ESTABLECE DISPOSICIONES TÉCNICAS PARA LA IMPLEMENTACIÓN DE LA LEY N° 21.185
Núm. 72 exenta.- Santiago, 5 de marzo de 2020.
Vistos:
a) Lo dispuesto en el artículo 9° letra h) del DL N° 2.224, de 1978, que crea el Ministerio de Energía y la Comisión Nacional de Energía, en adelante e indistintamente, "la Comisión", modificado por ley N° 20.402, que crea el Ministerio de Energía;
b) Lo señalado en el DFL N° 4, del Ministerio de Economía, Fomento y Reconstrucción, de 2006, que fija el texto refundido, coordinado y sistematizado del DFL N° 1, de Minería, de 1982, Ley General de Servicios Eléctricos, y sus modificaciones posteriores, en adelante e indistintamente "la Ley Eléctrica";
c) Lo dispuesto en la ley N° 21.185, que crea un mecanismo transitorio de estabilización de precios de energía eléctrica para clientes sujetos a regulación de tarifas;
d) Lo dispuesto en la ley N° 21.194, que rebaja la rentabilidad de las empresas de distribución y perfecciona el proceso tarifario de distribución eléctrica;
e) Lo establecido en el decreto supremo N° 20T, del Ministerio de Energía, de 2018, que fija precios de nudo promedio en el Sistema Eléctrico Nacional, de acuerdo al artículo 158° de la Ley General de Servicios Eléctricos y fija ajustes y recargos por aplicación del mecanismo de equidad tarifaria residencial, en adelante e indistintamente "Decreto 20T";
f) Lo dispuesto en el decreto supremo N° 86, de 2012, del Ministerio de Energía, que aprueba reglamento para la fijación de precios de nudo, y sus posteriores modificaciones, en adelante e indistintamente "Decreto Supremo N° 86";
g) Lo dispuesto en la resolución exenta N° 703, de la Comisión, de 2018, que modifica resolución exenta N° 778, que establece plazos, requisitos y condiciones para la fijación de precios de nudo promedio, de fecha 15 de noviembre de 2016, modificada por resoluciones exentas N° 203 y N° 558, ambas de 2017, y fija texto refundido de la misma, en adelante e indistintamente "Resolución N° 703"; y,
h) La resolución N° 7, de 2019, de Contraloría General de la República.
Considerando:
1. Que con fecha 2 de noviembre de 2019, se publicó en el Diario Oficial la ley N° 21.185 que crea un mecanismo transitorio de estabilización de precios de energía eléctrica para clientes sujetos a regulación de tarifas;
2. Que la citada ley N° 21.185 establece que, en el período comprendido entre el 1 de julio de 2019 y el 31 de diciembre de 2020, los precios que las concesionarias de servicio público de distribución podrán traspasar a sus clientes regulados corresponderán a los niveles de precio contenidos en el decreto 20T, y se denominarán Precio Estabilizado a Cliente Regulado, en adelante "PEC";
3. Que, asimismo, la citada ley dispone que, en el período comprendido entre el 1 de enero de 2021 y hasta el término del mecanismo de estabilización, los precios que las empresas concesionarias de distribución podrán traspasar a sus clientes regulados serán aquellos definidos en las fijaciones semestrales a que se refiere el artículo 158° de la Ley Eléctrica, los que en cualquier caso no podrán ser superiores al PEC ajustado de acuerdo al Índice de Precios al Consumidor (IPC) a partir del 1 de enero de 2021 con base en la misma fecha, en adelante "PEC Ajustado";
4. Que la normativa vigente consagra el principio de traspaso de los costos relativos a la compra de suministro en la relación comercial existente entre las empresas concesionarias de servicio público de distribución y los clientes regulados, tanto en lo referido a los precios así como a los cargos asociados al suministro de energía, junto con aquellos saldos y diferencias generadas con motivo de la estructura tarifaria vigente, lo que es consistente con lo señalado en el artículo 181° de la ley. Así, la ley N° 21.185 no altera dicho principio;
5. Que el artículo 2° de la ley N° 21.185, establece que la Comisión mediante resolución exenta establecerá las reglas necesarias para la implementación del mecanismo de estabilización de precios;
6. Que como consecuencia de lo dispuesto en los considerandos anteriores, los precios de nudo promedio que se encuentren vigentes al momento de la publicación de la presente resolución continuarán vigentes, mientras no sean fijados los nuevos precios de nudo promedio, de conformidad a lo dispuesto en la Ley General de Servicios Eléctricos, la ley N° 21.185 y en la presente resolución;
7. Que el artículo decimotercero transitorio de la ley N° 21.194, dispone que para el caso de los sistemas medianos, la componente de energía y potencia será estabilizada a su valor vigente al 31 de octubre de 2019, de acuerdo al procedimiento de implementación del mecanismo de estabilización de precios establecido en la ley N° 21.185 y la resolución exenta que la Comisión Nacional de Energía dictará para tal efecto;
8. Que el decreto 20T, de 2018, del Ministerio de Energía, que fija precios de nudo promedio en el Sistema Eléctrico Nacional establece factores para reconocer la equidad tarifaria residencial y determina precios de energía que consideran el mecanismo reconocimiento de generación local, que seguirán vigentes mientras no proceda su modificación.
9. Que ambos mecanismos, esto es, equidad tarifaria residencial y reconocimiento de generación local, suponen una redistribución entre clientes, lo que implica que las rebajas tarifarias que benefician a unos sean asumidas por los demás clientes regulados.
10. Que la ley N° 21.194 tuvo como objetivo estabilizar los niveles de precios del cliente final asociados a la componente de valor agregado de distribución, lo que, consecuencialmente, impide aplicar un factor de equidad tarifaria residencial distinto a aquel contenido en el decreto 20T. Lo anterior, no altera el espíritu de la ley N° 20.928, que, mediante el mecanismo de equidad tarifaría residencial, buscaba ecualizar y disminuir las distorsiones existentes entre las diversas cuentas de electricidad que pagaban los clientes finales residenciales a nivel nacional. En consistencia con lo anterior, el factor de ajuste de equidad tarifaria residencial deberá ser recalculado al término de la vigencia del decreto tarifario de valor de agregado de distribución actual.
11. Que respecto del mecanismo reconocimiento de generación local, que se ve reflejado en el precio de energía traspasable a cliente final, es preciso señalar que, dada la estabilización de precios de energía consagrada en la ley N° 21.185, éste no podrá ser recalculado, toda vez que los precios contenidos en el decreto 20T no pueden ser ajustados, salvo en aquellos casos expresamente señalados en la citada ley. De este modo, sólo una vez que finalice el mecanismo establecido en la presente resolución exenta, procederán a recalcularse los parámetros asociados a la aplicación del referido mecanismo.
12. Que, a este efecto, la Comisión viene en establecer por la presente resolución los plazos, requisitos y condiciones a los que deberá sujetarse el mecanismo de estabilización, y en consecuencia el proceso de fijación de precios de nudo promedio regulado en los artículos 155° y siguientes de la Ley Eléctrica, respecto de las materias que se regulan en la parte resolutiva de la misma.
Resuelvo:
Artículo primero: Apruébense las siguientes disposiciones, procedimientos, plazos y condiciones para la adecuada aplicación de la ley N° 21.185.
Artículo 1°.- La presente resolución tiene por objeto establecer las reglas necesarias para la implementación del mecanismo de estabilización de precios establecido en la ley N° 21.185, en adelante "Mecanismo de Estabilización".
Para dichos efectos, la presente resolución precisa los procedimientos y criterios para determinar los precios a nivel de generación necesarios para la aplicación de dicho mecanismo durante toda la vigencia del mismo.
Asimismo, establece las reglas bajo las cuales los pagos de los precios de nudo de largo plazo deben ser efectuados por las empresas concesionarias de distribución a sus respectivos suministradores durante la vigencia del Mecanismo de Estabilización.
En todo aquello que no sea regulado expresamente por la presente resolución se continuará aplicando la normativa contenida en el decreto supremo N° 86, la resolución N° 703, o el reglamento que reemplace dichos instrumentos.
Artículo 2°.- Los precios promedio que las Distribuidoras deban traspasar a sus clientes sujetos a fijación de precios serán fijados mediante los procedimientos y reglas que establece el decreto supremo N° 86 y la resolución N° 703, con los ajustes que establece la ley N° 21.185 y la presente resolución.
De este modo, durante la vigencia del Mecanismo de Estabilización, los pagos que las Distribuidoras deberán realizar a sus respectivos suministradores deberán regirse por las medidas y condiciones fijadas en la presente resolución.
Por su parte, las Distribuidoras deberán traspasar mensualmente a todos sus clientes finales sujetos a fijación de precios, los precios de generación que resulten de la aplicación del Mecanismo de Estabilización durante toda la vigencia del mismo.
Artículo 3°.- Para los efectos de la presente resolución, los siguientes términos tendrán el significado y alcance que se indica a continuación:
a) Artículo: Si no se indica otra referencia, se refiere a un artículo de la presente resolución.
b) Comisión: Comisión Nacional de Energía.
c) Distribuidoras: Concesionarias de servicio público de distribución.
d) Contrato: Contrato de suministro de energía para el servicio público de distribución a que se refiere el inciso primero del artículo 7° de la Ley Eléctrica, suscrito entre las Distribuidoras y sus Suministradores.
e) Coordinador: Coordinador Independiente del Sistema Eléctrico Nacional, de acuerdo con lo establecido en el artículo 212-1 de la Ley Eléctrica.
f) Decreto 20T: Decreto supremo N° 20T, del Ministerio de Energía, de 2018, que fija precios de nudo promedio en el Sistema Eléctrico Nacional, de acuerdo al artículo 158° de la Ley Eléctrica y fija ajustes y recargos por aplicación del mecanismo de equidad tarifaria residencial.
g) Decretos PNP: Decretos dictados semestralmente por el Ministerio de Energía, que fijan los precios de nudo promedio a que se refiere el artículo 158° la Ley Eléctrica.
h) Déficit Semestral de las Distribuidoras: Suma de los montos que no pudieron ser recaudados por las Distribuidoras, de conformidad a los balances de las Distribuidoras a que se refiere el artículo 17.
i) Diferencias por Compras: Monto de dinero determinado por el Coordinador para cada Contrato, de conformidad a lo establecido en el artículo 17° de la resolución N° 703.
j) Diferencias de Facturación: Diferencias de facturación de aquellos contratos que no están sujetos al Mecanismo de Estabilización, de modo que deben ser pagadas en el periodo semestral siguiente al que se originaron, y calculadas de conformidad a lo establecido en el artículo 14.
k) Excedente Semestral de las Distribuidoras: Suma de los montos de exceso de recaudación por parte de las Distribuidoras, según los balances de las Distribuidoras, calculado de conformidad a lo establecido en el artículo 17.
l) Exceso de Saldo del Sistema: Monto de Saldos que ha superado el límite de 1.350 millones de dólares establecido en la ley N° 21.185, calculado de conformidad al artículo 15. El valor de Exceso de Saldos del Sistema será igual a cero mientras no se contabilice que los Saldos han superado el referido límite.
m) Factor de Ajuste: Corresponde a un factor que se aplica a los precios de energía y potencia que las Distribuidoras pagarán a sus Suministradores. Dicho factor busca asegurar que la facturación de los contratos de suministro sea coherente con la recaudación esperada en razón del PEC o PEC Ajustado de la correspondiente Distribuidora.
n) Factor de Ajuste de Energía: Corresponde al Factor de Ajuste aplicable al precio de la Energía.
o) Factor de Ajuste de Potencia: Corresponde al Factor de Ajuste aplicable al precio de la Potencia.
p) IPC: Índice de Precios al Consumidor que fija el Instituto Nacional de Estadística.
q) Ley Eléctrica: DFL N° 4, del Ministerio de Economía, Fomento y Reconstrucción, de 2006, que fija el texto refundido, coordinado y sistematizado del DFL N° 1 de Minería de 1982, Ley General de Servicios Eléctricos, y sus modificaciones posteriores.
r) Mecanismo de Estabilización: Mecanismo de estabilización de precios establecido en la ley N° 21.185, cuya vigencia está señalada en el artículo 4.
s) PEC, o Precio Estabilizado a Cliente Regulado: Corresponde a los niveles de precio que establece el decreto 20T.
t) PEC Ajustado: Corresponde a los niveles de precios del PEC debidamente ajustados por IPC según se define en el artículo 5. Asimismo, dicho precio también puede ser aumentado en un factor superior al IPC para los casos regulados en los artículos 15 y 20.
u) PNP: Precio de Nudo Promedio.
v) Resolución N° 703: Resolución exenta N° 703, de la Comisión, de 2018, que modifica resolución exenta N° 778, que establece plazos, requisitos y condiciones para la fijación de precios de nudo promedio, de fecha 15 de noviembre de 2016, modificada por resoluciones exentas N° 203 y N° 558, ambas de 2017, y fija texto refundido de la misma.
w) Saldos: Corresponde a las diferencias de facturación originadas por la aplicación del Mecanismo de Estabilización calculados conforme a lo dispuesto en el artículo 13.
x) Suministrador: Empresas de generación que abastecen los consumos de clientes sometidos a regulación de precios de una Distribuidora en virtud de un contrato de suministro suscrito con dicha Distribuidora.
y) TD o Transferencias entre Distribuidoras: Son aquellas transferencias que tienen por objeto mantener la coherencia de la recaudación de cada Distribuidora con respecto al pago que deben efectuar a sus Suministradores y son calculadas de conformidad a lo establecido en el artículo 12.
Artículo 4°.- El Mecanismo de Estabilización regirá a partir de la publicación de la ley N° 21.185 hasta se paguen todos los Saldos originados por aplicación del mismo, lo que deberá verificarse, a más tardar, el 31 de diciembre de 2027.
Artículo 5°.- En el período comprendido entre el 1 de julio de 2019 y el 31 de diciembre de 2020, los precios que las Distribuidoras podrán traspasar a sus clientes regulados corresponderán a los niveles de precios de nudo de energía y potencia promedio en nivel de distribución para cada Concesionaria contenidos en el decreto 20T. Dichos precios se denominarán Precio Estabilizado a Cliente Regulado, en adelante "PEC".
En el período comprendido entre el 1 de enero de 2021 y hasta el término de la vigencia del Mecanismo de Estabilización, los precios que las Distribuidoras podrán traspasar a sus clientes regulados corresponderán al "PEC Ajustado", el cual se determinará como el PEC indexado por IPC. A estos efectos, el valor del IPC a utilizar en cada fijación semestral corresponderá al valor mensual del referido índice del cuarto mes anterior al de inicio de vigencia de las tarifas correspondientes. Resolución 186 EXENTA,
ENERGÍA
Art. primero, N° 1
D.O. 16.06.2021Para el caso del valor base del IPC, éste corresponderá al valor mensual del mes de enero de 2021.
ENERGÍA
Art. primero, N° 1
D.O. 16.06.2021Para el caso del valor base del IPC, éste corresponderá al valor mensual del mes de enero de 2021.
Artículo 6°.- Sin perjuicio de lo señalado en el artículo anterior, durante la vigencia del Mecanismo de Estabilización, el PEC o PEC Ajustado, según corresponda, podrá ser incrementado en los siguientes casos:
a) En caso que los Saldos contabilizados hayan superado el monto de los 1.350 millones de dólares de los Estados Unidos de América o que se prevea que en el siguiente período tarifario los Saldos superarán el monto de los 1.350 millones de dólares de los Estados Unidos de América, el incremento del PEC o PEC Ajustado se realizará de conformidad a lo dispuesto en el artículo 15.
b) En caso que se prevea que los pagos proyectados no lograrán cubrir la totalidad de los Saldos, el incremento del PEC Ajustado se realizará de conformidad a lo dispuesto en el artículo 20.
Artículo 7°.- Durante la vigencia del Mecanismo de Estabilización, el informe técnico preliminar señalado en el artículo 5° de la resolución N° 703 deberá contener, al menos, la siguiente información:
a) Los precios de nudo de largo plazo actualizados de cada Distribuidora;
b) Las fórmulas de indexación de los precios de nudo de largo plazo;
c) Los precios de nudo promedio de cada Distribuidora;
d) Los precios estabilizados a clientes regulados, calculado conforme a lo dispuesto en el artículo 5 y en el artículo 6;
e) Los Factores de Ajuste aplicables a los precios de nudo de largo plazo de energía y potencia, calculados conforme a lo dispuesto en el artículo 11;
f) Los Saldos originados por la aplicación del Mecanismo de Estabilización, identificando al Suministrador acreedor de dichos Saldos y la Distribuidora deudora correspondientes, calculados conforme a lo dispuesto en el artículo 13;
g) Las transferencias entre Distribuidoras, calculadas conforme a lo dispuesto en el artículo 12;
h) El factor de intensidad para cada comuna, de conformidad a lo establecido en el literal d) del artículo 10; y,
i) Los factores de equidad tarifaria residencial, de conformidad a lo dispuesto en el literal c) del artículo 10.
Artículo 8°.- Durante la vigencia del Mecanismo de Estabilización, los contenidos mínimos de los Decretos PNP a que se refiere el artículo 11° de la resolución N° 703 serán los siguientes:
a) Los precios, en pesos chilenos, que las Distribuidoras pagarán a sus Suministradores por sus respectivos Contratos, calculados conforme a lo dispuesto en el artículo 11;
b) Los Saldos, identificando al Suministrador acreedor de dichos Saldos y Distribuidora deudora correspondiente, contabilizados en dólares de los Estados Unidos de América, y calculados conforme a lo dispuesto en el artículo 13;
c) Los precios de nudo promedio, en pesos chilenos, a traspasar por las Distribuidoras a sus clientes sujetos a fijación de precios, correspondientes a los precios estabilizados a clientes regulados, calculados conforme a lo dispuesto en el artículo 5 y artículo 6;
d) Las transferencias entre Distribuidoras, resultantes de los cálculos realizados conforme a lo dispuesto en el artículo 12;
e) Los factores de equidad tarifaria residencial, de conformidad a lo dispuesto en el literal c) del artículo 10; y
f) Las condiciones de aplicación de los precios de nudo promedio, así como el período de vigencia de los mismos.
Artículo 9°.- Las diferencias de facturación resultantes de la aplicación de los niveles de precios fijados en el respectivo Contrato, respecto de aquellos establecidos en el Decreto PNP correspondiente, serán recogidas en los Saldos y su reconocimiento en las tarifas traspasables a los clientes regulados deberá ajustarse al Mecanismo de Estabilización.
Artículo 10°.- Con el fin de mantener la debida coherencia del Mecanismo de Estabilización, y durante toda su vigencia, se aplicarán las siguientes reglas especiales respecto del informe técnico semestral de precios de nudo:
a) No se calculará el ajuste o recargo del precio de nudo promedio de energía, a que se refiere el inciso segundo del artículo 157° de la Ley Eléctrica, siendo sustituido por los ajustes incorporados por el Mecanismo de Estabilización.
b) No se aplicarán los cálculos de Ajuste por Armonización Tarifaria ni Cargo de Armonización Tarifaria a que se refieren los artículos 18° y 19° de la resolución N° 703, sin perjuicio de lo señalado en la presente resolución.
c) No se recalcularán los factores de equidad tarifarla residencial dispuestos por el mecanismo señalado en el inciso segundo del artículo 191° de la Ley Eléctrica, manteniéndose los mismos factores de equidad tarifaría residencial establecidos en el decreto 20T, salvo por la entrada en vigencia de un nuevo decreto que fije el valor agregado de distribución de acuerdo al artículo 190° de la Ley Eléctrica.
d) No se recalcularán los factores de intensidad para cada comuna y los descuentos según porcentaje de aporte, de conformidad a lo establecido en el inciso cuarto y quinto del artículo 157° de la Ley Eléctrica, manteniendo los mismos establecidos en el informe técnico definitivo que dio origen al decreto 20T.
Artículo 11°.- Durante la vigencia del Mecanismo de Estabilización, los precios de energía y potencia que las Distribuidoras pagarán en cada facturación mensual a sus Suministradores, considerarán la aplicación de factores de ajustes de energía y de potencia que permita asegurar que la facturación de los Contratos sea coherente con la recaudación esperada en razón del PEC o PEC Ajustado de la correspondiente Distribuidora.
El Factor de Ajuste de Energía será calculado por la Comisión, de acuerdo a lo siguiente:
i. Para aquellos períodos tarifarios anteriores al 1° de julio de 2023:

ii. Para aquellos períodos tarifarios posteriores al 30 de junio de 2023:

Donde:
fe : Factor único de ajuste de los precios de energía de los Contratos. Dicho factor será mayor o igual a cero.
Re PEC: Recaudación proyectada a precios de energía PEC, determinada como la suma de la energía de las compras esperadas, a nivel de subestación primaria de distribución, de las diferentes Distribuidoras durante el semestre de vigencia de las tarifas, valorizadas a los precios PEC o PEC Ajustado, según corresponda, respectivos de cada Distribuidora, en moneda nacional. Dicha variable será mayor o igual a cero.
Re C21 : Pago proyectado de energía de los Contratos que inician su suministro a partir de 2021, determinado como la suma de la energía de las compras esperadas, a nivel de punto de compra, de las diferentes Distribuidoras asociadas a los Contratos que inician su suministro a partir del año 2021, durante el semestre de vigencia de las tarifas, valorizadas a los precios de nudo de largo plazo de energía de sus respectivos Contratos, en moneda nacional. Dicha variable será mayor o igual a cero.
DefD : Déficit Semestral de las Distribuidoras, calculado de conformidad a lo establecido en el artículo 17, en moneda nacional. Dicha variable será mayor o igual a cero.
DFC21: Suma de las Diferencias de Facturación de los Contratos que inician su suministro a partir de 2021, calculada de conformidad a lo establecido en el artículo 14, en moneda nacional. Dicha variable podrá ser un valor positivo o negativo.
Re PNLP : Pago proyectado de energía de los Contratos que inician su suministro antes de 2021, determinado como la suma de la energía de las compras esperadas, a nivel de punto de compra, de las diferentes Distribuidoras asociadas a los Contratos que inician su suministro con anterioridad al año 2021, durante el semestre de vigencia de las tarifas, valorizadas a los precios de nudo de largo plazo de energía de sus respectivos Contratos, en moneda nacional. Dicha variable será mayor o igual a cero.
ES: Exceso de Saldos del Sistema, sobre el límite de 1.350 millones de dólares establecido en la ley N° 21.185, calculado de conformidad a lo establecido en el inciso final del artículo 15, en moneda nacional. Dicha variable será mayor o igual a cero.
De conformidad a lo anterior, los precios de energía que las Distribuidoras pagarán a sus Suministradores por sus respectivos Contratos corresponderán al precio de nudo de largo plazo de energía del respectivo Contrato, multiplicado por el Factor de Ajuste de Energía señalado en el inciso anterior, y convertido a moneda nacional de acuerdo al tipo de cambio dispuesto en el artículo 6° de la resolución N° 703.
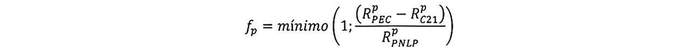
Asimismo, la Comisión calculará un Factor de Ajuste de Potencia de acuerdo a lo siguiente:
i. Para aquellos períodos tarifarios anteriores al 1° de julio de 2023:

ii. Para aquellos períodos tarifarios posteriores al 30 de junio de 2023:

Donde:
fp : Factor único de ajuste de los precios de potencia de los contratos de suministro. Dicho factor será mayor o igual a cero.
Rp PEC : Recaudación proyectada a precios de potencia PEC, determinada como la suma de la potencia de las compras esperadas, a nivel de subestación primaria de distribución, de las diferentes Distribuidoras durante el semestre de vigencia de las tarifas, valorizadas a los precios PEC o PEC Ajustado de potencia, según corresponda, respectivos de cada Distribuidora, en moneda nacional. Dicha variable será mayor o igual a cero.
Rp C 21 : Pago esperado de potencia a los Contratos que inician su suministro a partir de 2021, determinado como la suma de las potencias de compras esperadas, a nivel de punto de compra, de las diferentes Distribuidoras asociadas a los Contratos que inician su suministro a partir del año 2021, durante el semestre de vigencia de las tarifas, valorizadas a los precios de nudo de largo plazo de potencia de sus respectivos Contratos, en moneda nacional. Dicha variable será mayor o igual a cero.
Rp PNLP : Pago proyectado de potencia a los Contratos que inician su suministro antes de 2021, determinado como la suma de las potencias de compras esperadas, a nivel de punto de compra, de las diferentes Distribuidoras asociadas a los Contratos que inician su suministro con anterioridad al año 2021, durante el semestre de vigencia de las tarifas, valorizadas a los precios de nudo de largo plazo de potencia de sus respectivos Contratos, en moneda nacional. Dicha variable será mayor o igual a cero.
Para efectos de lo anterior, las compras esperadas de potencia serán estimadas en el informe técnico a partir de las correspondientes compras esperadas de energía de los respectivos suministros. De conformidad a lo señalado, los precios de potencia que las Distribuidoras pagarán a sus Suministradores por sus respectivos Contratos corresponderán al precio de nudo de largo plazo de potencia del respectivo Contrato, multiplicado por el Factor de Ajuste de Potencia señalado en el inciso anterior, y convertido a moneda nacional de acuerdo al tipo de cambio dispuesto en el artículo 6° de la resolución N° 703.
Respecto de aquellos contratos cuyo inicio de suministro sea a partir del año 2021, el Factor de Ajuste de energía y potencia será igual a uno.
Artículo 12°.- Las transferencias entre Distribuidoras, en adelante "TD", tienen por objetivo mantener la coherencia de la recaudación de cada Distribuidora con respecto al pago que deben efectuar a sus Suministradores.
Para cada Distribuidora, los TD se calculan de acuerdo a la siguiente expresión:

Donde:
PEC : PEC o PEC Ajustado, según corresponda, de la Distribuidora.
PNLPajustado j,i : Precios que la Distribuidora deberán pagar a sus Suministrador por su Contrato "j" en el Punto de Compra "i", de conformidad a lo dispuesto en el artículo 11.
EPC j,i: Compras esperadas de energía de la Distribuidora por el respectivo Contrato "j" en el Punto de Compra "i".
ESP : Compras esperadas de energía de la Distribuidora a nivel de subestación primaria.
NPC : Número total de Puntos de Compra desde los que se abastece la Distribuidora.
NC : Número total de Contratos que abastecen la Distribuidora.
En consecuencia, las Distribuidoras que cuenten con un TD positivo, deberán realizar transferencias a las Distribuidoras que cuenten con un TD negativo, de conformidad a la metodología del presente artículo.
Las reliquidaciones entre Distribuidoras a que den origen los cargos señalados en este artículo, serán calculadas por el Coordinador a partir del siguiente mecanismo de reliquidación:
Cada Distribuidora deberá pagar los montos asociados a la aplicación de TD, establecido en el respectivo decreto de precios de nudo promedio, considerando lo siguiente:
a) Para cada distribuidora y a partir de los volúmenes de energía facturados para el suministro de clientes regulados, deberá calcular el monto asociado a la valorización producto de la aplicación de TD correspondientes, de acuerdo a la siguiente expresión:

Donde:
VTD: Valorización de monto asociado a la aplicación de TD por la distribuidora, en pesos chilenos.
TD: TD de la distribuidora, en pesos chilenos por kilowatt-hora.
EFACTATi: Energía facturada a clientes regulados finales en el nivel de alta tensión de distribución del sector "i" de la Distribuidora, en kilowatt-hora.
EINYATi: Lectura de inyecciones de energía a la red de distribución por clientes regulados finales, que dispongan de un Equipamiento de Generación, en el nivel de alta tensión de distribución del sector "i" de la Distribuidora, en kilowatt-hora.
EFACTBTi: Energía facturada a clientes regulados finales en el nivel de baja tensión de distribución del sector "i" de la Distribuidora, en kilowatt-hora.
EINYBTi: Lectura de inyecciones de energía a la red de distribución por clientes regulados finales, que dispongan de un Equipamiento de Generación, en el nivel de baja tensión de distribución del sector "i" de la Distribuidora, en kilowatt-hora.
PEAT: Factor de expansión de pérdidas de energía en alta tensión, indicado en el decreto que fija fórmulas tarifarias aplicables a los suministros sujetos a precios regulados, efectuados por las empresas concesionarias de distribución vigente al momento de elaboración del informe técnico preliminar.
PEBT: Factor de expansión de pérdidas de energía en baja tensión, indicado en el decreto que fija fórmulas tarifarias aplicables a los suministros sujetos a precios regulados, efectuados por las empresas concesionarias de distribución vigente al momento de elaboración del informe técnico preliminar.
NSN: Cantidad de sectores de transmisión zonal de la concesionaria.
Cuando la energía facturada esté conformada por fracciones de tiempo en que se hayan incluido distintos TD, el monto valorizado se determinará a partir de la proporción de días en los cuales se encuentre vigente el TD que en cada caso corresponda.
b) El Coordinador deberá validar la información entregada por las Distribuidoras. Asimismo, deberá determinar la totalidad de los VTD positivos y de los VTD negativos del sistema.
c) La totalidad de los VTD positivos del sistema deberá ser transferida a las Distribuidoras con TD negativos a prorrata de los respectivos VTD negativos. Sin perjuicio de lo anterior, en caso de que la totalidad de los VTD positivos del sistema sea superior a la totalidad de los VTD negativos del sistema, el monto total a transferir por las Distribuidoras, será igual al total de VTD negativos del sistema, y se asignarán a prorrata de los respectivos VTD positivos de las respectivas Distribuidoras.
d) El Coordinador deberá emitir un informe preliminar dentro de los 15 primeros días corridos de cada mes, respecto del mes anterior de facturación, con los montos de transferencias determinados de acuerdo al presente artículo, el cual podrá ser observado por las Distribuidoras. El Coordinador deberá emitir un informe definitivo a más tardar el día 25 de cada mes. Las Distribuidoras deberán hacer efectiva la reliquidación, procediendo a realizar el pago correspondiente, a más tardar 3 días hábiles contados desde la determinación de los montos a reliquidar por el Coordinador en el informe definitivo. Asimismo, deberán informar al Coordinador los pagos recibidos o realizados con ocasión de dicha reliquidación, conforme al formato que para ello establezca el Coordinador.
e) El Coordinador deberá contabilizar en cuentas individuales por Distribuidora los montos correspondientes a los montos resultantes de la aplicación de la reliquidación, de modo que ellos sean considerados en las reliquidaciones posteriores que mensualmente efectúe.
f) El Coordinador deberá informar a la Comisión y a la Superintendencia, dentro de los 5 días corridos siguientes al informe definitivo al que hace referencia la letra d) anterior, el detalle de los resultados de las reliquidaciones indicadas en la letra c) anterior y los volúmenes de energía determinados de acuerdo a la letra a) de este artículo.
g) Conjuntamente con el envío de la información a que hace referencia la letra anterior, el Coordinador deberá informar a la Comisión los volúmenes de energía y potencia asociados a los Contratos, de acuerdo a los formatos que ésta establezca.
El Coordinador deberá informar periódicamente a la Comisión y a la Superintendencia el monto de las reliquidaciones entre Distribuidoras.
Estas reliquidaciones no afectarán las obligaciones de las Distribuidoras de pagar íntegramente a sus Suministradores, los precios de energía y potencia establecidos en el decreto PNP correspondiente según lo dispuesto en la letra a) del artículo 8.
Artículo 13°.- El informe técnico a que se refiere el artículo 7 deberá incluir un cálculo, para cada Contrato, de las diferencias originadas por la aplicación del Mecanismo de Estabilización. Las referidas diferencias, en adelante los "Saldos", deberán ser incorporados, a su vez, en los decretos PNP semestrales.
La contabilización de Saldos deberá considerar las diferencias que se produzcan, a partir del mes de noviembre de 2019, tanto para energía como para potencia, entre el precio que hubiera aplicado de conformidad a las condiciones del correspondiente Contrato y el precio establecido en el decreto PNP respectivo.
Dichas diferencias se medirán como el producto entre las compras reales del período mensual correspondiente, a nivel de punto de compra, y la diferencia entre el precio de nudo de largo plazo vigente al momento de facturación y el precio establecido en el decreto PNP vigente al momento de la aplicación de la tarifa, de conformidad a lo establecido en la letra a) del artículo 8, o artículo 11° letra b) de la resolución N° 703, según corresponda, convertido en dólares de los Estados Unidos de América, de acuerdo al promedio mensual del dólar observado del respectivo mes de facturación publicado por el Banco Central de Chile. El valor resultante de dichas diferencias podrá ser positivo o negativo.
Adicionalmente, la contabilización de Saldos de cada Contrato, deberá considerar el Saldo total del período semestral anterior.
A su vez, la contabilización de Saldos deberá incorporar adicionalmente: i) las diferencias de facturación a que se refiere el artículo 13° de la resolución N° 703 que no hayan sido pagadas a la fecha de publicación de la ley N° 21.185, y; ii) las Diferencias por Compras a que hace referencia el artículo 17° de la resolución N° 703 que no hayan sido pagadas por las facturaciones de AAT a la fecha de publicación de la ley N° 21.185.
Para tales efectos, dichos montos serán determinados al 31 de octubre de 2019, considerando los reajustes e intereses que les correspondía aplicar de acuerdo a la normativa vigente a dicha fecha, convertidos a dólares de acuerdo al promedio mensual del dólar observado de los Estados Unidos de América publicado por el Banco Central de Chile para el mes de octubre de 2019.
Asimismo, la contabilización de Saldos deberá adicionar la suma total de las Diferencias por Compras del correspondiente Contrato para una ventana de tiempo de 6 meses correspondiente al mismo semestre del año anterior al de la vigencia de la respectiva fijación tarifaria. Aquellas serán determinadas por el Coordinador de conformidad a lo dispuesto en el artículo 17° de la resolución N° 703, ajustadas a una misma base monetaria conforme las variaciones mensuales del IPC y convertidos en dólares de acuerdo al tipo de cambio establecido en el artículo 6° de la resolución N° 703.
LaResolución 340 EXENTA,
ENERGÍA
Art. primero a)
D.O. 14.09.2020 contabilización de Saldos de cada Contrato deberá descontar el pago de Saldos producto de lo dispuesto en el Artículo 18, convertido en dólares de acuerdo con el dólar observado de los Estados Unidos de América publicado por el Banco Central de Chile del sexto día hábil siguiente al día de publicación del Cuadro de Pago de Saldos referido en el inciso tercero del artículo 18.
ENERGÍA
Art. primero a)
D.O. 14.09.2020 contabilización de Saldos de cada Contrato deberá descontar el pago de Saldos producto de lo dispuesto en el Artículo 18, convertido en dólares de acuerdo con el dólar observado de los Estados Unidos de América publicado por el Banco Central de Chile del sexto día hábil siguiente al día de publicación del Cuadro de Pago de Saldos referido en el inciso tercero del artículo 18.
Los decretos PNP semestrales deberán detallar: i) los Saldos totales acumulados de cada Contrato, y; ii) los Saldos generados en el periodo semestral anterior. En ambos casos, los montos se informarán en dólares de los Estados Unidos de América, identificando la Distribuidora y el Suministrador del respectivo contrato.
El registro y pago del Saldo será independiente que haya vencido el período de suministro o haya terminado anticipadamente el Contrato por cualquier causa.
Los Saldos contabilizados para cada contrato deberán ser totalmente pagados al Suministrador por la correspondiente Distribuidora del respectivo Contrato antes del término de la vigencia del Mecanismo de Estabilización señalado en el artículo 4.
Los Saldos podrán ser cedidos por los Suministradores, de acuerdo a lo establecido en las normas de derecho común.
En el caso de traspasos de excedentes del artículo 88 del decreto supremo N° 106, del Ministerio de Energía, de 2015, la contabilización de Saldos se aplicará las siguientes reglas:
a) La Distribuidora deficitaria adquiere la obligación de pago de los Saldos resultantes de su convenio de traspaso de excedentes, tal como si se tratara de un contrato de suministro suscrito entre la Distribuidora deficitaria con el correspondiente Suministrador.
b) La Distribuidora excedentaria del convenio de traspaso de excedentes no tendrá responsabilidades en el pago de los Saldos originados en la facturación de tales traspasos de excedentes del Contrato.
En Resolución 115 EXENTA, ENERGÚIA
Art. primero N° 1
D.O. 23.04.2021caso de que, para un Contrato, el Saldo contabilizado en un período semestral resulte negativo, esto es, montos adeudados a favor de la Distribuidora, el Informe Técnico procederá a registrar la devolución de tales montos a la correspondiente Distribuidora, de modo que dicha transferencia sea incorporada en la contabilización de Saldos del período semestral del señalado Contrato, ajustándose éste a cero. Asimismo, el Informe Técnico considerará dicha transferencia en el balance de la Distribuidora a que se refiere el artículo 17. Lo anteriormente señalado no será aplicable para el caso de contabilización de Saldos asignables a sistemas medianos. El Coordinador, en un plazo de 5 días hábiles desde la publicación del decreto PNP respectivo, emitirá un cuadro de pago en consideración a lo establecido en el Informe Técnico respecto de las señaladas transferencias, convertido en moneda nacional de acuerdo con el dólar observado de los Estados Unidos de América publicado por el Banco Central de Chile del día hábil siguiente a la publicación decreto PNP antes referido. Los Suministradores deberán proceder al pago indicado en el cuadro de pago recién señalado a las respectivas Distribuidoras, dentro de los 6 días hábiles siguientes contados desde la publicación del referido cuadro de pagos. El siguiente balance de la Distribuidora incorporará las diferencias que se produzcan entre los montos en moneda nacional considerados previamente como transferencias en el correspondiente Informe Técnico y el monto en moneda nacional efectivamente pagado por el Suministrador.
Art. primero N° 1
D.O. 23.04.2021caso de que, para un Contrato, el Saldo contabilizado en un período semestral resulte negativo, esto es, montos adeudados a favor de la Distribuidora, el Informe Técnico procederá a registrar la devolución de tales montos a la correspondiente Distribuidora, de modo que dicha transferencia sea incorporada en la contabilización de Saldos del período semestral del señalado Contrato, ajustándose éste a cero. Asimismo, el Informe Técnico considerará dicha transferencia en el balance de la Distribuidora a que se refiere el artículo 17. Lo anteriormente señalado no será aplicable para el caso de contabilización de Saldos asignables a sistemas medianos. El Coordinador, en un plazo de 5 días hábiles desde la publicación del decreto PNP respectivo, emitirá un cuadro de pago en consideración a lo establecido en el Informe Técnico respecto de las señaladas transferencias, convertido en moneda nacional de acuerdo con el dólar observado de los Estados Unidos de América publicado por el Banco Central de Chile del día hábil siguiente a la publicación decreto PNP antes referido. Los Suministradores deberán proceder al pago indicado en el cuadro de pago recién señalado a las respectivas Distribuidoras, dentro de los 6 días hábiles siguientes contados desde la publicación del referido cuadro de pagos. El siguiente balance de la Distribuidora incorporará las diferencias que se produzcan entre los montos en moneda nacional considerados previamente como transferencias en el correspondiente Informe Técnico y el monto en moneda nacional efectivamente pagado por el Suministrador.
Artículo 14°.- Para el caso de los Contratos que inicien suministro a partir del año 2021, al no estar afectos al Mecanismo de Estabilización, no se considerarán para la contabilización de Saldos a que se refiere el artículo 13 precedente.
Para dichos Contratos, el informe técnico a que se refiere el artículo 5° de la resolución N° 703, deberá calcular las diferencias de facturación de energía y potencia entre la aplicación de los niveles de precios fijados en el respectivo Contrato y aquellos establecidos en el decreto PNP correspondiente vigente al momento de la aplicación de la tarifa. Para tal efecto, se considerarán las ventas reales en los puntos de compra. A estas diferencias se le denominarán "Diferencias de Facturación".
Las Diferencias de Facturación serán contabilizadas en moneda nacional. Así los precios de nudo de largo plazo del Contrato serán convertidos a moneda nacional, de acuerdo al promedio mensual del dólar observado de los Estados Unidos de América del respectivo mes de facturación publicado por el Banco Central de Chile.
Adicionalmente, las Diferencias de Facturación incorporarán las Diferencias por Compras del correspondiente contrato para una ventana de tiempo de 6 meses correspondiente al mismo semestre del año anterior al de la vigencia de la respectiva fijación tarifaria, determinadas por el Coordinador de conformidad a lo dispuesto en el artículo 17° de la resolución N° 703, ajustadas a una misma base monetaria conforme las variaciones mensuales del Índice de Precios al Consumidor publicado por el Instituto Nacional de Estadísticas.
Las Diferencias de Facturación considerarán los reajustes e intereses correspondientes de acuerdo en la normativa vigente.
Las Diferencias de Facturación serán pagadas o descontadas por la Concesionaria a los correspondientes Suministradores durante un período de 6 meses siguientes a la publicación del decreto tarifario semestral. Si las Diferencias de Facturación resultan en un abono para el Suministrador, éste se deberá pagar en cuotas iguales mensuales, las cuales no podrán superar las seis cuotas. Si las Diferencias de Facturación resultan en un descuento para el Suministrador, éste deberá ser descontado en la facturación en una única cuota.
Artículo 15°.- No se podrán incrementar los montos de los Saldos a partir de julio de 2023. En tal caso, la Comisión deberá determinar el incremento a los PEC Ajustado de energía necesario para incrementar el pago a los Suministradores sin requerir mayor aumento en los Saldos.
Asimismo, si antes de la fecha señalada anteriormente, los Saldos de los Suministradores superaran un monto acumulado de 1.350 millones de dólares, la Comisión determinará un PEC Ajustado que no signifique incrementar dichos Saldos.
Para tales efectos, los informes técnicos preliminares a que se refiere el artículo 7 cuyos correspondientes períodos tarifarios sean anteriores al 1° de julio de 2023, deberán incluir una proyección de la acumulación y pago de Saldos del correspondiente período tarifario.
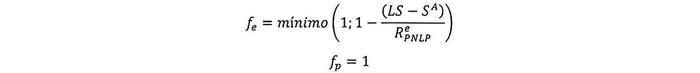
En caso de que se estime una acumulación total de Saldos superior a 1.350 millones de dólares durante el período tarifario, el informe técnico deberá recalcular los factores de ajuste de energía y potencia para el período tarifario a que hace referencia el artículo 11, de acuerdo a lo siguiente:

Donde:
LS: Límite de Saldos, correspondiente a los 1.350 millones de dólares de los Estados Unidos de América, convertidos a moneda nacional de acuerdo al tipo de cambio dispuesto en el artículo 6° de la resolución N° 703.
SA : Saldo total acumulado del sistema, convertidos a moneda nacional de acuerdo al tipo de cambio dispuesto en el artículo 6° de la resolución N° 703. Dicha variable será mayor o igual a cero.
Adicionalmente, el referido informe deberá calcular el factor único de incremento de los PEC o PEC Ajustados de energía (), considerando el nuevo Factor de Ajuste de Energía indicado en el inciso anterior, el cual se determinará a partir de la siguiente expresión:



El referido informe redefinirá los valores de PEC o PEC Ajustados, según corresponda, de acuerdo al incremento del factor único de incremento señalado anteriormente.
Por su parte, de acuerdo a lo señalado en el artículo 11, aquellos informes técnicos preliminares cuyos correspondientes períodos tarifarios sean posteriores al 30 de junio de 2023, el Factor de Ajuste de Energía y el Factor de Ajuste de Potencia serán iguales a 1, de modo de evitar la acumulación de Saldos.
Adicionalmente, dichos informes técnicos preliminares deberán incluir una proyección de la acumulación y pago de Saldos del correspondiente período tarifario. En caso de que se estime una acumulación total de Saldos superior a 1.350 millones de dólares de los Estados Unidos de América durante el período tarifario, el referido informe deberá calcular el factor único de incremento de los PEC Ajustados de energía aplicable en el correspondiente período tarifario (), el cual se determinará a partir de la siguiente expresión:



El referido informe redefinirá los valores de PEC Ajustados, de acuerdo al incremento del factor único de incremento señalado anteriormente.
En caso que la contabilización de Saldos efectuada por el informe técnico preliminar a que se refiere el artículo 7, determinara que la acumulación total de Saldos ha superado el límite de Saldos de 1.350 millones de dólares de los Estados Unidos de América, el referido informe considerará las adecuaciones necesarias del Factor de Ajuste de la Energía o del PEC o PEC Ajustado, según corresponda, con el fin de recaudar los montos necesarios para pagar el exceso de Saldos sobre el señalado límite. Para tales efectos, el informe técnico determinará el "Exceso de Saldos del Sistema" como la diferencia entre Saldo total acumulado y el límite de Saldos de 1.350 millones de dólares de los Estados Unidos de América, convertido a moneda nacional de acuerdo al tipo de cambio dispuesto en el artículo 6° de la resolución N° 703. El valor de Exceso de Saldos del Sistema así determinado será considerado en las ecuaciones definidas en el presente artículo y en el artículo 11. El pago del Exceso de Saldos del Sistema resultante se realizará de conformidad a lo establecido en el artículo 18.
Artículo 16°.- La contabilización de Saldos no devengará interés. Excepcionalmente, a partir del 1 de enero de 2026, los Saldos devengarán un interés que será calculado por la Comisión igual a la tasa Libor de seis meses, o la tasa equivalente que la reemplace, más un spread correspondiente al riesgo país a la fecha de aplicación. El referido spread será determinado a partir de la diferencia entre la tasa de interés de un bono soberano de la República de Chile y la tasa de interés de un bono del Tesoro de los Estados Unidos de América, ambos emitidos en dólares de Estados Unidos de América, para plazos y condiciones similares.
Los señalados intereses serán adicionados al monto de Saldos a que se refiere el artículo 13. La adición de los intereses señalados en los montos de Saldos no se encontrará limitada por la restricción al incremento de Saldos a partir de julio de 2023 a que se refiere el artículo 15.
Artículo 17°.- El informe técnico a que se refiere el artículo 5° de la resolución N° 703 deberá incluir, además, un balance por cada Distribuidora asociado a las compras y retiros de energía y potencia.
En dicho balance se deberá considerar:
a) Adicionar las compras reales a nivel de subestación primaria de distribución, valorizadas a los precios PEC o PEC Ajustados, según corresponda;
b) Descontar las compras reales en los puntos de compra, valorizados a los precios que las Distribuidoras pagan a sus Suministradores por sus respectivos contratos, establecidos en el DECReto PNP semestral de acuerdo a la letra a) del artículo 8;
c) Adicionar o descontar las transferencias producto de la aplicación de los TD, según si la Distribuidora contaba con un TD negativo o TD positivo, respectivamente;
d) Descontar el déficit del balance del período anterior de la correspondiente Distribuidora;
e) Resolución 186 EXENTA,
ENERGÍA
Art. primero, N° 2
D.O. 16.06.2021Adicionar o descontar las transferencias recibidas o realizadas a otras Distribuidoras, respectivamente, producto de la ejecución de las instrucciones de pago mandatadas por el balance del período anterior. En el caso que la referida instrucción de pago no se encuentre ejecutada, se deberán adicionar o descontar las transferencias que se originen del balance establecido en el informe técnico del periodo anterior y el balance del período tarifario siguiente deberá considerar las diferencias que se produzcan entre dicho valor contabilizado y el valor efectivamente ejecutado;
ENERGÍA
Art. primero, N° 2
D.O. 16.06.2021Adicionar o descontar las transferencias recibidas o realizadas a otras Distribuidoras, respectivamente, producto de la ejecución de las instrucciones de pago mandatadas por el balance del período anterior. En el caso que la referida instrucción de pago no se encuentre ejecutada, se deberán adicionar o descontar las transferencias que se originen del balance establecido en el informe técnico del periodo anterior y el balance del período tarifario siguiente deberá considerar las diferencias que se produzcan entre dicho valor contabilizado y el valor efectivamente ejecutado;
f) Descontar las transferencias realizadas a Suministradores producto de la ejecución de las instrucciones de pago mandatadas en el período anterior en virtud del pago de Saldos a que se refiere el artículo 18; y,
g) Adicionar las multas y garantías cobradas a los Suministradores en virtud de los contratos de suministro o a los oferentes de los procesos de licitación de suministro.
Las Distribuidoras que cuenten con un balance positivo deberán realizar transferencias a las Distribuidoras que cuenten con un balance negativo. Para estos efectos, el Coordinador establecerá un cuadro de pago de acuerdo a lo establecido en el informe técnico, en un plazo de 5 días hábiles desde la publicación del decreto PNP respectivo.
En caso que la suma total de los balances negativos sea superior a la suma total de los balances positivos, el cuadro de pagos considerará que las Distribuidoras que cuenten con balance positivo realizarán transferencias por la totalidad de su balance positivo a las Distribuidoras con balance negativo, a prorrata de los respectivos balances negativos.
En el referido caso, la diferencia neta entre la suma total de los balances negativos y la suma total de los balances positivos, se denominará "Déficit Semestral de las Distribuidoras" y será considerado en la determinación de precios del Mecanismo de Estabilización, de modo tal que se estime su pago durante el siguiente período semestral. Una vez determinado el Déficit Semestral de las Distribuidoras, éste será reajustado de acuerdo al interés corriente para operaciones no reajustables en moneda nacional de más de 90 días y para montos superiores a las 5.000 unidades de fomento vigente. Todos Resolución 115 EXENTA, ENERGÚIA
Art. primero N° 2
D.O. 23.04.2021los montos considerados serán reajustados por IPC, según corresponda
Art. primero N° 2
D.O. 23.04.2021los montos considerados serán reajustados por IPC, según corresponda
El Déficit Semestral de las Distribuidoras será considerado en la determinación de los Factores de Ajuste aplicable a los precios de energía y potencia contenido en el mismo informe técnico de precios de nudo promedio en que dicho déficit ha sido determinado.
En caso que la suma total de los balances positivos sea igual o superior a la suma total de los balances negativos, el cuadro de pagos considerará que el monto total a transferir por parte de cada Distribuidoras con balance positivo será igual una fracción de éste, correspondiente a la razón entre la suma total de los balances negativos de las Distribuidoras y la suma total de los balances positivos de las Distribuidoras. Adicionalmente, la asignación de tales transferencias entre las distintas Distribuidoras con balances negativos será a prorrata de los respectivos balances negativos. La diferencia neta entre la suma total de los balances positivos y la suma total de los balances negativos, se denominará "Excedente Semestral de las Distribuidoras" y será destinado al pago de los Saldos, de acuerdo a lo señalado en el artículo 18.
Artículo 18°.- En caso de que el resultado de los balances definido de acuerdo al artículo 17 muestre la existencia de un Excedente Semestral de las Distribuidoras, un monto equivalente a dicho excedente será pagado al conjunto de Suministradores que cuenten con Saldos según el registro señalado en el artículo 13, a prorrata del monto de Saldos de cada Suministrador, por parte de las Distribuidoras de sus correspondientes contratos. ElResolución 340 EXENTA,
ENERGÍA
Art. primero b)
D.O. 14.09.2020 pago de cada Suministrador de acuerdo a lo señalado anteriormente deberá irse imputando al pago de Saldos de manera cronológica, pagándose de los Saldos más antiguos a los más nuevos.
ENERGÍA
Art. primero b)
D.O. 14.09.2020 pago de cada Suministrador de acuerdo a lo señalado anteriormente deberá irse imputando al pago de Saldos de manera cronológica, pagándose de los Saldos más antiguos a los más nuevos.
Para tales efectos, el informe técnico determinará en excedente de cada Distribuidora como la porción en la que contribuye cada Distribuidora en el Excedente Semestral de las Distribuidoras. Cada Distribuidora deberá transferir su excedente entre las distintas Distribuidoras, a prorrata del Saldo total adeudado por éstas.
Los pagos a Suministradores por concepto de Saldos según lo señalado en el presente artículo se realizarán en moneda nacional, siendo definidos en un "Cuadro de Pago de Saldos" que determinará el Coordinador en consideración a lo establecido en el informe técnico de precio de nudo promedio. Dicho Cuadro de Pago de Saldos deberá ser comunicado por el Coordinador en un plazo de 5 días hábiles desde la publicación del decreto PNP respectivo.
Las transferencias entre Distribuidoras definidas en el presente artículo complementarán el cuadro de pago de transferencias entre Distribuidoras elaborado por el Coordinador a que se refiere el artículo 17.
Los pagos de Saldos señalados en el presente artículo se realizarán a los Suministradores, o a quien éstos lo hayan cedido, aun cuando haya vencido el período de suministro del Contrato que dio origen a la contabilización de Saldos o aun cuando aquel haya terminado anticipadamente el Contrato por cualquier causa. De conformidad a lo anterior, una vez reconocidos los Saldos en el correspondiente decreto PNP semestral, estas deudas son independientes de los Contratos que les dieron origen. Resolución 186 EXENTA,
ENERGÍA
Art. primero, N° 3
D.O. 16.06.2021Para estos efectos, con ocasión del Cuadro de Pago de Saldos, los Suministradores deberán informar a las Distribuidoras los montos que en dicho cuadro corresponden pagar al Suministrador y los que corresponden pagar a quienes éste haya cedido sus Saldos.
ENERGÍA
Art. primero, N° 3
D.O. 16.06.2021Para estos efectos, con ocasión del Cuadro de Pago de Saldos, los Suministradores deberán informar a las Distribuidoras los montos que en dicho cuadro corresponden pagar al Suministrador y los que corresponden pagar a quienes éste haya cedido sus Saldos.
El Coordinador deberá garantizar la continuidad de la cadena de pagos de los Saldos al titular de éstos.
Artículo 19°.- Las Distribuidoras deberán hacer efectivos los pagos a las correspondientes Distribuidoras de acuerdo a lo establecido en el cuadro de pago señalado en el artículo 17 precedente, a más tardar, 3 días hábiles contados desde su publicación por parte del Coordinador. Asimismo, las Distribuidoras deberán informar a la Comisión los pagos recibidos o realizados en virtud del cuadro de pago, conforme al formato que para ello establezca la Comisión.
Una vez publicado el Cuadro de Pago de Saldos por parte del Coordinador, los Suministradores deberán emitir las facturas correspondientes en un plazo máximo de 3 días hábiles. En dicha factura sólo podrán incluir el mencionado pago de Saldos.
Las Distribuidoras deberán hacer efectivos los pagos a sus correspondientes Suministradores, o en el caso de verificarse una cesión a sus cesionarios, de acuerdo a lo establecido en el Cuadro de Pago de Saldos señalado en el artículo 18 precedente, a más tardar, 6 días hábiles desde laResolución 114 EXENTA,
ENERGÍA
Art. primero N° 1
D.O. 21.04.2020 publicación del Cuadro de Pago de Saldos, antes señalado. Asimismo, las Distribuidoras deberán informar a la Comisión los pagos realizados en virtud del Cuadro de Pago de Saldos, conforme al formato que para ello establezca la Comisión.
ENERGÍA
Art. primero N° 1
D.O. 21.04.2020 publicación del Cuadro de Pago de Saldos, antes señalado. Asimismo, las Distribuidoras deberán informar a la Comisión los pagos realizados en virtud del Cuadro de Pago de Saldos, conforme al formato que para ello establezca la Comisión.
Artículo 20°.- La totalidad de los Saldos deberán ser pagados completamente, a más tardar, el 31 de diciembre de 2027.
Para tales efectos, los informes técnicos preliminares a que se refiere el artículo 7 cuyos correspondientes períodos tarifarios sean posteriores al 31 de diciembre de 2024, deberán incluir una proyección de la acumulación y pago de Saldos hasta el 31 de diciembre de 2027.
En caso que del resultado de dicha proyección se estime que los pagos proyectados no logren pagar la totalidad de los Saldos esperados, el referido informe deberá calcular un factor único de incremento de los PEC Ajustados de energía aplicable hasta el 31 de diciembre de 2027, necesario para que la proyección de pagos extinga la totalidad de los Saldos. Asimismo, el referido informe incorporará dicho incremento al valor de los PEC Ajustados para el correspondiente período semestral. De conformidad a lo anterior, el factor único de incremento del PEC Ajustado de energía será evaluado en su pertinencia y magnitud en cada informe técnico semestral.
Adicionalmente, si los informes técnicos señalados en el inciso segundo del presente artículo determinan que la acumulación total de Saldos ha superado el límite de Saldos de 1.350 millones de dólares, deberá aplicarse lo dispuesto en el último inciso del artículo 15.
Sin perjuicio de lo anterior, con el fin de asegurar el pago total de los Saldos a más tardar el 31 de diciembre de 2027, en el informe técnico se podrá establecer, durante el período anual de 2027, montos de Saldos a ser pagados por los Distribuidores a sus correspondientes Suministradores, sin necesidad de que se constate la existencia de un ExceResolución 114 EXENTA,
ENERGÍA
Art. primero N° 2
D.O. 21.04.2020dente Semestral de las Distribuidoras.
ENERGÍA
Art. primero N° 2
D.O. 21.04.2020dente Semestral de las Distribuidoras.
Artículo 21°.- Los precios resultantes de la aplicación del Mecanismo de Estabilización plasmado en el decreto tarifario semestral a que se refiere el artículo 8, no afectarán cálculo del precio estabilizado de la energía definido en el decreto supremo N° 244, de 2006, del Ministerio de Economía, Fomento y Reconstrucción, que Aprueba el reglamento para medios de generación no convencionales y pequeños medios de generación establecidos en la Ley Eléctrica, o el que lo reemplace.
Artículo 22°.- En conformidad a lo dispuesto en el inciso tercero del artículo decimotercero transitorio de la ley N° 21.194, el Mecanismo de Estabilización es aplicable a los Sistemas Medianos.
En virtud de lo anterior, en el período comprendido entre el 1 de julio de 2019 y el 31 de diciembre de 2020, para el caso de las Distribuidoras pertenecientes a sistemas medianos y cuyas tarifas no se encuentren incluidas en el decreto 20T, los precios que podrán traspasar a sus clientes sujetos a fijación de precios corresponderán a los niveles de precios de nudo de energía y potencia aplicados por las Distribuidoras al 31 de octubre de 2019. Dichos precios se considerarán para todos los efectos parte del PEC. De acuerdo a lo anterior, los precios PEC considerarán a su vez los precios de nudo de energía y potencia contenidos en la resolución exenta de la Comisión N° 282, de fecha 30 de abril de 2019 y Resolución 115 EXENTA, ENERGÚIA
Art. primero N° 3
D.O. 23.04.2021los valores del parámetro Ni contenidos en la resolución exenta de la Comisión N° 279 y en la resolución exenta de la Comisión N° 281, ambas de fecha 30 de abril de 2019
Art. primero N° 3
D.O. 23.04.2021los valores del parámetro Ni contenidos en la resolución exenta de la Comisión N° 279 y en la resolución exenta de la Comisión N° 281, ambas de fecha 30 de abril de 2019
Asimismo, en el período comprendido entre el 1° de enero de 2021 y hasta el término del Mecanismo de Estabilización, los precios que las referidas Distribuidoras podrán traspasar a sus clientes regulados se encontrarán incluidos en las fijaciones semestrales a que se refiere el artículo 158° de la Ley Eléctrica, siendo incorporados en los precios de la letra c) del artículo 8, los que en cualquier caso no podrán ser superiores al PEC Ajustado.
A su vez, para los efectos de la aplicación del Mecanismo de Estabilización, los precios de nudo de energía y potencia de los sistemas medianos que corresponda aplicar de acuerdo a las fijaciones de precios establecidas por el artículo 178° de la Ley Eléctrica, serán consideradas como precios de nudo de largo plazo para estos efectos, siendo incorporados dichos precios en los precios de la letra a) del artículo 7 y letra a) del artículo 8, así como también sus fórmulas de indexación serán incorporadas en la letra b) del artículo 7.
La empresa operadora del sistema mediano se entenderá para los efectos de esta resolución como un Suministrador que posee un contrato de suministro con la correspondiente concesionaria de distribución que abastece. En caso de existir más de un operador en el sistema mediano, se entenderá por Suministrador aquel operador que posea mayor capacidad de generación instalada en el correspondiente sistema mediano, el cual debe asegurar la repartición de la recaudación por ventas de energía y potencia a clientes regulados de conformidad a lo establecido en el decreto supremo N° 23, de 2015, del Ministerio de Energía. A su vez, el pago de Saldos se efectuará a la operadora que posea mayor capacidad de generación instalada en el correspondiente sistema mediano, la cual deberá repartir dicho monto entre los distintos operadores del sistema mediano a prorrata de los montos totales adeudados a cada uno de ellos, para lo cual el correspondiente Comité Coordinador definido en el señalado decreto supremo N° 23 deberá llevar una contabilización mensual de los montos adeudados para cada operador del respectivo sistema mediano, aplicando en lo que corresponda las reglas fijadas en el presente procedimiento.
Las diferencias de facturación que se produzcan hasta el 31 de octubre de 2019 debido a la publicación de los decretos tarifarios asociados al proceso tarifario 2018-2022 serán incorporados a los Saldos del respectivo sistema mediano, considerando los reajustes e intereses hasta el 31 de octubre de 2019, de acuerdo en la normativa aplicable vigente a dicha fecha, y convertidos a dólares de acuerdo al promedio mensual del dólar observado de los Estados Unidos de América publicado por el Banco Central de Chile para el mes de octubre de 2019. A su vez, las diferencias de facturación que se produzcan con posterioridad al 31 de octubre de 2019 debido a la publicación de los decretos tarifarios asociados al proceso tarifario 2018-2022 serán incorporados a los Saldos asignables al respectivo sistema mediano, sin considerar reajustes ni intereses, y convertidos a dólares de acuerdo al promedio mensual del dólar observado de los Estados Unidos de América del respectivo mes de facturación publicado por el Banco Central de Chile.
Las Resolución 115 EXENTA, ENERGÚIA
Art. primero N° 4
D.O. 23.04.2021diferencias de facturación que se produzcan en cada sistema mediano como resultado de la aplicación de los valores del parámetro Ni señalados en el inciso segundo del presente artículo y la correspondiente actualización de éstos conforme a lo establecido en el decreto de fijación de precios definido en el artículo 178° de la Ley, deberán ser contabilizadas en el balance al que se refiere el artículo 17° para las respectivas Distribuidoras.
Art. primero N° 4
D.O. 23.04.2021diferencias de facturación que se produzcan en cada sistema mediano como resultado de la aplicación de los valores del parámetro Ni señalados en el inciso segundo del presente artículo y la correspondiente actualización de éstos conforme a lo establecido en el decreto de fijación de precios definido en el artículo 178° de la Ley, deberán ser contabilizadas en el balance al que se refiere el artículo 17° para las respectivas Distribuidoras.
Para el caso de las Distribuidoras pertenecientes a sistemas medianos cuyas tarifas se encuentren incluidas en el decreto 20T, se deberán descontar de las compras a las que refiere el literal a) del artículo 17°, los montos que corresponda asignar a los respectivos sistemas medianos, los que se determinarán como el resultado de la diferencia entre el precio nudo de largo plazo ajustado y el PEC o PEC ajustado del respectivo sistema mediano, multiplicada por la energía o potencia facturada en el punto de suministro de dicho sistema, según corresponda.
La energía proveniente de sistemas medianos no se considerará en la valorización del monto asociado a la aplicación de TD al que se refiere el literal a) del artículo 12° de la presente resolución.
Respecto de lo dispuesto en el artículo 15° de la presente resolución, en caso de que se estime una acumulación total de Saldos superior a 1.350 millones de dólares durante el período tarifario, en los sistemas medianos el precio de nudo de largo plazo ajustado corresponderá a los precios del decreto tarifado vigente a que se refiere el artículo 178° de la Ley Eléctrica. Adicionalmente, en aquellos sistemas medianos cuyas tarifas no se encuentren incluidas en el decreto 20T deberá adecuarse el PEC o PEC ajustado a los precios del decreto tarifario vigente a que se refiere el artículo 178° de la Ley Eléctrica.
En caso de que el Saldo asignable a un sistema mediano resulte negativo, esto es, montos adeudados a favor de la Distribuidora, dicho Saldo será utilizado para descontar Saldos positivos contabilizados en aquellos sistemas medianos correspondientes al mismo Suministrador, a prorrata de dichos Saldos positivos. Para estos efectos, en aquellos sistemas donde exista más de un operador, el Comité Coordinador deberá velar por la correcta contabilización de los montos adeudados por cada operador o a cada uno de ellos, según corresponda, y determinar las transferencias que procedan. En aquellos casos en que se trate de aportes recibidos por parte de sistemas medianos con Saldos negativos, el Comité Coordinador deberá determinar las transferencias entre los operadores miembros, a efectos de repartir dichos montos. Por su parte, tratándose de casos en que el respectivo sistema mediano resulte con Saldos negativos, el Comité Coordinador deberá determinar las transferencias entre los operadores miembros, a efectos de contabilizar el aporte que deben realizar hacia los sistemas medianos con Saldos positivos. Las señaladas transferencias deberán realizarse, dentro de los 6 días hábiles siguientes contados desde la publicación del decreto PNP respectivo, convertidas en moneda nacional de acuerdo con el dólar observado de los Estados Unidos de América del día hábil siguiente a la publicación del decreto PNP antes referido publicado por el Banco Central de Chile
Artículo 23°.- Los clientes sometidos a regulación de precios que opten por cambiar al régimen de precios libres, a partir de la vigencia de la ley N° 21.185 y hasta el término del Mecanismo de Estabilización, deberán participar de este Mecanismo de Estabilización en igualdad de condiciones con el resto de los clientes regulados, a través de una componente específico que se adicionará al peaje de distribución conforme lo determine la Comisión, lo que será incorporado en los decretos tarifarios de peajes.
Para tal efecto, en el Informe Técnico "Fijación de Peajes Distribución", que debe ser enviado por la Comisión al Ministerio de Energía con ocasión de la fijación de dichas tarifas, se incluirá el mecanismo por el cual los clientes libres participen del mecanismo señalado en el inciso anterior.
Adicionalmente, las Distribuidoras deberán llevar un registro de sus clientes que opten por cambiar al régimen de precios libres a partir de la vigencia de la ley N° 21.185 y sus correspondientes consumos mensuales de energía y potencia.
Las recaudaciones que obtenga la Distribuidora producto de la aplicación de una componente específica en el peaje de distribución conforme al presente artículo, deberá ser adicionada a su balance asociado a las compras y retiros de energía y potencia, a que se refiere el artículo 17.
Artículo 24°.- La Comisión podrá calcular los parámetros tarifarios asociados a combinaciones o sectores de distribución que no estén contenidos en el decreto 20T, siempre y cuando dicha situación responda a la existencia de nuevas combinaciones, o a sectores de distribución de nuevas empresas concesionarias cuya creación fuese realizada en fecha posterior a la dictación del referido decreto. Dichos parámetros tarifarios serán incluidos en el informe técnico y decreto tarifario a los que se refieren respectivamente el artículo 7 y el artículo 8.
Artículo 25°.- Para el primer proceso de fijación de precios de nudo promedio que se realice con posterioridad a la publicación de la ley N° 21.185, se aplicarán las siguientes reglas especiales:
a) Los plazos dispuestos de la resolución N° 703 no serán exigibles.
b) Para efectos de la aplicación del inciso tercero del artículo 6 de la resolución N° 703, el dólar a considerar, en lo que fuere pertinente, será el promedio del valor diario del dólar observado de los Estados Unidos de América del periodo de abril a septiembre de 2019.
Artículo 26°.- La Comisión informará semestralmente a las Comisiones de Minería y Energía del Senado y de la Cámara de Diputados la cuantía de los Saldos que se generen en virtud de lo dispuesto en esta resolución.
Artículo segundo: Notifíquese la presente resolución exenta a las Distribuidoras y a empresas generadoras que poseen contratos de suministro para el abastecimiento de clientes regulados.
Artículo tercero : Publíquese la presente resolución en el Diario Oficial y en el sitio web de la Comisión Nacional de Energía.
Anótese y publíquese.- José Venegas Maluenda, Secretario Ejecutivo, Comisión Nacional de Energía.