APRUEBA SEGUNDO PROCESO DE SELECCIÓN DE POSTULANTES CORRESPONDIENTES AL LLAMADO EN CONDICIONES ESPECIALES 2019 Y DISPONE ASIGNACIÓN DE RECURSOS PARA LA REGIÓN DE LA ARAUCANÍA QUE SE DESTINARÁN AL FINANCIAMIENTO DE SUBSIDIOS PARA EL DESARROLLO DE PROYECTOS DEL PROGRAMA DE PROTECCIÓN DEL PATRIMONIO FAMILIAR EN SU MODALIDAD REGULADA POR EL CAPÍTULO II DE LA ATENCIÓN A CONDOMINIOS DE VIVIENDAS SOCIALES
Núm. 138 exenta.- Temuco, 31 de enero de 2020.
Vistos:
a) Las facultades del DS Nº 397 (V. y U.), de 1976, Reglamento Orgánico de las Secretarías Regionales Ministeriales de Vivienda y Urbanismo.
b) El DL Nº 1.305 de 1976, que reestructura y regionaliza el Ministerio de Vivienda y Urbanismo.
c) El DS Nº 255 (V. y U.), de 2006, que regula el Programa de Protección del Patrimonio Familiar.
d) La resolución exenta Nº 533 (V. y U.) de 1997, que fija Procedimiento para Prestación de Servicios de Asistencia Técnica a Programas de Viviendas que indica.
e) La circular Nº 5 de la Subsecretaría de Vivienda y Urbanismo 2019, que fija Programa Habitacional correspondiente al año en curso.
f) La resolución exenta Nº 1.115 (V. y U.), de 2019, que llama a postulación en condiciones especiales para el Desarrollo de Proyectos del Programa de Protección del Patrimonio Familiar en su modalidad regulada por el Capítulo II de la Atención a Condominios de Viviendas Sociales 2019.
g) La resolución exenta Nº 1.260 (V. y U.), de fecha 17.05.2017, que certifica como vivienda objeto, los Condominios de Viviendas Sociales a Torres del Ñielol II y Conjunto Habitacional Villa Andina, de la ciudad de Temuco.
h) La resolución exenta Nº 870 (V. y U.), de fecha 24.07.2018, que certifica como vivienda objeto al Condominio de Vivienda Social Los Notros, de la comuna de Carahue.
i) La resolución exenta Nº 859 (V. y U.), de fecha 20.07.2018, que certifica como vivienda objeto a los Condominios de Vivienda Social; Millahuin y Rayen Pulmahue II, comuna de Padre las Casas.
j) La resolución exenta Nº 780 (V. y U.), de fecha 31.05.2019, certifica como vivienda objeto al Condominio de Vivienda Social Aillacara de la comuna de Padre las Casas.
k) La resolución exenta Nº 781 (V. y U.), de fecha 31.05.2019, certifica como vivienda objeto al Condominio de Vivienda Social Santa Clara, de la comuna de Padre las Casas.
l) La resolución Nº 774 (V. y U.), de fecha 28.05.2019, emitida por esta Secretaría Regional Ministerial, que identifica factores de prelación, para la selección de Proyectos del Programa de Protección del Patrimonio Familiar en su modalidad regulada por el Capítulo II de la atención a Condominios de Viviendas Sociales 2019.
m) La resolución Nº 1.792 (V. y U.), de fecha 08.08.2019, que modifica el llamado 2019 a postulación para el Desarrollo de Proyectos del Programa de Protección del Patrimonio Familiar en su modalidad regulada por el Capítulo II de la Atención a Condominios de Viviendas Sociales.
n) La resolución exenta Nº 2.216 (V. y U.), de fecha 27.09.2019, que modifica el llamado 2019 a postulación para el Desarrollo de Proyectos del Programa de Protección del Patrimonio Familiar en su modalidad regulada por el Capítulo II de la Atención a Condominios de Viviendas Sociales.
o) La resolución exenta Nº 1.374 (V. y U.), de fecha 30.09.2019, que aprueba nómina de postulantes seleccionados correspondientes al llamado en condiciones especiales 2019 y dispone asignación de recursos para la Región de la Araucanía que se destinarán al financiamiento de subsidios para el desarrollo de proyectos del programa de protección del patrimonio familiar en su modalidad regulada por el capítulo ii de la atención a condominios de vivienda social.
p) La resolución exenta Nº 182 (V. y U.), de fecha 29.01.2020, que modifica la resolución exenta Nº 1.115 (V. y U.) de 2019, llamado a postulación para el desarrollo de proyectos del Programa de Protección del Patrimonio Familiar en la modalidad regulada por su capítulo segundo, de la atención a condominios de viviendas sociales.
q) Acta de la Comisión Evaluadora, que establece el orden de prelación de las copropiedades postulantes al llamado en condiciones especiales para proyectos en Condominios Sociales 2019.
r) La Res. Nº 7 de 2019, de la Contraloría General de la República.
s) El DS Nº 44 de fecha 16 de mayo de 2018 (V. y U.) que designa al suscrito en el cargo de Secretario Regional Ministerial de Vivienda y Urbanismo, Región de la Araucanía.
Considerando:
a) La necesidad de atender a través del Programa de Protección de Patrimonio Familiar a condominios sociales que presenten un alto nivel de deterioro.
b) Que, Serviu Región de la Araucanía, calificó favorablemente las factibilidades de 2 proyectos para la postulación del año 2019 segundo proceso de selección.
c) Que, mediante Acta de Comisión Técnica Evaluadora, se estableció el orden de prelación de los proyectos postulantes, de acuerdo a lo señalado en las resoluciones Nº 1.115 (V. y U.) de 2019, la Res. Nº 774, Región de la Araucanía y, al DS Nº 255 (V. y U.) de 2006.
d) Los recursos disponibles consignados en el numeral Nº 1 de la Res. Ex. Nº 182 (V. y U.) de 2020, dicto la siguiente:
Resolución:
1.- Asígnese los recursos disponibles para la selección de los postulantes correspondientes al llamado 2019, para el Desarrollo de Proyectos en Condominios Sociales, que se destinarán al financiamiento de los subsidios y al pago de los servicios de asistencia técnica, según la distribución que se señala a continuación:

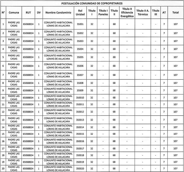
Postulación Comunidad de Copropietarios
2.- Fíjese el número de postulantes seleccionados en la Región de la Araucanía de acuerdo a la distribución regional de recursos consignados en el resuelvo Nº 17, de la Res. Nº 1.115, modificado por resuelvo Nº 1. Letra b) de la Res. Nº 2.216 de fecha 27.09.2019 para los proyectos que se financiarán conforme al resuelvo Nº 16 de la Res. Nº 1.115, modificado por el resuelvo 1 de la Res. Nº 182, según se indica en la siguiente tabla:

3.- Aprúebanse las nóminas de postulantes correspondientes a los proyectos seleccionados, de acuerdo al anexo Nº 1.
4.- Impútese el monto de 7686 Unidades de Fomento asignados en esta resolución, a los recursos autorizados a la Región de la Araucanía, para el Programa de Protección Familiar del año 2019, para Condominios Sociales.
5.- Publíquese un extracto de la presente resolución en el Diario Oficial, por parte de la Seremi Regional, de acuerdo a lo establecido en el DS Nº 255 (V. y U.), de 2006. Por su parte, Serviu deberá publicar en, al menos, un periódico de circulación regional, un aviso que indique el lugar y fecha en que serán publicadas las nóminas de postulantes y proyectos beneficiados, de acuerdo al resuelvo Nº 3 de la presente resolución.
Anótese, notifíquese y publíquese.- Pablo Artigas Vergara, Secretario Regional Ministerial de Vivienda y Urbanismo, Región de la Araucanía.
ANEXO 1

