesarios para la ejecución de las obras contenidas en las Bases de Licitación y en los Antecedentes Referenciales señalados en el artículo 1.4.3 de las Bases de Licitación, y que por lo tanto están incluidos en el monto señalado en el primer párrafo del presente número. El monto máximo que podrá deducir será el valor pericial, más un monto ascendente a UF 60 (sesenta Unidades de Fomento) por concepto de gastos de administración respecto de cada lote sujeto a expropiación adquirido para el Fisco, y que haya cumplido con el procedimiento indicado en el artículo 1.8.8.1 de las Bases de Licitación. En caso que la Sociedad Concesionaria pague un monto superior al valor pericial más UF 60 (sesenta Unidades de Fomento), serán de su entero cargo y costo tales montos adicionales.
    En caso que la Sociedad Concesionaria adquiera para el Fisco bienes y terrenos necesarios para la ejecución de las obras antes señaladas, y la fecha de adquisición sea posterior a la realización del pago establecido en el presente número, el MOP pagará a la Sociedad Concesionaria los gastos de adquisición hasta el valor pericial, más un monto ascendente a UF 60 (sesenta Unidades de Fomento) por concepto de gastos de administración respecto de cada lote sujeto a expropiación, adquiridos para el Fisco, el último día hábil del mes de marzo del año calendario siguiente a aquel en que se realizaron las adquisiciones conforme al procedimiento establecido en el artículo 1.12.6, de las Bases de Licitación.
    El valor de todas las adquisiciones o expropiaciones de los terrenos, necesarios para la ejecución de las obras del Contrato de Concesión correspondientes a la Plaza de Pesaje indicada en 2.2.2.21 y a los Servicios Especiales Obligatorios y Complementarios indicados en 1.10.9.2, 1.10.9.3 y 2.3.3, todos artículos de las Bases de Licitación, no está incluido en el monto señalado en el primer párrafo del presente número, por lo que será de exclusivo cargo, costo y responsabilidad de la Sociedad Concesionaria, la cual deberá, en consecuencia, pagar el valor de dichas adquisiciones o expropiaciones. En caso que dichos terrenos se obtengan a través del procedimiento de expropiaciones, la Sociedad Concesionaria deberá pagar, en un plazo no superior a 60 (sesenta) días desde que sea notificada por el Inspector Fiscal por medio del Libro de Obras o de Explotación de la Obra, el valor de indemnización provisional en Unidades de Fomento a la fecha del informe de tasación respectivo, más un monto de UF 60 (sesenta Unidades de Fomento) por cada lote expropiado, por concepto de gastos y desembolsos en los que deberá incurrir el MOP para concretar cada expropiación. Una vez que se haya fijado la indemnización definitiva de la expropiación, la Sociedad Concesionaria deberá pagar la diferencia entre ésta y el valor de la indemnización provisional, en Unidades de Fomento a la fecha del pago de la indemnización definitiva, en un plazo no superior a 60 (sesenta) días desde que sea notificada por el Inspector Fiscal por medio del Libro respectivo.
    El valor de la indemnización definitiva será determinado por las partes en caso de convenio, e incluirá los reajustes legales, o bien será determinado por el juez, cuando la expropiación dé origen a un reclamo judicial, incluyendo las costas y otros cargos a los que el MOP sea condenado a pagar.
    El valor de indemnización provisional indicado en el presente número corresponderá al valor pericial determinado en el Informe de Tasación elaborado por la Comisión de Peritos Tasadores, conforme a lo señalado en el DL Nº 2.186, de 1978.
    Del mismo modo, no están incluidas en el monto señalado en el primer párrafo del presente número, las adquisiciones o expropiaciones que se requieran para la materialización de las eventuales nuevas inversiones señaladas en el artículo 1.12.3 de las Bases de Licitación.
    Para efectos de lo previsto en el presente número, se entenderá por bienes adquiridos por la Sociedad Concesionaria, aquellos respecto de los cuales se perfeccionó el contrato respectivo y se practicó la correspondiente inscripción de dominio a nombre del Fisco en el Registro de Propiedad del Conservador de Bienes Raíces respectivo.
    Los costos en que deba incurrir la Sociedad Concesionaria para la obtención de los antecedentes exigidos en el artículo 2.2.2.16 de las Bases de Licitación, serán de su exclusiva responsabilidad y cargo.
    Los costos asociados a la suspensión o desistimiento de las expropiaciones que se hayan iniciado y que no se requieran por motivo de las modificaciones al Proyecto de Ingeniería de Detalle, propuestas por la Sociedad Concesionaria, a que se refiere el artículo 1.9.1.1 de las Bases de Licitación, serán de su exclusiva responsabilidad y cargo. Estos costos incluyen todos aquellos en que a la fecha del desistimiento haya incurrido el MOP para la tramitación de tales expropiaciones, así como las indemnizaciones de perjuicios que se determinen por sentencia judicial, que el MOP deba pagar por causa del desistimiento de dichas expropiaciones. La Sociedad Concesionaria deberá hacer el pago al MOP por este concepto, en un plazo no superior a los 60 (sesenta) días desde que sea notificada por el Inspector Fiscal a través del Libro de Obras o de Explotación de la Obra.
    En el caso que el costo de las expropiaciones de los terrenos necesarios para ejecutar las obras, exceptuadas aquellas relativas a los terrenos necesarios para la Plaza de Pesaje indicada en 2.2.2.21, para los Servicios Especiales Obligatorios y Complementarios indicados en 1.10.9.2, 1.10.9.3 y 2.3.3, todos artículos de las Bases de Licitación, resulte superior a UF 1.600.000 (un millón seiscientas mil Unidades de Fomento), este exceso será de entero cargo del MOP.
    vii) De conformidad con lo dispuesto en 1.8.10.1, el Ministerio de Obras Públicas hizo entrega al Grupo Licitante Adjudicatario del Estudio de Impacto Ambiental Concesión Ruta 66, Camino de la Fruta y sus cuatro Adendas y de la resolución exenta Nº 255/2013, indicados respectivamente en el Documento Nº 8 y Documento Nº 9, de 1.4.1, ambos artículos de las Bases de Licitación.
    Tratándose de la Variante San Vicente - Peumo y Variante Peumo - Las Cabras - El Manzano, indicadas en la Tabla "Sectores y subsectores del Proyecto" del número 1 del presente decreto, la Sociedad Concesionaria deberá elaborar a su entero cargo, costo y responsabilidad, un único Estudio de Impacto Ambiental denominado "EIA de las Variantes". En caso que de conformidad al artículo 1.17 de las Bases de Licitación proceda considerar un nuevo trazado alternativo para el tramo comprendido entre el Dm 23.500 y el Dm 44.300, la Sociedad Concesionaria deberá elaborar una modificación del EIA de las Variantes que incluya dicho trazado, en adelante "EIA del trazado alternativo". Para estos efectos, la Sociedad Concesionaria deberá contratar un consultor. La contratación de este consultor deberá someterse al siguiente procedimiento:
    a. Dentro de un plazo máximo de 30 (treinta) días contados desde la publicación en el Diario Oficial del presente decreto supremo de Adjudicación, el Inspector Fiscal entregará al adjudicatario o a la Sociedad Concesionaria según corresponda, los Términos de Referencia para la contratación del consultor.
    b. Dentro del plazo máximo de 90 (noventa) días contados desde la recepción de los Términos de Referencia para la contratación del consultor, la Sociedad Concesionaria deberá presentar al Inspector Fiscal, al menos, una propuesta que contenga los datos de identificación y caracterización de 3 (tres) consultores que cumplan con los requerimientos que se indican en el presente número, con sus respectivos antecedentes técnicos y económicos. Sin perjuicio de lo anterior y fundadamente, el Concesionario podrá presentar un número inferior al señalado precedentemente, lo que deberá ser aprobado por el Inspector Fiscal.
    c. Los consultores que se incluyan en la propuesta deberán encontrarse inscritos en el Registro de Consultores del MOP en el Área de Medio Ambiente, en la especialidad 9.1 Estudios de Impacto Ambiental, categoría Primera Superior.
    d. Los antecedentes técnicos y económicos correspondientes a cada consultor serán evaluados por una comisión integrada por 3 (tres) profesionales designados por el Director General de Concesiones, la cual dispondrá de 20 (veinte) días para emitir su informe. Para lo anterior se considera una ponderación de los antecedentes técnicos de un 70% del puntaje final y una ponderación de un 30% del puntaje final para los antecedentes económicos. La propuesta que obtenga el mayor puntaje será la considerada para el desarrollo del EIA de las Variantes y en caso que proceda del EIA del trazado alternativo.
    e. En caso que la comisión rechace las propuestas, la Sociedad Concesionaria procederá de conformidad a lo establecido en las letras b, c y d precedentes, debiendo presentar la nueva propuesta en el plazo de 15 (quince) días contado desde que el Inspector Fiscal le comunique el rechazo, procedimiento que se repetirá hasta que la comisión determine el consultor seleccionado.
    f. Dentro del plazo de 10 (diez) días contado desde la fecha en que la comisión de evaluación evacúe su informe, el Inspector Fiscal informará a la Sociedad Concesionaria cual es la consultora escogida mediante el procedimiento indicado.
    g. El Concesionario, en el plazo de 30 (treinta) días contados desde que el Inspector Fiscal le comunique el consultor seleccionado, deberá proceder a la contratación de éste, debiendo remitir al Inspector Fiscal, dentro del plazo de 15 (quince) días contados desde la suscripción, copia del contrato.
    Para todos los efectos el único responsable del desarrollo del EIA de las Variantes y, en caso que proceda de conformidad al artículo 1.17 de las Bases de Licitación, del EIA del trazado alternativo, será la Sociedad Concesionaria.
    Los Términos de Referencia que el Inspector Fiscal entregará al Concesionario deberán contener, al menos, lo siguiente:
    . Las exigencias mínimas que deberá cumplir el consultor y el personal que participe en la consultoría, tales como, profesión, años de experiencia, especialidad, entre otros.
    . La metodología de trabajo aplicable a la elaboración del EIA de las Variantes y, en caso que proceda de conformidad al artículo 1.17 de las Bases de Licitación, del EIA del trazado alternativo. Ésta deberá considerar la participación activa del Inspector Fiscal o la persona que él designe, estando facultado para emitir opiniones y dar directrices, así como para asistir a reuniones de coordinación en las que se planifique el desarrollo del EIA correspondiente, salidas a terreno, reuniones previas con autoridades, entre otros.
    . La determinación de entregas parciales de avance de cada capítulo contenido tanto en el EIA de las Variantes como, en caso que proceda, en el EIA del trazado alternativo, según lo indicado en el artículo 18 del Reglamento del Sistema de Evaluación de Impacto Ambiental, así como de los anexos a dichos capítulos, con el objeto de incorporar las observaciones que formule el Inspector Fiscal durante su participación activa en la consultoría.
    Dentro del plazo de 30 (treinta) días contados desde la aprobación del Proyecto Vial del Sector A de acuerdo a lo indicado en 1.9.1.2, de las Bases de Licitación, la Sociedad Concesionaria deberá presentar el EIA de las Variantes al Inspector Fiscal para su revisión y aprobación, de conformidad al procedimiento indicado en el undécimo párrafo del referido artículo 1.9.1.2. En caso que proceda considerar un nuevo trazado alternativo para el tramo comprendido entre el Dm 23.500 y el Dm 44.300 según lo indicado en el artículo 1.17 de las Bases de Licitación, la Sociedad Concesionaria deberá presentar el EIA del trazado alternativo al Inspector Fiscal dentro del plazo máximo de 30 (treinta) días contados desde la fecha de aprobación del respectivo Proyecto de Ingeniería de Detalle, aplicándose al procedimiento indicado en el undécimo párrafo del referido artículo 1.9.1.2. Una vez aprobado el EIA de las Variantes o en caso que proceda el EIA del trazado alternativo por el Inspector Fiscal, el MOP lo someterá a evaluación ambiental ante el Servicio de Evaluación Ambiental correspondiente de conformidad a la normativa ambiental vigente, para lo cual el Concesionario, dentro del plazo de 30 (treinta) días contados desde dicha aprobación, deberá entregar los respaldos electrónicos y de papel que se requiera para la evaluación ambiental. Junto con lo anterior, el Concesionario deberá entregar al MOP una autorización a través de escritura pública que le permita someter al Servicio de Evaluación Ambiental el EIA de las Variantes o en caso que proceda el EIA del trazado alternativo. Lo anterior, en virtud de que la Sociedad Concesionaria es el titular de la resolución exenta Nº 255/2013.
    Si durante la tramitación del EIA de las Variantes y/o del EIA del trazado alternativo en su caso, la Autoridad Ambiental emite un Informe Consolidado de Aclaraciones, Rectificaciones o Ampliaciones (ICSARA) y/o solicita respuesta(s) a consulta(s) surgida(s) durante el proceso de participación ciudadana, el Inspector Fiscal comunicará a la Sociedad Concesionaria los requerimientos necesarios para la elaboración de la o las Adendas y/o la(s) respectiva(s) respuesta(s), así como el plazo para someter dichas Adendas y/o respuesta(s) a su revisión y aprobación, todo lo cual será de su entero cargo, costo y responsabilidad. En caso que el Inspector Fiscal rechace la(s) Adenda(s) y/o respuesta(s), indicará a la Sociedad Concesionaria un plazo no superior a 20 (veinte) días para presentar una nueva propuesta de Adenda(s) y/o respuesta(s) para su revisión. Una vez aprobada ésta, el Concesionario dentro del plazo de 10 (diez) días contados desde la aprobación, deberá entregar los respaldos electrónicos y de papel que requieran ser ingresados para la evaluación ambiental. El mismo procedimiento se aplicará en el caso que la Autoridad Ambiental, una vez presentadas al Servicio de Evaluación Ambiental por el MOP, rechace la(s) Adenda(s) y/o respuesta(s) elaborada(s) por la Sociedad Concesionaria.
    Una vez obtenida la Resolución de Calificación Ambiental favorable del EIA de las Variantes o del EIA del trazado alternativo según corresponda, el MOP procederá al cambio de titularidad; respecto de la titularidad del Documento Nº 9 señalado en el artículo 1.4.1 de las Bases de Licitación, se procederá al cambio una vez constituida legalmente la Sociedad Concesionaria. En ambos casos, de acuerdo a la normativa ambiental vigente y conforme a las instrucciones que para tales efectos se encuentren vigentes o dicte la Autoridad Ambiental competente. Para efectos de formalizar el cambio de titularidad ante la Autoridad Ambiental competente, el Director General de Concesiones de Obras Públicas informará a dicha autoridad el cambio de titular mediante el envío formal de las Bases de Licitación aprobadas por el MOP, una copia del presente decreto supremo de Adjudicación de la Concesión, suscrito y protocolizado por la Sociedad Concesionaria, y la identificación del proyecto sometido al Sistema de Evaluación de Impacto Ambiental del cual se solicita cambio de titularidad.
    En relación al cambio de titularidad del Documento Nº 9 señalado en el artículo 1.4.1 de las Bases de Licitación, se deja constancia de que, por medio de la suscripción del presente decreto supremo de Adjudicación, la Sociedad Concesionaria acepta el cambio de Titular del Proyecto, siendo responsable del cumplimiento de las obligaciones ambientales impuestas al Proyecto y de la normativa vigente.
    Respecto de aquellas obras no consideradas en los Documentos Nºs 8 y 9 del artículo 1.4.1 de las Bases de Licitación y que se encuentren fuera de las Variantes, el MOP presentará ante la Autoridad Ambiental una Consulta de Pertinencia de Ingreso al Sistema de Evaluación de Impacto Ambiental.
    En caso que el resultado de la Consulta de Pertinencia establezca que las obras indicadas en el párrafo anterior no requieren ser sometidas al Sistema de Evaluación de Impacto Ambiental, la Sociedad Concesionaria podrá ejecutar las obras con el correspondiente pronunciamiento de dicha autoridad, debiendo en todo caso implementar, a su entero cargo, costo y responsabilidad, las medidas y/o exigencias contenidas en las Bases de Licitación. En el evento que la Autoridad Ambiental determine que las obras sí deben ingresar al Servicio de Evaluación Ambiental, la Sociedad Concesionaria deberá elaborar a su entero cargo, costo y responsabilidad la(s) Declaración(es) de Impacto Ambiental (DIA(s)) y/o el (los) Estudio(s) de Impacto Ambiental (EIA(s)), según corresponda, de conformidad a la normativa vigente, y no podrá ejecutar las obras si no contare con la(s) respectiva(s) Resolución(es) de Calificación Ambiental favorable(s). La elaboración de la(s) DIA(s) y/o del (los) EIA(s) así como de sus respectivas adendas en caso que procedieren, deberán ser desarrollados por un consultor, el cual deberá encontrarse inscrito en el Registro de Consultores del MOP en el Área de Medio Ambiente en la Especialidad 9.1, Estudios de Impacto Ambiental, categoría Primera Superior. La Sociedad Concesionaria, quien actuará como único titular ante la Autoridad Ambiental, deberá someter al Servicio de Evaluación Ambiental correspondiente la(s) DIA(s) y/o EIA(s), siendo de su entero cargo, costo y responsabilidad la obtención de la(s) respectiva(s) Resolución(es) de Calificación Ambiental.
    En el evento que la Sociedad Concesionaria proponga cualquier alternativa de modificación a los Antecedentes que conformaron la Oferta Técnica del Grupo Licitante Adjudicatario, o requiera obtener la autorización para la instalación de faenas, la explotación de empréstitos, escombreras o botaderos y/o plantas de producción de materiales, cambios de servicios, nuevas obras señaladas en 1.12.3.1 y 1.12.3.2 o cualquier otra actividad o proyecto no incluido en el EIA correspondiente al Documento Nº 8 de 1.4.1, todos artículos de las Bases de Licitación, en el EIA de las Variantes y en caso que proceda en el EIA del trazado alternativo indicados anteriormente o en las Resoluciones de Calificación Ambiental correspondientes, deberá evaluar la necesidad de ingresar al Sistema de Evaluación de Impacto Ambiental a través de una DIA o un EIA, según corresponda, de acuerdo a lo indicado en la Ley Nº 19.300 y el Reglamento del Sistema de Evaluación de Impacto Ambiental, y sus respectivas modificaciones; para efectos de lo anterior, el o los EIA(s) y/o DIA(s) así como sus respectivas adendas en caso que procedieren, deberán ser desarrollados por un consultor independiente, el cual deberá encontrarse inscrito en el Registro de Consultores del MOP en el Área de Medio Ambiente en la Especialidad 9.1, Estudios de Impacto Ambiental, categoría Primera Superior. En estos casos, también serán de exclusiva responsabilidad, cargo y costo de la Sociedad Concesionaria, quien actuará como único Titular ante la Autoridad Ambiental, tanto la elaboración del (los) EIA(s) o DIA(s) y sus Adendas, si proceden, como su tramitación y la implementación de las medidas que emanen de la(s) Resolución(es) de Calificación Ambiental respectiva(s). La Sociedad Concesionaria no podrá ejecutar obra material alguna si no contare con la(s) correspondiente(s) Resolución(es) de Calificación Ambiental favorable(s), salvo en los casos de aquellas actividades que no requieran ingresar al Sistema de Evaluación de Impacto Ambiental de conformidad a la ley Nº 19.300 y ello sea acreditado ante el Inspector Fiscal, mediante un pronunciamiento de la Autoridad Ambiental.
    La(s) correspondiente(s) Resolución(es) de Calificación Ambiental favorable(s) formará(n) parte del Contrato de Concesión que, junto a las Bases de Licitación, el EIA y la Resolución de Calificación Ambiental indicados en los Documentos Nº 8 y Nº 9 respectivamente, y en todos los EIA(s) y/o DIA(s), según corresponda, y sus Adendas, desarrollados por la Sociedad Concesionaria, establecerán el conjunto de obligaciones, compromisos y medidas ambientales obligatorias que debe cumplir el Concesionario, tanto en la Etapa de Construcción como en la Etapa de Explotación.
    La Sociedad Concesionaria, durante toda la vigencia del Contrato de Concesión, será la única responsable, a su entero cargo y costo ante el Inspector Fiscal, del cumplimiento de las obligaciones y exigencias ambientales establecidas en las Bases de Licitación; así como será la única responsable, a su entero cargo y costo ante la Autoridad Ambiental y cualquier otra autoridad pública, del cumplimiento de las obligaciones y exigencias ambientales establecidas en los Documentos Nº 8 y Nº 9 señalados en el artículo 1.4.1 de las Bases de Licitación en lo que procedan previa calificación del Inspector Fiscal; en el EIA de las Variantes y en caso que proceda en el EIA del trazado alternativo, en el o los EIA(s) y/o DIA(s) y sus Adendas, que deba desarrollar el Concesionario y en la(s) respectiva(s) Resolución(es) de Calificación Ambiental, debiendo dar cumplimiento a toda la normativa ambiental vigente. Será asimismo responsable de la conservación de toda medida u obra que deba implementarse o construirse a consecuencia de las exigencias ambientales establecidas en la(s) Resolución(es) de Calificación Ambiental asociada(s) al proyecto, así como de las demás previstas en las Bases de Licitación. Lo anterior sin perjuicio de lo establecido en el artículo 1.12.7.2 de las Bases de Licitación.
    Durante el penúltimo año de concesión, la Sociedad Concesionaria deberá contratar a su entero cargo, costo y responsabilidad una auditoría independiente, cuya contraparte será el Inspector Fiscal, y cuyo objetivo será establecer el nivel de cumplimiento de las obligaciones ambientales establecidas en el o los EIA(s) y/o DIA(s) asociadas al proyecto, sus Adendas y correspondiente(s) Resolución(es) de Calificación Ambiental.
    De detectarse cualquier incumplimiento, la Sociedad Concesionaria deberá regularizar antes del término de la Concesión cualquier aspecto pendiente, sin perjuicio de la obligación del Inspector Fiscal de denunciarlo a la Superintendencia del Medio Ambiente.
    Una vez extinguida la Concesión, si procede, la Sociedad Concesionaria deberá realizar todos los trámites correspondientes para el traspaso de Titularidad de la(s) Resolución(es) de Calificación Ambiental obtenida(s) para el proyecto, a quien le indique el Inspector Fiscal.
    viii) De acuerdo a lo dispuesto en 1.9.1.3, el Concesionario deberá realizar los Proyectos de Ingeniería de Detalle de todas las obras que conforman el Contrato de Concesión, de acuerdo a lo señalado en 1.9.1.1, los que deberán ajustarse a lo señalado en 2.2, utilizando para ello el Sistema BIM de acuerdo a las especificaciones técnicas definidas en 1.9.1.3.9, todos artículos de las Bases de Licitación.
    La Sociedad Concesionaria, a su entero cargo, costo y responsabilidad, deberá diseñar, desarrollar y explotar los Usos de BIM que luego se indican, no pudiendo bajo ninguna circunstancia, alegar restricciones de algún software de cualquier tipo como motivo de incumplimiento o limitación de los Usos de BIM, debiendo incurrir, de ser necesario, en todos los desarrollos informáticos que permitan dar cabal y fiel cumplimiento a los Usos de BIM siguientes:
    . Obtención de Planos de los Proyectos.
    . Gestión de Datos para Infraestructura.
    . Coordinación de Especialidades.
    . Obtención de Cantidades de Obra.
    ix) De conformidad con lo indicado en 1.12.2.1, el Concesionario deberá realizar, adicionalmente al pago estipulado en 1.8.9, ambos artículos de las Bases de Licitación, el siguiente pago al Estado:
    . De acuerdo a lo indicado en 1.12.2.1.2 para la distribución de riesgo de demanda y de cobro, señalada en el artículo 1.12.7.1 de las Bases de Licitación, en el cual se establece el mecanismo de Ingresos Mínimos Garantizados por el Estado, la Sociedad Concesionaria deberá pagar al MOP un total de UF 30.000 (treinta mil Unidades de Fomento) mientras no renuncie al mecanismo de Ingresos Mínimos Garantizados. Dicho monto se deberá pagar en 2 (dos) cuotas. La cuota asociada al Sector A es de UF 18.000 (dieciocho mil Unidades de Fomento) y la cuota asociada al Sector B es de UF 12.000 (doce mil Unidades de Fomento).
    La Sociedad Concesionaria deberá pagar dichas cuotas con anterioridad a la fecha estimada para la solicitud de autorización de la segunda Puesta en Servicio Provisoria Parcial de las Obras del Sector A o del Sector B, según corresponda. Si el Concesionario no realiza dicho pago, el Director General de Concesiones no autorizará la segunda Puesta en Servicio Provisoria Parcial de las Obras del Sector respectivo. Dichos pagos deberán realizarse mediante Vale Vista emitido a nombre del Director General de Concesiones.
    Los montos pagados por la Sociedad Concesionaria al Estado por concepto de Garantía de Ingresos Mínimos no están sujetos a reembolso ni restitución alguna por parte del MOP.
      Sociedad Concesionaria podrá solicitar la renuncia al mecanismo de Ingresos Mínimos Garantizados por el Estado señalado en el artículo 1.12.7.1 de las Bases de Licitación, mediante una carta certificada ingresada a la Oficina de Partes de la Dirección General de Concesiones en el plazo comprendido entre el inicio de la Etapa de Construcción definido en el artículo 1.9 de las Bases de Licitación hasta 180 (ciento ochenta) días antes de la fecha de pago de la cuota correspondiente.
    La renuncia al mecanismo de Ingresos Mínimos Garantizados por el Estado extingue las obligaciones del Estado y de la Sociedad Concesionaria respecto del pago de los Ingresos Mínimos y de la totalidad o el resto de las cuotas de Pago por la Garantía de Ingresos Mínimos según sea el caso. Dicha renuncia tendrá carácter de irrevocable.
    x) Contratar los seguros de responsabilidad civil por daños a terceros y por catástrofe de acuerdo a lo señalado en 1.8.15 y 1.8.16, respectivamente, sin perjuicio de lo indicado en 1.8.14, todos artículos de las Bases de Licitación.
    xi) De conformidad con lo establecido en 1.8.1, el Concesionario deberá constituir las garantías de construcción y de explotación en los plazos indicados en 1.8.1.1 y 1.8.1.2, todos artículos de las Bases de Licitación respectivamente, pudiendo ser tomadores de las garantías el Adjudicatario o la Sociedad Concesionaria, según corresponda. El MOP podrá hacer efectivas dichas garantías, total o parcialmente, a través de resolución fundada del Director General de Concesiones, atendida la entidad y naturaleza del incumplimiento del Contrato y, en particular, en los casos señalados en el referido artículo 1.8.1 de las Bases de Licitación. En caso que el MOP hiciera efectiva la garantía, ésta deberá reconstituirse o completarse, según proceda, en el plazo de 15 (quince) días a contar de la fecha en que se hizo efectiva.
    xii) De conformidad con lo establecido en el artículo 1.9.2.18 de las Bases de Licitación, antes del inicio de la construcción de las obras y por todo el tiempo que dure la construcción de las mismas, la Sociedad Concesionaria deberá establecer un Sistema de Sugerencias, Consultas y Reclamos a través del sistema de respuesta por voz, internet o de manera escrita. El canal telefónico y el canal web así como el Libro de Sugerencias, Consultas y Reclamos deberán estar a disposición de los usuarios en cualquier instante que ellos lo soliciten, las 24 horas del día, todos los días del año. Su diseño será sometido a la revisión y aprobación del Inspector Fiscal.
    xiii) De conformidad con lo establecido en el artículo 1.10.5 de las Bases de Licitación, el Concesionario está obligado a conservar las obras en las condiciones contempladas en el Contrato, en el Plan de Conservación de las Obras y en el Programa Anual de Conservación aprobados por el Inspector Fiscal, ya sea a través de recuperar, conservar o reforzar los elementos que se deterioren por su uso y por el transcurso del tiempo a su entero cargo, costo y responsabilidad. En la formulación de las políticas de intervención para cada uno de los elementos indicados en el Plan de Conservación de las Obras deben establecerse las correspondientes intervenciones que permitan cumplir con las exigencias definidas en los documentos del Contrato.
    No obstante lo anterior, el Concesionario será el único responsable de reemplazar cualquier elemento asociado a la seguridad vial como señalización horizontal y vertical, elementos de contención, elementos asociados a la iluminación, cierres laterales, pasarelas, paisajismo, entre otros, dentro del Área de Concesión definida, que producto de algún hecho fortuito o accidente se haya dañado y en las demás situaciones establecidas en las Bases de Licitación.
    Los costos de consumo de electricidad para la iluminación de las obras definidas en los Proyectos de Ingeniería de Detalle aprobados por el Inspector Fiscal y el agua de riego para las áreas verdes que se encuentren dentro del Área de Concesión y cualquier otro gasto que se requiera para la mantención y reparación de las obras de la Concesión, serán de entero cargo y responsabilidad del Concesionario, durante las Etapas de Construcción y Explotación.
    xiv) De conformidad con lo establecido en 1.10.11, a partir del inicio de la Etapa de Explotación de las obras a que se refiere el artículo 1.10 y por todo el tiempo que dure, la Sociedad Concesionaria deberá prestar el Servicio de Atención de Usuarios a través de una Plataforma de Atención de Clientes, de acuerdo a lo establecido en 2.4.5.3, con todas las exigencias indicadas en 2.2.3.3.4.3 y 2.2.3.3.4.3.6, todos artículos de las Bases de Licitación. Las especificaciones de la Plataforma de Atención de Clientes deberán ser sometidas a la aprobación del Inspector Fiscal dentro del plazo de 60 (sesenta) días antes de la fecha estimada para la solicitud de la primera Puesta en Servicio Provisoria Parcial de las Obras.
    xv) Adoptar un Sistema de Cobro de Tarifa por Derecho de Paso de acuerdo a lo dispuesto en el artículo 1.13 de las Bases de Licitación, mediante el cual se cobrará al usuario de la vía concesionada el paso en un lugar determinado de la calzada, sin considerar la distancia recorrida por el vehículo dentro del Área de Concesión.
    La Tecnología de Cobro de Peaje debe considerar, a partir de la Puesta en Servicio Provisoria de las Obras de cada Subsector del proyecto y durante toda la Etapa de Explotación, una combinación de tecnologías de cobro, donde coexista un Sistema de Cobro Manual y un Sistema de Cobro Electrónico (Telepeaje) en modalidad Free Flow de acuerdo a lo establecido en el artículo 1.15.1.1 de las Bases de Licitación.
    La Sociedad Concesionaria, en los Puntos de Cobro que considere necesarios, podrá aplicar para el Sistema de Cobro Manual una tecnología que permita el pago automático (tarjeta, monedas, fichas, etc.).
    La Sociedad Concesionaria deberá implementar 7 (siete) Puntos de Cobro troncales: Troncal Requegua, Troncal Las Cabras, Troncal Santa Julia, Troncal Las Arañas, Troncal San Pedro, Troncal San Juan y Troncal Reuss.
    Tabla: Ubicaciones aproximadas para los Puntos de Cobro
      .

    Notas:
    (1) Dm referido a los Antecedentes Referenciales indicados en el artículo 1.4.3 de las Bases de
Licitación.
    (2) En el evento que la Sociedad Concesionaria proponga un nuevo trazado alternativo para el tramo
comprendido entre el Dm 23.500 y Dm 44.300, este Punto de Cobro deberá reubicarse en el trazado
alternativo.
    (3) La Sociedad Concesionaria estará facultada para emplazar este Punto de Cobro antes o después del
Enlace Santa Julia, según estime conveniente.

    Con todo, en el subsector 2 la Sociedad Concesionaria podrá proponer la implementación de 1 (un) Punto de Cobro en lugar de los Puntos de Cobro Troncal Las Cabras y Troncal Santa Julia, entre los Dm 32.700 y 52.300, siempre y cuando su Tarifa Base Máxima sea menor o igual a la suma de las Tarifas Base Máximas de dichos Puntos de Cobro según lo señalado en la Tabla Nº 14 "Tarifa Base Máxima" del artículo 1.14.2 de las Bases de Licitación. Lo anterior también será aplicable si la Sociedad Concesionaria propone un nuevo trazado alternativo para el tramo comprendido entre el Dm 23.500 y Dm 44.300. En este nuevo trazado, la tarifa a cobrar en el o los Puntos de Cobro deberá(n) ser equivalente(s) a las condiciones de los Puntos de Cobro en su ubicación original.
    Asimismo, en el subsector 5 la Sociedad Concesionaria podrá proponer la implementación de 1 (un) Punto de Cobro en lugar de los Puntos de Cobro Troncal San Juan y Troncal Reuss, entre los Dm 128.000 y Dm 134.400, siempre y cuando su Tarifa Base Máxima sea menor o igual a la suma de las Tarifas Base Máximas de dichos Puntos de Cobro según lo señalado en la Tabla Nº 14 "Tarifa Base Máxima" del artículo 1.14.2 de las Bases de Licitación.
    La Sociedad Concesionaria deberá dimensionar adecuadamente la cantidad de pistas por sentido que operarán en cada hora.
    xvi) De conformidad a lo previsto en el artículo 2.2.4 y en el Anexo Nº 4 de las Bases de Licitación, el Concesionario deberá diseñar y construir un sistema informático para la constatación del Nivel de Servicio, identificado por sus siglas SIC-NS que será parte de la arquitectura de Sistemas del Concesionario. Este sistema, que el Concesionario deberá poner oportunamente en servicio, explotar, mantener y actualizar, tendrá por función habilitar una comunicación y control centralizado entre los sistemas de soporte a la operación de la Sociedad Concesionaria y el Inspector Fiscal, de manera que el SIC-NS registre en línea y en tiempo real las actividades unitarias asociadas a la operación de los Servicios Básicos y Especiales Obligatorios que forman parte de la Concesión. El sistema SIC-NS será la herramienta principal con que cuente el Concesionario y el Inspector Fiscal para cumplir con las necesidades de información requeridas para el control, constatación, verificación y fiscalización del Nivel de Servicio prestado por la Sociedad Concesionaria. El diseño, construcción, implementación y mantención de este sistema informático será de responsabilidad, cargo y costo de la Sociedad Concesionaria, durante toda la Concesión.
    xvii) De acuerdo a lo establecido en el artículo 2.4.6.5, en relación con el artículo 2.4.2, ambos de las Bases de Licitación, se considera que el Nivel de Servicio de la Concesión es insuficiente en todos aquellos casos en que el Índice de Servicio Prestado (ISP) de cada trimestre es inferior o igual al valor de 0,980 (98,0%). En estos casos el costo por el desempeño operacional insuficiente del trimestre "t" en el año "n" (CDOt,n) se determinará de acuerdo a los rangos que se establecen en la Tabla siguiente:
    Tabla: Costos por desempeño operacional insuficiente
    .
    xviii) De conformidad con lo establecido en el artículo 2.7 de las Bases de Licitación, durante las Etapas de Construcción y Explotación del Proyecto, el Concesionario deberá asumir la responsabilidad de la protección del medio ambiente y velar por el respeto hacia las comunidades locales que se relacionan con la inserción del proyecto, considerando las necesidades territoriales y sistemas de vida de dichas comunidades como una variable más de su gestión, implementando las medidas necesarias que aseguren un exitoso manejo ambiental y territorial del Proyecto. La Sociedad Concesionaria será solidariamente responsable con los subcontratistas para la aplicación y cumplimiento de la normativa ambiental vigente, y en especial de la ley Nº 19.300 y del Reglamento del Sistema de Evaluación de Impacto Ambiental, y sus modificaciones.
    xix) El Concesionario deberá realizar los pagos por concepto de compensación por relocalización habitacional de acuerdo a los montos y procedimiento establecidos en el artículo 2.7.1.8 número iii) de las Bases de Licitación.
    DERECHOS
    i) Según lo dispuesto en 1.9.2.7, la Sociedad Concesionaria deberá solicitar la autorización de Puesta en Servicio Provisoria Parcial de las Obras en forma independiente para cada uno de los subsectores 1, 2 y 5 y conjuntamente para los subsectores 3 y 4, todos definidos en la Tabla "Sectores y subsectores del Proyecto" del número 1 del presente decreto, tomando en consideración lo indicado en 1.9.2.4 y 1.10.1, todos artículos de las Bases de Licitación. Cada autorización de Puesta en Servicio Provisoria Parcial de las Obras, dará derecho a la explotación del (los) subsector(es) que corresponda(n) y, por tanto, al cobro de las tarifas que procedan, según lo convenido en el Contrato.
    Tabla: Plazo Máximo para la Puesta en Servicio Provisoria Parcial de las Obras de los subsectores del Proyecto
      .

    Nota: Sectores y subsectores conforme a la Tabla "Sectores y subsectores del Proyecto" del número 1 del presente decreto.
    El plazo máximo para la Puesta en Servicio Provisoria Parcial de las Obras de los subsectores definidos en la Tabla "Sectores y subsectores del Proyecto", se contabilizará a partir del inicio de las obras del o los subsector(es) correspondientes, de acuerdo a lo indicado en el artículo 1.9.2.6 de las Bases de Licitación.
    Se entenderá que se autoriza la Puesta en Servicio Provisoria de la Totalidad de las Obras de la Concesión cuando se autorice la última Puesta en Servicio Provisoria Parcial de las Obras, de acuerdo a lo indicado en el artículo 1.10.1 de las Bases de Licitación, por lo tanto el plazo máximo para la Puesta en Servicio Provisoria de la Totalidad de las Obras será de 102 (ciento dos) meses y se contabilizará a partir de la fecha de inicio del plazo de Concesión, indicada en el artículo 1.7.5 de las Bases de Licitación.
    Con todo, si de acuerdo a lo dispuesto en el artículo 1.17 de las Bases de Licitación, la Sociedad Concesionaria propusiera un nuevo trazado alternativo para el tramo comprendido entre el Dm 23.500 y Dm 44.300, el Director General de Concesiones en base a los antecedentes de este nuevo trazado, ampliará el plazo máximo señalado anteriormente para la Puesta en Servicio Provisoria de la Totalidad de las Obras de la Concesión, hasta un plazo máximo total de 156 (ciento cincuenta y seis) meses.
    En el evento que el MOP opte por excluir del Contrato de Concesión el Sector A identificado en el artículo 1.3, de acuerdo a lo señalado en el artículo 1.17, ambos de las Bases de Licitación, se entenderá autorizada la Puesta en Servicio Provisoria de la Totalidad de las Obras cuando se autorice la última Puesta en Servicio Provisoria Parcial de las Obras del Sector B. Si éstas se hubieran autorizado con anterioridad, se entenderá autorizada la Puesta en Servicio Provisoria de la Totalidad de las Obras de la Concesión transcurridos 2 (dos) meses contados desde la fecha en que el MOP comunique a la Sociedad Concesionaria su intención de excluir del contrato el Sector A, en conformidad a lo establecido en el referido artículo 1.17.
    ii) De acuerdo a lo establecido en 1.12.1 y 1.12.1.1, habiendo el Grupo Licitante presentado su Oferta Económica en el Tramo B "Factor de Subsidio" de acuerdo a lo señalado en 3.2.2, todos artículos de las Bases de Licitación, el MOP pagará a la Sociedad Concesionaria por concepto de subsidio a la construcción, con el objeto de aportar al financiamiento de las obras respectivas, 10 (diez) cuotas asociadas a cada Sector, cuyo valor corresponde a UF 669.330 (seiscientos sesenta y nueve mil trescientos treinta Unidades de Fomento) para el sector A y UF 229.770 (doscientos veintinueve mil setecientos setenta Unidades de Fomento) para el Sector B, pagaderas de la forma y dentro de los plazos máximos que se indican a continuación:
    Tabla: Cuotas de Subsidio a la Construcción
      .
    En el caso que, según lo establecido en el artículo 1.17 de las Bases de Licitación, el MOP disponga la exclusión del Sector A del Contrato de Concesión, las cuotas de subsidio a la construcción corresponderán solo al valor cuota definido para el Sector B en la Tabla anterior.
    Cada una de estas cuotas se pagará mediante Vale Vista o Cheque Nominativo extendido a nombre del Consorcio Sacyr.
    iii) De acuerdo a lo dispuesto en los artículos 1.14 y 1.14.1 de las Bases de Licitación, para establecer sus tarifas la Sociedad Concesionaria deberá clasificar los vehículos según lo indicado en la Tabla siguiente:
    Tabla Clasificación Según Tipo de Vehículo(*)
      .

Nota:
(*) En la vía concesionada regirán las normas de dimensiones máximas de los vehículos, establecidas para los caminos públicos contenidas en la resolución Nº 1, de 1995, del MTT, que Establece Dimensiones Máximas a los Vehículos que indica, y sus modificaciones.
    En la eventualidad que el Ministerio de Obras Públicas modifique sus criterios de clasificación de vehículos para efectos del cobro de tarifas, la Sociedad Concesionaria deberá acogerse a la nueva clasificación, manteniendo las restantes condiciones establecidas en las Bases de Licitación, en particular las tarifas asociadas. Esto no dará derecho a la Sociedad Concesionaria a alegar indemnizaciones o compensaciones de ningún tipo por este concepto.
    De conformidad con lo establecido en el artículo 1.14.2 de las Bases de Licitación, la Tarifa Base Máxima (T0) en pesos chilenos que la Sociedad Concesionaria utilizará para el cálculo de la tarifa a cobrar a cada Tipo de Vehículo que pase por los Puntos de Cobro de las Plazas de Peaje cuya ubicación se indica en la Tabla "Ubicaciones aproximadas para los Puntos de Cobro" del artículo 1.13 de las Bases de Licitación, será la que se establece en la siguiente Tabla:
    Tabla: Tarifa Base Máxima
    .
    El Concesionario podrá iniciar el cobro de tarifas en los Puntos de Cobros definidos en la Tabla "Tarifa Base Máxima", una vez que haya obtenido la autorización de la Puesta en Servicio Provisoria Parcial de las Obras del respectivo subsector o subsectores según sea el caso.
    El valor de las Tarifas Base Máxima indicadas en la Tabla precedente está expresado en pesos chilenos ($) al 31 de diciembre de 2015.
    El valor de la Tarifa Base Máxima para cada Punto de Cobro se reajustará a partir del 1º de enero de cada año de explotación o cada vez que se compruebe una inflación acumulada desde la última revisión tarifaria igual o superior al 15%. En este último caso la Tarifa Base Máxima se reajustará en un valor igual a dicha inflación acumulada. Para el cálculo de la Tarifa Base Máxima, en pesos, reajustada se usará la siguiente expresión:
      .
    Para estos efectos, la Sociedad Concesionaria deberá informar el reajuste anual al Inspector Fiscal con, a lo menos, 20 (veinte) días de anticipación al término de cada año calendario de operación, mediante carta, indicando la tarifa que aplicará en el próximo período.
    Según lo dispuesto en el artículo 1.14.4 de las Bases de Licitación, para efectos del cobro de tarifas se deberá considerar los Factores de Tarifas por Tipo de Vehículo que se indican en la Tabla siguiente:
    Tabla: Factores de Tarifas por Tipo de Vehículo(*)
    .

Nota:
(*) En la vía concesionada regirán las normas de dimensiones máximas de los vehículos, establecidas para los caminos públicos contenidas en la resolución Nº 1, de 1995, del MTT, que Establece Dimensiones Máximas a los Vehículos que indica, y sus modificaciones.
    De acuerdo a lo establecido en 1.14.5, la tarifa máxima a cobrar al usuario por tipo de vehículo y sentido en cada Punto de Cobro, será la resultante de aplicar el factor que corresponda según lo señalado en 1.14.4, a la Tarifa Base Máxima reajustada de acuerdo a lo establecido en 1.14.2, todos artículos de las Bases de Licitación, y posteriormente aplicar el correspondiente fraccionamiento tarifario. Lo anterior de acuerdo a lo indicado en la siguiente fórmula:
      .
    Donde,
    Tc: Tarifa a cobrar al usuario.
    Tt: Tarifa Base Máxima determinada de acuerdo a lo señalado en el artículo 1.14.2 de las Bases de Licitación.
    F: Factor por tipo de vehículo, de acuerdo a lo indicado en el artículo 1.14.4 de las Bases de Licitación.
    FRAC: Corresponde a la Función de Fraccionamiento, la cual se aplicará con el fin de facilitar el cobro de peajes a los usuarios. La función FRAC consiste en ajustar la tarifa cada $50, al alza o a la baja, por fraccionamiento. Esta función opera de la siguiente manera:
    . Si el remanente por sobre las centenas de pesos, del resultado de la multiplicación de la tarifa "Tt" por el factor "F", redondeada a su entero superior más cercano para el caso que la fracción sea igual o superior a cinco décimas, o a su entero inferior más cercano para el caso que la fracción sea menor a cinco décimas, es menor a $50, el fraccionamiento se hará a la baja si dicho remanente se encuentra entre $1 y $24, y se hará al alza si dicho remanente se encuentra entre $25 y $49.
    . Si el remanente por sobre las centenas de pesos, del resultado de la multiplicación de la tarifa "Tt" por el factor "F", redondeada a su entero superior más cercano para el caso que la fracción sea igual o superior a cinco décimas, o a su entero inferior más cercano para el caso que la fracción sea menor a cinco décimas, es mayor a $50, el fraccionamiento se hará a la baja si dicho remanente se encuentra entre $51 y $74, y se hará al alza si dicho remanente se encuentra entre $75 y $99.
    El Concesionario deberá implementar para los Usuarios Poco Frecuentes, un sistema de cobro alternativo denominado Pago Tardío de Transacciones (PTT). Este sistema dará derecho a aquellos Usuarios Poco Frecuentes que no cuenten con TAG, a regularizar los tránsitos realizados, agrupados por día calendario, por el o los distintos Puntos de Cobro conforme a lo establecido en el artículo 2.2.3.3.3 de las Bases de Licitación, de manera de no ser catalogado como infractor. Este cobro, para cada pasada por un Punto de Cobro durante un día quedará definido de la siguiente manera:
      .
    Donde:
    PTT(i): Pago Tardío de Transacción en el Punto de Cobro (i)
    Tc(i): Tarifa definida anteriormente en este artículo para el punto de cobro (i).
    F: Factor de recargo por no uso de TAG con un valor de 1,25.
    FRAC: Definido anteriormente en este artículo.
    Si durante el período de la Concesión, la inflación u otras circunstancias hicieran aconsejable variar la Función de Fraccionamiento, la Sociedad Concesionaria podrá proponer de manera justificada, una revisión de dicha Función, lo cual podrá ser aceptado o rechazado por el MOP. En caso de aceptar la proposición, el Director General de Concesiones se pronunciará mediante resolución, con Visto Bueno del Ministerio de Hacienda.
    iv) Percibir un Ingreso Mínimo Garantizado ofrecido por el Estado, cuando procediere, de acuerdo a lo expresado en los artículos 1.12.7 y 1.12.7.1 de las Bases de Licitación, cuyo monto para cada año de explotación de la concesión se indica en la Tabla siguiente:
    Tabla: Ingresos Mínimos Garantizados por el Estado (IMG)
      .

Nota:
(*) Año calendario a partir de la segunda Puesta en Servicio Provisoria Parcial de las Obras del Sector.
    Para efectos de este mecanismo de Ingresos Mínimos Garantizados, para cada Sector se establece como primer año calendario de explotación, aquel que comienza el 1º de enero del año en que se hubiere autorizado la segunda Puesta en Servicio Provisoria Parcial de las Obras correspondientes a dicho Sector. En el caso que, según lo establecido en el artículo 1.17 de las Bases de Licitación, el MOP disponga la exclusión del Sector A del Contrato de Concesión, el Concesionario deberá considerar sólo los Ingresos Mínimos Garantizados del Sector B.
    Para los efectos del cálculo del pago de parte del Estado, para el primer y último año calendario de explotación de la Concesión, en el caso que considere menos de 12 (doce) meses de explotación dentro de dicho año calendario, contados desde la segunda Puesta en Servicio Provisoria Parcial de las Obras de cada Sector, los Ingresos Mínimos Garantizados serán por la proporción (a razón de 1/12 veces el Ymin,t por mes) de los meses que efectivamente operó la Concesión. Para estos efectos sólo se considerarán los meses calendarios completos en que se explotó la Concesión.
    En el caso que la Concesión se extinga antes del término del plazo de cobertura de los Ingresos Mínimos Garantizados, por alguna de las causas señaladas en el artículo 1.11.2 de las Bases de Licitación, la Sociedad Concesionaria, a contar de la fecha de extinción de la Concesión, no tendrá derecho a percibir dichos Ingresos Mínimos.
    v) De acuerdo a lo establecido en el artículo 2.4.6.5, en relación con el artículo 2.4.2, ambos de las Bases de Licitación, el Concesionario tendrá derecho a un estímulo monetario denominado Incentivo al Desempeño Operacional (IDO), en todos aquellos casos en que el Índice del Servicio Prestado (ISP) de cada trimestre sea superior al valor de 0,98 (98,0%).
    21. De acuerdo a lo establecido en 2.4.2, la regulación por Niveles de Servicio tiene por objetivo evaluar el desempeño de la Sociedad Concesionaria, durante toda la Etapa de Explotación, frente a los Estándares de Servicio definidos en las Bases de Licitación. Se regulan por Niveles de Servicio los Servicios Básicos y los Servicios Especiales Obligatorios, de acuerdo a lo establecido en 2.4.3.1, 2.4.4 y 2.4.5, todos artículos de las Bases de Licitación.
    La regulación mediante Niveles de Servicio comprende las exigencias mínimas a cumplir por servicio y que el Concesionario está obligado a desempeñar para alcanzar el Nivel de Prestación del Servicio de acuerdo a lo definido en las Bases de Licitación. Para la cuantificación del cumplimiento de las exigencias se utilizan parámetros que corresponden a los indicadores de servicios, en tanto el estándar de servicio define el nivel mínimo exigido.
    El valor de cada indicador ponderado por un factor específico contribuirá a la determinación del Nivel de Prestación del Servicio, tanto de los Servicios Básicos como de los Servicios Especiales Obligatorios, los que en conjunto conforman el Nivel de Servicio de la Concesión para cada trimestre, de acuerdo a lo previsto en el artículo 2.4.6 de las Bases de Licitación.
    Se ha definido un incentivo al desempeño operacional, denominado IDO, correspondiente a un monto en UF que se abonará al Fondo al Desempeño Operacional en la forma y oportunidad establecidas en las Bases de Licitación y en la medida que el Nivel de Servicio de la Concesión, calculado trimestralmente, cumpla con lo establecido en el artículo 2.4.6.5 de las Bases de Licitación. Del mismo modo, se ha definido un costo por desempeño operacional, denominado CDO, que corresponde a un monto en UF que se cargará al Fondo al Desempeño Operacional, cuando el Concesionario tenga un desempeño insuficiente, de acuerdo a lo establecido en el artículo antes referido.
    22. El Concesionario deberá constituir las siguientes garantías de construcción y de explotación en los plazos indicados en los artículos 1.8.1.1 y 1.8.1.2 de las Bases de Licitación:
    GARANTÍA DE CONSTRUCCIÓN
    De conformidad a lo establecido en el artículo 1.8.1.1 de las Bases de Licitación, en un plazo no menor a 90 (noventa) días antes de la fecha estimada para el inicio de las obras de cada subsector o subsectores definidos en la Tabla "Sectores y subsectores del Proyecto" del número 1 del presente decreto, la Sociedad Concesionaria deberá entregar la Garantía de Construcción correspondiente a dicho subsector o subsectores, según sea el caso. Cada garantía podrá estar constituida por 10 (diez) boletas de garantía bancarias de igual monto, o bien, por una póliza de seguro de garantía para Concesiones de Obras Públicas según lo dispuesto en el artículo 1.8.1.3 de las Bases de Licitación, pagaderas a la vista, emitidas en Santiago de Chile por un Banco o Compañía de Seguros de la plaza, según corresponda, a nombre del Director General de Concesiones de Obras Públicas y cuya glosa y/o materia asegurada deberá ser la siguiente: "Para garantizar el cumplimiento de las obligaciones durante la Etapa de Construcción de la Obra Pública Fiscal denominada 'Concesión Ruta 66, Camino de la Fruta"'. El valor total de cada Garantía de Construcción será el que se indica en la Tabla siguiente:
    Tabla: Valor Total Garantía de Construcción por Subsector
      .

    Notas:
    (1) Subsectores definidos en la Tabla "Sectores y subsectores del Proyecto".
    (2) Garantía de Construcción común para ambos subsectores.
    La Garantía de Seriedad de la Oferta, será devuelta dentro de los 15 (quince) días siguientes a la recepción de la primera Garantía de Construcción, siempre y cuando dicha Garantía haya cumplido, a plena conformidad del MOP, con todas las formalidades exigidas en las Bases de Licitación, de acuerdo con lo dispuesto en la Ley de Concesiones de Obras Públicas y su Reglamento.
    Una vez que haya sido acreditada la ejecución del 30%, 50% u 80% de las obras de el o los subsectores del Proyecto definidos en 1.3, mediante la correspondiente Declaración de Avance conforme a lo señalado en 1.9.2.6, ambos artículos de las Bases de Licitación, la respectiva Garantía de Construcción podrá ser reemplazada por 10 (diez) boletas de garantía bancaria de igual monto, o bien, por una póliza de seguro de garantía para Concesiones de Obras Públicas según lo dispuesto en el artículo 1.8.1.3 de las Bases de Licitación, debiéndose cumplir con las demás condiciones de acuerdo a lo exigido en el primer párrafo del presente número. El plazo de vigencia de la Garantía de Construcción será la diferencia entre el plazo máximo establecido en el artículo 1.9.2.7 para la Puesta en Servicio Provisoria Parcial de las Obras del subsector o subsectores correspondiente y el tiempo transcurrido hasta la correspondiente declaración de avance, más 6 (seis) meses. En este caso, el valor de cada Garantía de Construcción a entregar por el Concesionario, en reemplazo de la garantía que se encuentre vigente, será el que se indica en la Tabla siguiente:
    Tabla: Garantía de Construcción según porcentajes de avance
      .

    Nota:
    (*) Subsectores definidos en la Tabla "Sectores y subsectores del Proyecto".
    La(s) boleta(s) de garantía de construcción deberá(n) permanecer vigente(s) hasta la autorización de Puesta en Servicio Provisoria Parcial de las obras del correspondiente subsector o subsectores según sea el caso, conforme lo señalado en 1.9.2.7, más 6 (seis) meses, debiendo ser renovada(s), a lo menos, 90 (noventa) días antes de su(s) fecha(s) de vencimiento, sin perjuicio que el Concesionario hubiere entregado la Garantía de Explotación correspondiente, según lo indicado en el artículo 1.8.1.2, ambos artículos de las Bases de Licitación.
    La(s) boleta(s) de garantía de construcción que sea(n) reemplazada(s), de acuerdo a lo establecido en el presente número, será(n) devuelta(s) a la Sociedad Concesionaria dentro del plazo de 30 (treinta) días contados desde la fecha de ingreso de la(s) nueva(s) garantía(s), una vez que la Sociedad Concesionaria haya cumplido con todas las exigencias señaladas en las Bases de Licitación. La Garantía de Construcción de cada subsector o subsectores del proyecto será devuelta a la Sociedad Concesionaria una vez otorgada la respectiva autorización de Puesta en Servicio Provisoria Parcial de las Obras señalada en el artículo 1.9.2.7 de las Bases de Licitación, siempre que se haya entregado la Garantía de Explotación correspondiente a conformidad del MOP, y de acuerdo a lo señalado en el Reglamento de la Ley de Concesiones. Cumplido todo lo anterior, el MOP devolverá la respectiva Garantía de Construcción en un plazo máximo de 30 (treinta) días.
    GARANTÍA DE EXPLOTACIÓN
    De conformidad a lo establecido en 1.8.1.2, en la misma fecha en que sea solicitada la Puesta en Servicio Provisoria Parcial de las Obras de los subsectores 1, 2 o 5, o bien de los subsectores 3 y 4 del Proyecto definidos en la Tabla "Sectores y subsectores del Proyecto" del número 1 del presente decreto, según lo dispuesto en 1.9.2.7, ambos artículos de las Bases de Licitación, el Concesionario deberá entregar para la aprobación del MOP la Garantía de Explotación que corresponda según la Tabla "Valor Total Garantía de Explotación por Subsector" de acuerdo a las demás condiciones establecidas en el referido artículo 1.8.1.2.
    Cada Garantía de Explotación del Proyecto, podrá estar constituida por 10 (diez) boletas de garantía bancarias de igual monto, o bien, por una póliza de seguro de garantía para concesiones de obras públicas, de acuerdo a lo dispuesto en el artículo 1.8.1.3 de las Bases de Licitación, y deberán ser pagaderas a la vista, emitidas en Santiago de Chile por un Banco o Compañía de Seguros de la plaza, según corresponda, a nombre del Director General de Concesiones. La glosa y/o materia asegurada deberá ser la siguiente: "Para garantizar el cumplimiento de las obligaciones durante la Etapa de Explotación de la Obra Pública Fiscal denominada 'Concesión Ruta 66, Camino de la Fruta"'.
    El valor total de cada Garantía de Explotación se indica en la Tabla siguiente:
    Tabla: Valor Total Garantía de Explotación por Subsector
      .

    Nota:
    (*) Sectores y subsectores definidos en Tabla "Sectores y subsectores del Proyecto".
    Cada Garantía de Explotación deberá tener un plazo de vigencia igual al de la Etapa de Explotación, para cuyo cálculo deberá considerar el Plazo Máximo de la Concesión indicado en el artículo 1.7.6.2 de las Bases de Licitación, más 12 (doce) meses. No obstante, el Concesionario dentro de los 45 (cuarenta y cinco) días previos a la solicitud de la respectiva Puesta en Servicio Provisoria Parcial de las Obras, podrá solicitar entregar garantías cuya vigencia sea menor, con un plazo no inferior a 5 (cinco) años y renovarlas 12 (doce) meses antes de su término de vigencia. Dentro de los 30 (treinta) días posteriores a la fecha de recepción en la Oficina de Partes de la Dirección General de Concesiones de dicha solicitud, el Director General de Concesiones comunicará por escrito su decisión de rechazo o aceptación. Para el caso de garantías con menor vigencia, el plazo de la última boleta de garantía será lo que reste del período de explotación más 12 (doce) meses. En su defecto, si la constitución de la garantía de Explotación es a través de una póliza de seguro de garantía para Concesiones de Obras Públicas según lo dispuesto en el artículo 1.8.1.3 de las Bases de Licitación, el plazo de vigencia deberá ser el mismo señalado anteriormente para las boletas bancarias, no obstante, en el caso que el Concesionario opte por entregar pólizas de garantía cuya vigencia sea menor, ésta no podrá ser inferior a 18 (dieciocho) meses, debiendo renovarlas antes de su término de vigencia, siempre que ello sea aceptado por el Director General de Concesiones en conformidad con el procedimiento antes indicado. En cualquier caso, el plazo de vigencia de la última póliza de garantía será lo que reste de la Etapa de Explotación más 12 (doce) meses.
    El Director General de Concesiones no otorgará la autorización de Puesta en Servicio Provisoria Parcial de las Obras respectiva, señalada en el artículo 1.10.1 de las Bases de Licitación, si no se da cumplimiento a la obligación de entregar la Garantía de Explotación correspondiente, previamente aprobada por el Inspector Fiscal.
    Dentro de los 30 (treinta) días previos a la fecha estimada de la solicitud de la segunda Puesta en Servicio Provisoria Parcial de las Obras correspondiente a un mismo Sector, el Concesionario podrá reemplazar las Garantías de Explotación vigentes por una única Garantía para dicho Sector, constituida por 10 (diez) boletas de garantía bancarias de igual monto, o bien, por una póliza de seguro de garantía para concesiones de obras públicas, pagaderas a la vista, emitidas en Santiago de Chile por un Banco o Compañía de Seguros de la plaza, según corresponda, a nombre del Director General de Concesiones de Obras Públicas. La glosa y/o materia asegurada deberá ser la siguiente: "Para garantizar el cumplimiento de las obligaciones durante la Etapa de Explotación de la Obra Pública Fiscal denominada 'Concesión Ruta 66, Camino de la Fruta'". La Garantía será por un valor total de UF 160.000 (ciento sesenta mil Unidades de Fomento) para el Sector A y de UF 110.000 (ciento diez mil Unidades de Fomento) para el Sector B.
    La Sociedad Concesionaria deberá entregar una Garantía de Explotación Adicional que tendrá por finalidad asegurar el cumplimiento de las condiciones en las que el Estado recibirá la Concesión, estipuladas en el artículo 1.11.3 de las Bases de Licitación. Dicha garantía será entregada cuando se cumpla que el monto del VPIm supere el 97% del monto del ITC, valorizado según lo indicado en 1.7.6.1, o cuando falten 12 (doce) meses para la extinción del Contrato de Concesión según el Plazo Máximo de la Concesión indicado en 1.7.6.2 de las Bases de Licitación, lo que primero ocurra, mediante 10 (diez) boletas de garantía bancarias, de igual monto, o bien, por una póliza de seguro para Concesiones de Obras Públicas de acuerdo a lo dispuesto en 1.8.1.3, todos artículos de las Bases de Licitación, pagaderas a la vista, emitidas en Santiago de Chile, por un Banco o Compañía de Seguros de la Plaza, según corresponda, a nombre del Director General de Concesiones de Obras Públicas, por un valor total de UF 300.000 (trescientas mil Unidades de Fomento). El plazo de vigencia de esta garantía adicional será de 3 (tres) años contados desde la fecha de su presentación. La glosa y/o materia asegurada de esta garantía será la siguiente: "Para asegurar el cumplimiento de las condiciones en las que el Estado recibirá la Concesión, de acuerdo a lo establecido en las Bases de Licitación de la Obra Pública Fiscal denominada 'Concesión Ruta 66, Camino de la Fruta"'.
    La(s) Garantía(s) de Explotación será(n) devuelta(s) dentro del plazo de 15 (quince) días, contados desde que el Inspector Fiscal certifique que el Concesionario ha cumplido todas las obligaciones contraídas con el MOP.
    La Garantía de Explotación Adicional será devuelta por el MOP dentro del plazo de 15 (quince) días siguientes al término de vigencia de la misma.
    23. Conforme a lo indicado en el artículo 1.11.2 de las Bases de Licitación, el Contrato de Concesión se extinguirá cuando se cumpla algunas de las siguientes causales:
    . Cuando se cumpla lo señalado en el artículo 1.7.6 de las Bases de Licitación.
    . Cumplimiento del plazo máximo de la Concesión señalado en el artículo 1.7.6.2 de las Bases de Licitación.
    . Incumplimiento grave de las obligaciones impuestas a la Sociedad Concesionaria.
    . Mutuo acuerdo entre el MOP y la Sociedad Concesionaria de conformidad con lo dispuesto en el artículo 27 Nº 2 de la Ley de Concesiones.
    . Extinción anticipada según se señala en el artículo 1.11.2.5 de las Bases de Licitación.
    . Extinción anticipada por Interés Público, durante la construcción, de acuerdo a lo establecido en el artículo 1.11.2.6 de las Bases de Licitación y en conformidad con el artículo 28 ter de la Ley de Concesiones.
    24. Conforme a lo señalado en el artículo 1.12.5 de las Bases de Licitación, el Concesionario y el Ministerio de Obras Públicas realizarán los pagos que correspondan en virtud del Contrato de Concesión en los plazos señalados en las Bases de Licitación. En caso que se produzcan retrasos, dichos pagos devengarán un interés real diario equivalente, en base a 360 días, a la tasa de interés TAB UF base 360 publicada por la Asociación de Bancos e Instituciones Financieras o su equivalente en caso que dejare de existir, vigente a la fecha del pago efectivo, lo que debe entenderse sin perjuicio de la aplicación de las multas que correspondan. No obstante lo anterior, el retraso injustificado de los pagos que la Sociedad Concesionaria tenga que realizar al Ministerio de Obras Públicas dará derecho a éste al cobro de la correspondiente garantía, conforme a lo señalado en el artículo 1.8.1 letra j) de las Bases de Licitación.
    25. Las multas que procedan se aplicarán conforme a lo estipulado en las Bases de Licitación y sus Circulares Aclaratorias, y a lo dispuesto en el DS MOP Nº 900, de 1996, que fija el Texto Refundido, Coordinado y Sistematizado del DFL MOP Nº 164, de 1991, Ley de Concesiones de Obras Públicas, y sus modificaciones, y en el DS MOP Nº 956, de 1997, Reglamento de la Ley de Concesiones, y sus modificaciones.
    26. La Dirección General de Concesiones de Obras Públicas será el servicio del Ministerio de Obras Públicas que fiscalizará el Contrato de Concesión en sus diversos aspectos y etapas.
    Anótese, tómese razón y publíquese.- SEBASTIÁN PIÑERA ECHENIQUE, Presidente de la República.- Alfredo Moreno Charme, Ministro de Obras Públicas.- Felipe Larraín Bascuñán, Ministro de Hacienda.
    Lo que transcribo a Ud. para su conocimiento.- Saluda Atte. a Ud., Mariana Concha Mathiesen, Subsecretaria de Obras Públicas Subrogante.