APRUEBA NÓMINA DE POSTULANTES SELECCIONADOS CORRESPONDIENTES A LA SEGUNDA SELECCIÓN DEL LLAMADO EN CONDICIONES ESPECIALES 2019 Y DISPONE ASIGNACIÓN DE RECURSOS PARA LA REGIÓN METROPOLITANA, QUE SE DESTINARÁN AL FINANCIAMIENTO DE SUBSIDIOS PARA EL DESARROLLO DE PROYECTOS DEL PROGRAMA DE PROTECCIÓN DEL PATRIMONIO FAMILIAR EN SU MODALIDAD REGULADA POR EL CAPÍTULO SEGUNDO DE LA ATENCIÓN A CONDOMINIOS DE VIVIENDA SOCIAL
Núm. 264 exenta.- Santiago, 5 de febrero de 2020.
Vistos:
1. El decreto supremo N° 255 (V. y U.), de 2006 y sus modificaciones, que regula el Programa de Protección del Patrimonio Familiar;
2. La resolución N° 533 (V. y U.), de 1997, que Fija Procedimiento para Prestación de Servicios de Asistencia Técnica a Programas de Viviendas que indica y deroga la resolución N° 241 (V. y U.) de 1996;
3. La resolución N° 152 del Ministerio de Hacienda y Ministerio de Vivienda y Urbanismo, de fecha 10 de enero de 2019, que autoriza a efectuar llamados a postulación y/o comprometer recursos en el otorgamiento de subsidios habitacionales durante el año 2019 en Sistemas y Programas que indica;
4. La Circular N° 1, de la Subsecretaría (V. y U.), de fecha 22 de enero de 2019, que fija el Programa Habitacional correspondiente al año 2019 y sus modificaciones;
5. La resolución exenta N° 1.115, de fecha 15 de mayo de 2019, del Ministerio de Vivienda y Urbanismo, y sus modificaciones, que dispone el Llamado 2019 a postulación para el desarrollo de proyectos del Programa de Protección del Patrimonio Familiar en su modalidad regulada por el Capítulo II, de la atención a Condominios de Viviendas Sociales para las regiones que allí se indican;
6. La resolución exenta N° 1.792, de fecha 8 de agosto de 2019, del Ministerio de Vivienda y Urbanismo, que modifica a la resolución exenta N° 1.115, singularizada en el numeral anterior, para los efectos de cambiar, entre otras materias, el cuadro relativo a los plazos del proceso de selección;
7. La resolución exenta N° 2.216, de fecha 27 de septiembre de 2019, del Ministerio de Vivienda y Urbanismo, que modifica a la resolución exenta N° 1.115, singularizada en el numeral 5., incorporando a las regiones de Arica y Parinacota, Antofagasta, Atacama, Ñuble, Los Ríos y Los Lagos, entre otras modificaciones, y remplazando el cuadro de recursos por región;
8. Las resoluciones exentas N° 2.503, de fecha 30 de octubre de 2019, y N° 2.772, de fecha 3 de diciembre de 2019, ambas del Ministerio de Vivienda y Urbanismo, que modifican a la resolución exenta N° 1.115 (V. y U.) de 2019, estableciendo nuevos plazos en el proceso de Selección;
9. La resolución exenta N° 182, de fecha 29 de enero de 2020, del Ministerio de Vivienda y Urbanismo, que modifica a la resolución exenta N° 1.115 (V. y U) de 2019, que modifica y remplaza el cuadro de recursos por región;
10. El oficio N° 5.805, de fecha 27 de diciembre de 2019, de esta Secretaría Ministerial al Jefe de la División de Política Habitacional del Minvu, que solicita redistribuir recursos regionales correspondientes al Programa de Protección del Patrimonio Familiar para la atención de Condominios de Vivienda Social;
11. La resolución exenta N° 1.418, de fecha 30 de mayo de 2019, de la Seremi Región Metropolitana que establece las variables regionales de apreciación para la Comisión Evaluadora del llamado en condiciones especiales 2019 y aprueba documento de "Focalización Intervención Regional CVS 2019";
12. La resolución exenta N° 34, de fecha 7 de enero de 2020, de esta Secretaría Ministerial, que complementa la resolución exenta N° 1.418, en el sentido de complementar la programación y cuadro de recursos asignados para la Región Metropolitana, en el marco de la segunda selección del Llamado Extraordinario de Condominios de Vivienda Social 2019;
13. La resolución exenta N° 241, de fecha 31 de enero de 2020, de esta Secretaría Ministerial, que modifica la resolución exenta N° 1.418, en el sentido de reemplazar la programación y complementar el cuadro de recursos asignados para la Región Metropolitana en el marco de la segunda selección del Llamado Extraordinario de Condominios de Vivienda Social 2019;
14. La resolución exenta N° 116, de fecha 16 de enero de 2020, de esta Secretaría Ministerial, que complementa la resolución exenta N° 1.418, que establece las variables regionales de apreciación de la Comisión Evaluadora y actualiza variable factor comunal del documento "Focalización Intervención Regional CVS 2019" en el marco del Llamado Extraordinario de Condominios de Vivienda Social 2019;
15. El correo electrónico de la Jefa del Subdepartamento de Subsidios para Mejoramiento de Viviendas y Entorno, del Departamento de Asignación de Subsidios Habitacionales de la Subdirección de Operaciones Habitacionales del Serviu Metropolitano, de fecha 26 de diciembre de 2019, doña Marcela Barrera, que informa proyectos calificados hábiles y adjunta planilla final de calificación CVS correspondiente al segundo proceso de postulación 2019;
16. Los correos electrónicos del Subdepartamento de Subsidios para Mejoramiento de Viviendas y Entorno, del Departamento de Asignación de Subsidios Habitacionales de la Subdirección de Operaciones Habitacionales del Serviu Metropolitano, de fechas 21 de enero de 2020 y 22 de enero de 2020, respectivamente, que corrigen la planilla de calificaciones;
17. El correo electrónico de la Coordinadora del Equipo de Vivienda Existente del Departamento de Estudios del Serviu Metropolitano, de fecha 3 de enero de 2020, doña Alejandra Marambio, que informa los resultados de la revisión técnico-económica, mediante una planilla adjunta de proyectos aprobados por el Departamento de Estudios que consolida la información sobre tipologías y montos de subsidio aprobados de proyectos calificados correspondientes al segundo proceso de selección del Llamado Extraordinario de Condominios de Vivienda Social 2019;
18. El correo electrónico de la Secretaria Técnica Regional del Programa de Recuperación de Barrios de esta Secretaría, de fecha 13 de enero de 2020, que adjunta los archivos .kmz de los polígonos del Programa de Recuperación de Barrios para el segundo proceso de selección 2019;
19. El correo electrónico de la profesional de la División de Política Habitacional del Minvu, de fecha 20 de enero de 2020, doña Claudia Bruna, que informa digitación de proyectos CVS correspondiente al segundo proceso de postulación 2019;
20. El Oficio N° 613, de fecha 20 de enero de 2020, del Subdirector de Operaciones Habitacionales del Serviu Metropolitano, que informa la actualización del estado de Plan de Habilitación Social de los Prestadores de Asistencia Técnica que participan en el segundo proceso de Selección del Llamado Extraordinario CVS 2019;
21. El memorándum N° 8, de fecha 21 de enero de 2020, del Jefe de la Asesoría Jurídica de la Seremi Metropolitana de Vivienda y Urbanismo, que informa la inhabilidad del PSAT Consultora Arena SpA, al segundo proceso de postulación 2019.
22. El oficio N° 1.089, de fecha 30 de enero de 2020, de la Directora (S) del Serviu Metropolitano, que informa la cantidad de beneficiarios atendidos por Entidades de Asistencia Técnica;
23. La planilla de seguimiento de vigencia de subsidios del Programa de Protección del Patrimonio Familiar en su modalidad regulada por el Capítulo II, de la atención a Condominios de Viviendas Sociales, actualizada al 24 de enero de 2020, que determina la inhabilidad por vigencia de subsidios al segundo proceso de selección 2019 a las Entidades Patrocinantes: "Arco Estudio Ltda.", "Crear Asociados S.A.", "Gestión Inmobiliaria Santiago", "Gestión y Proyectos Inmobiliarios Rucalhue Ltda.", "Ilustre Municipalidad de Cerro Navia", "Ilustre Municipalidad de Colina", "Ilustre Municipalidad de Ñuñoa", "QL SpA", "Verde Azul Ltda." y por capacidad de atención las siguientes PSAT; "Likán Gestión Inmobiliaria" y "Gestión y Proyectos E.I.R.L.";
24. El Acta de fecha 30 de enero de 2020, de la sesión de la Comisión Evaluadora de prelación y asignación del segundo proceso de selección de CVS 2019;
25. La resolución exenta N° 262 de fecha 4 de febrero de 2020, de la Seremi Región Metropolitana, que establece orden de prelación de nómina de copropiedades de proyectos aprobados correspondientes al segundo proceso de selección establecido en el resuelvo 9, de la resolución exenta N° 1.115 (V. y U.), de fecha 15 de mayo de 2019 y sus modificaciones correspondientes al Llamado Extraordinario de Condominios Sociales 2019;
26. Las facultades que me confieren el DS N° 397 (V. y U.) de 1976, que fija el Reglamento Orgánico de las Secretarías Ministeriales de Vivienda y Urbanismo;
27. El DS N° 41, de fecha 18 de diciembre de 2019, que nombra al infrascrito como Secretario Ministerial Metropolitano de Vivienda y Urbanismo.
28. La resolución N° 7 de 2019, de la Contraloría General de la República.
Considerando:
1. Que, el Serviu Región Metropolitana calificó favorablemente todas las factibilidades, incluida la digitación en Rukan, de 204 proyectos del año 2019, ingresados para la postulación del año en curso;
2. Que, mediante el Acta de la Comisión Técnica Evaluadora de fecha 30 de enero de 2020, se estableció el orden de prelación de 137 proyectos postulantes, de acuerdo a lo señalado en la resolución exenta N° 1.115 (V. y U.) de 2019 y sus modificaciones, y la resolución exenta N° 1.418, de 2019 y sus modificaciones, del Seremi de la Región Metropolitana, citada en el visto 24. de esta resolución exenta, y en el DS N° 255 (V. y U.), de 2006;
3. Que, los recursos disponibles están consignados en la resolución exenta N° 1.115 (V. y U.) de 2019 y sus modificaciones, particularmente la resolución exenta N° 182 (V. y U.), de fecha 29 de enero de 2020 y la resolución de prelación, citada en el visto 25., dicto la siguiente:
Resolución:
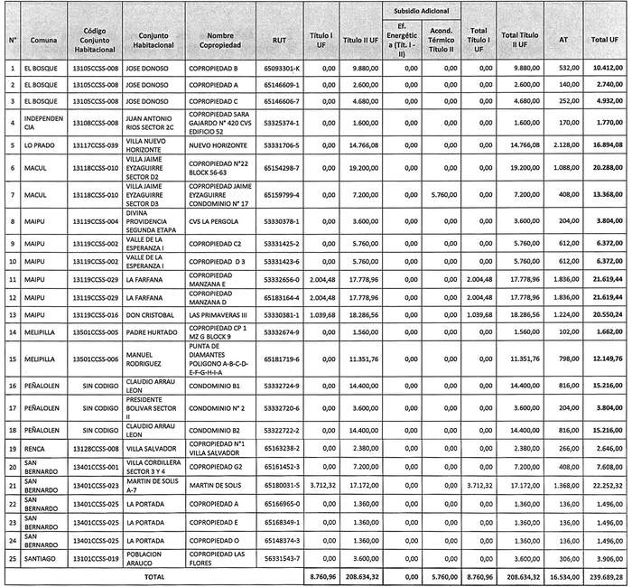
1. Asígnense los recursos disponibles para la selección de los postulantes correspondientes al llamado 2019, para el desarrollo de proyectos en Condominios de Viviendas Sociales que conforman la Demanda General del programa, calificados en el segundo proceso de selección del año 2019, que se destinarán al financiamiento de los subsidios y al pago de los servicios de asistencia técnica, según la distribución que se señala a continuación:
Postulación Comunidad de Copropietarios:

Postulación Familias:

2. Asígnense los recursos disponibles para la selección de los postulantes correspondientes al llamado 2019, para el desarrollo de proyectos en Condominios de Viviendas Sociales insertos en conjuntos del Programa de Recuperación de Barrios período 2014-2019, calificados en el segundo proceso de selección del año 2019, que se destinarán al financiamiento de los subsidios y al pago de los servicios de asistencia técnica, según la distribución que se señala a continuación:
Postulación Comunidad de Copropietarios:

3. Asígnense los recursos disponibles para la selección de los postulantes correspondientes al llamado 2019, para el desarrollo de proyectos en Condominios de Viviendas Sociales de Interés Regional correspondientes al Plan Integral Bajos de Mena, calificados en el segundo proceso de selección del año 2019, que se destinarán al financiamiento de los subsidios y al pago de los servicios de asistencia técnica, según la distribución que se señala a continuación:
Postulación Comunidad de Copropietarios:

4. Asígnense los recursos disponibles para la selección de los postulantes correspondientes al llamado 2019, para el desarrollo de proyectos en Condominios de Viviendas Sociales de Interés Regional correspondientes a proyectos de Ampliación, calificados en el segundo proceso de selección del año 2019, que se destinarán al financiamiento de los subsidios y al pago de los servicios de asistencia técnica, según la distribución que se señala a continuación:
Postulación Comunidad de Copropietarios:

5. Fíjese el número de postulantes seleccionados en la Región Metropolitana de acuerdo a la distribución regional de recursos consignada en el resuelvo 18 para los proyectos que se financiarán conforme lo dispone el resuelvo 17, ambos de la resolución exenta N° 1.115 (V. y U.), de 2019, modificada por la resolución exenta N° 182, de fecha 29 de enero de 2020, según se indica en las siguientes tablas:
5.a Demanda General
Postulación Comunidad de Copropietarios:

Postulación Familias:

5.b Condominios de Vivienda Social insertos en conjuntos del Programa de Recuperación de Barrios período 2014-2019.
Postulación Comunidad de Copropietarios:

5.c Condominios Sociales de Interés Regional correspondientes al Plan Integral Bajos de Mena.
Postulación Comunidad de Copropietarios:

5.d Condominios Sociales de Interés Regional correspondientes a proyectos de Título III- Ampliaciones.
Postulación Comunidad de Copropietarios:

5. Apruébanse las nóminas de postulantes correspondientes a los proyectos seleccionados, de acuerdo a las tablas que se adjuntan y se entenderán forman parte de la presente resolución exenta.
6. Impútese el monto total de 349.779,98 Unidades de Fomento asignados en esta resolución exenta, a los recursos autorizados a la Región Metropolitana, para el Programa de Protección del Patrimonio Familiar del año 2019, para Condominios de Vivienda Social.
7. Publíquese un extracto de la presente resolución exenta en el Diario Oficial, por parte de la Seremi Región Metropolitana y, de acuerdo a lo establecido en el DS N° 255 (V. y U.), de 2006, el Serviu de la Región Metropolitana, deberá publicar en al menos un periódico de circulación regional, un aviso que indique el lugar y fecha en que serán publicadas las nóminas de postulantes y proyectos beneficiados, de acuerdo a lo señalado en el Resuelvo N° 5 de la presente resolución exenta.
NOTA
La Resolución 986 Exenta, Vivienda, publicada el 13.08.2020, modifica la tabla inserta en el numeral numeral 1 de la presente norma denominada "Postulación Comunidad de Copropietarios", en el sentido de incrementar en montos para el Título II del proyecto "Nuevo Horizonte", de la comuna de Lo Prado, patrocinado por el PSAT P al Cubo y del proyecto "Copropiedad Nº 1 Villa El Salvador", comuna de Renca, patrocinado por el PSAT Asistec Nova, reemplazando los números 5 y 19 de por los que la citada norma indica.
La Resolución 986 Exenta, Vivienda, publicada el 13.08.2020, modifica la tabla inserta en el numeral numeral 1 de la presente norma denominada "Postulación Comunidad de Copropietarios", en el sentido de incrementar en montos para el Título II del proyecto "Nuevo Horizonte", de la comuna de Lo Prado, patrocinado por el PSAT P al Cubo y del proyecto "Copropiedad Nº 1 Villa El Salvador", comuna de Renca, patrocinado por el PSAT Asistec Nova, reemplazando los números 5 y 19 de por los que la citada norma indica.
NOTA 1
El numeral 1 de la Resolución 1195 Exenta, Vivienda, publicada el 14.10.2020, modifica el numeral 1 de la presente norma, en el sentido de incluir en la asignación las copropiedades: "MZ J Sitio 1" de la comuna de Cerrillos; "Condominio 4" de la comuna de Pudahuel y "Cop. Sitio 1 Manzana 58", de la comuna de Peñalolén, correspondientes al llamado 2019, para el desarrollo de proyectos en Condominios de Viviendas Sociales que conforman la Demanda General del programa, y Postulación Comunidad de Copropietarios. Asimismo, el numeral 2 de la citada Resolución dispone complementar en el resuelvo Nº 5 de esta norma, el número de postulantes seleccionados en la Región Metropolitana de la manera que la citada norma indica.
El numeral 1 de la Resolución 1195 Exenta, Vivienda, publicada el 14.10.2020, modifica el numeral 1 de la presente norma, en el sentido de incluir en la asignación las copropiedades: "MZ J Sitio 1" de la comuna de Cerrillos; "Condominio 4" de la comuna de Pudahuel y "Cop. Sitio 1 Manzana 58", de la comuna de Peñalolén, correspondientes al llamado 2019, para el desarrollo de proyectos en Condominios de Viviendas Sociales que conforman la Demanda General del programa, y Postulación Comunidad de Copropietarios. Asimismo, el numeral 2 de la citada Resolución dispone complementar en el resuelvo Nº 5 de esta norma, el número de postulantes seleccionados en la Región Metropolitana de la manera que la citada norma indica.
Anótese, notifíquese y publíquese.- Manuel José Errázuriz Tagle, Secretario Ministerial Metropolitano de Vivienda y Urbanismo.