APRUEBA NÓMINA DE POSTULANTES SELECCIONADOS CORRESPONDIENTES AL SEGUNDO CIERRE DEL LLAMADO NACIONAL 2019 Y DISPONE ASIGNACIÓN DE RECURSOS PARA LA REGIÓN DEL LIBERTADOR GENERAL BERNARDO O'HIGGINS, QUE SE DESTINARÁN AL FINANCIAMIENTO DE SUBSIDIOS PARA EL DESARROLLO DE PROYECTOS DEL PROGRAMA DE PROTECCIÓN DEL PATRIMONIO FAMILIAR EN SU MODALIDAD REGULADA POR EL CAPÍTULO SEGUNDO DE LA ATENCIÓN A CONDOMINIOS DE VIVIENDA SOCIAL

    Núm. 100 exenta.- Rancagua, 31 de enero de 2020.
     
    Visto:
     
    a) Lo dispuesto en la ley Nº 18.575, Ley Orgánica Constitucional de Bases General de la Administración del Estado, del Ministerio del Interior, publicada en el Diario Oficial de fecha 5 de diciembre de 1986, en su artículo 2º y artículo 41º, en su inciso final.
    b) En la ley Nº 16.391, del Ministerio de Obras Públicas, publicada en el Diario Oficial de 16 de diciembre de 1965, que crea el Ministerio de Vivienda y Urbanismo.
    c) Decreto ley Nº 1.305, del Ministerio de Vivienda y Urbanismo, de 1976, que reestructura y regionaliza el Ministerio de Vivienda y Urbanismo.
    d) Decreto exento RA Nº 272/44/2018 que establece orden de subrogación de esta Secretaría Regional Ministerial de la Región del Lib. Gral. Bernardo O'Higgins, en caso de ausencia o impedimento del titular.
    e) Las facultades que me confiere el decreto supremo Nº 397, del Ministerio de Vivienda y Urbanismo, del año 1976, publicado en el Diario Oficial el 8 de febrero de 1977, que establece el Reglamento Orgánico de las Secretarías Ministeriales de Vivienda y Urbanismo, incluidas todas sus modificaciones.
    f) Ley 19.880 sobre bases de los procedimientos administrativos que rigen los actos de los órganos de la Administración del Estado.
    g) Actas Comisión Técnica Evaluadora del Programa de Condominios de Vivienda Social de Serviu Región del Lib. Gral. Bernardo O'Higgins, de fecha 13 de diciembre de 2019, que indica el desglose de los montos de las partidas descritas en la presente resolución.
    h) El DS N° 255 (V. y U.), de 2006, y sus modificaciones, que regula el Programa de Protección del Patrimonio Familiar.
    i) Resolución exenta Nº 533, de 1997, que fija procedimientos para prestación de servicios de asistencia técnica a programas de vivienda que indica y deroga la resolución Nº241 (V. y U.) de 1996.
    j) La circular Nº 5, de la Subsecretaría de Vivienda y Urbanismo, de 3 de abril de 2019, que Modifica Metas Programa Habitacional correspondiente al año 2019.
    k) La resolución exenta Nº 1.115 de fecha 15 de mayo de 2019, del Ministerio de Vivienda y Urbanismo, que aprueba el llamado 2019 a postulación para el desarrollo de proyectos del Programa de Protección del Patrimonio Familiar en su modalidad regulada por el capítulo II, de la atención a condominios de viviendas sociales para las regiones que allí se indican, y sus modificaciones, y en especial su última modificación, a través de la resolución exenta Nº 182, de fecha 29.01.2020.
    l) La resolución exenta Nº 833 de Seremi Minvu Región del Lib. Gral. Bernardo O'Higgins, de fecha 10 de octubre de 2019, que establece los montos destinados para el segundo proceso de selección del llamado 2019 para el desarrollo de proyectos del Programa de Protección del Patrimonio Familiar, para la Región del Libertador General Bernardo O'Higgins, modificada por resolución exenta Nº 93 de fecha 31.01.2020.
    m) Resolución exenta Nº 99 de fecha 31.01.2020, de esta Seremi Minvu que aprueba Acta de comisión evaluadora Serviu-Seremi de fecha 30-12-2019, proceso de prelación de proyectos seleccionables para el Llamado Nacional Programa de Protección del Patrimonio Familiar para condominios de vivienda social, según lo indicado en resolución exenta Nº 1.115 (V. y U.) de 2019.
    n) Lo dispuesto en la resolución Nº 7 de 2019, de la Contraloría General de la República.
     
    Considerando:
     
    a. Que, el decreto 272/44/2018, citado en el visto d) de la presente resolución, fija el orden de subrogación del cargo de Secretario Regional Ministerial, en los casos de ausencia o impedimento del mismo, el que corresponde a quien suscribe el presente acto administrativo.
    b. Que, por resolución exenta citada en el visto k) se llamó a postulación nacional para el desarrollo de proyectos del Programa de Protección del Patrimonio Familiar en su modalidad regulada por el capítulo II.
    c. Que, de acuerdo a lo anterior, cabe seleccionar y asignar recursos a los proyectos, según los montos otorgados para la Región de O'Higgins, en resolución exenta Nº 182 de fecha 29.01.2020 del Minvu y distribuidos de acuerdo a la resolución exenta Nº 833 del 10.10.2019, modificada por la resolución exenta Nº 93 de fecha 31.01.2020, ambas de esta Seremi Minvu, lo que se individualiza en lo resolutivo de la presente.
    d. Que, de la interpretación armónica de los vistos y considerandos precedentes, determinan la dictación de la presente,
     
    Resolución:

     
    1.- Asígnese los recursos disponibles para la selección de los postulantes correspondientes al llamado nacional Res. Ex. Nº 1.115 de fecha 15 de mayo de 2019, para el desarrollo de proyectos en Condominios de Viviendas Sociales, que se destinarán al financiamiento de los subsidios y al pago de los servicios de asistencia técnica, según la distribución que se señala a continuación:
     
    Postulación Comunidad de CopropietariResolución 791 EXENTA,
VIVIENDA
I a)
D.O. 14.10.2020
os
    .
    .

    2.- Fíjase el número de postulantes seleccionados en la Región del Libertador General Bernardo O'Higgins de acuerdo a la distribución regional de recursos consignada en el resuelvo Nº 1 de la resolución exenta Nº 833 de fecha 10 de octubre de 2019 y sus modificaciones, de Seremi Minvu Región del Lib. Gral. Bernardo O'Higgins, según se indica en las siguientes Resolución 791 EXENTA,
VIVIENDA
I b)
D.O. 14.10.2020
tablas:
.
.
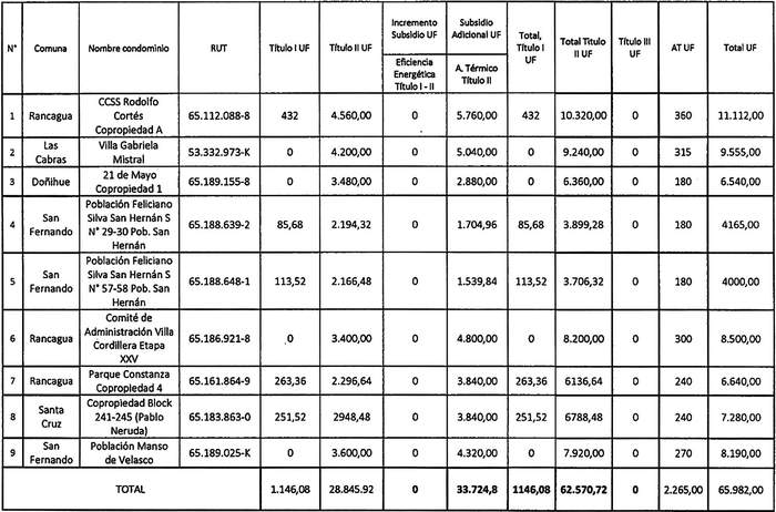
    3.- Apruébense las nóminas de postulantes correspondientes a los proyectos seleccionados, de acuerdo a las siguientes tablResolución 791 EXENTA,
VIVIENDA
I c)
D.O. 14.10.2020
as:
.
.
.
.
.
.
.
.
.
.

.

.

.

.

.

.

.

.

.

.

.

.

.
    4.- Impútese el monto total de 65.982,0 Unidades de Fomento asignados en esta resolución, de acuerdo a los recursos autorizados a la Región del Libertador General Bernardo O'Higgins, para el Programa de Protección del Patrimonio Familiar del llamado nacional año Res. Ex. Nº 1.115 de fecha 15 de mayo de 2019, para condominios sociales, y sus modificaciones.
    5.- Publíquese un extracto de la presente resolución en el Diario Oficial, por parte de la Seremi Minvu Regional y, de acuerdo a lo establecido en el artículo 27 del DS 255, Serviu deberá publicar en al menos un periódico de circulación regional, un aviso que indique el lugar y fecha en que serán publicadas las nóminas de postulantes y proyectos beneficiados, de acuerdo al resuelvo Nº3 de la presente resolución.
     

    Anótese, notifíquese y publíquese.- Joel Becerra Fuentes, Secretario Regional Ministerial de Vivienda y Urbanismo (S) Región del Libertador General Bernardo O'Higgins.