APRUEBA REGLAMENTO DE CALIFICACIÓN, VALORIZACIÓN, TARIFICACIÓN Y REMUNERACIÓN DE LAS INSTALACIONES DE TRANSMISIÓN
Núm. 10.- Santiago, 1 de febrero de 2019.
Vistos:
Lo dispuesto en los artículos 32 Nº 6 y 35 de la Constitución Política de la República; en el Decreto Ley Nº 2.224, de 1978, que crea el Ministerio de Energía y la Comisión Nacional de Energía; en el Decreto con Fuerza de Ley Nº 4/20.018, de 2006, del Ministerio de Economía, Fomento y Reconstrucción, que fija texto refundido, coordinado y sistematizado del Decreto con Fuerza de Ley Nº 1, de Minería, de 1982, Ley General de Servicios Eléctricos, en materia de energía eléctrica, en adelante e indistintamente la "Ley General de Servicios Eléctricos" o la "Ley", y sus modificaciones posteriores; en la Ley Nº 20.936, que establece un nuevo sistema de transmisión eléctrica y crea un organismo coordinador independiente del sistema eléctrico nacional; en la Resolución Nº 1.600, de 2008, de la Contraloría General de la República; y
Considerando:
1. Que, la Ley Nº 20.936, que establece un nuevo sistema de transmisión eléctrica y crea un organismo coordinador independiente del sistema eléctrico nacional, introdujo diversas modificaciones a la Ley General de Servicios Eléctricos, particularmente en materia de calificación, valorización, tarificación y remuneración de instalaciones de transmisión;
2. Que, conforme a lo dispuesto en el artículo 73° de la Ley General de Servicios Eléctricos, modificada por la Ley Nº 20.936, un reglamento establecerá las materias necesarias para la debida y eficaz implementación de las disposiciones contenidas en el Título III de la Ley;
3. Que, el ejercicio de la potestad reglamentaria de ejecución implica dictar las disposiciones que se consideren necesarias para la plena aplicación de las leyes, potestad que se ejerce complementando las materias que han sido expresamente remitidas a un reglamento por la ley citada en los considerandos precedentes y colaborando para que todas sus disposiciones sean coherentes y armónicas entre sí, en un mismo acto administrativo para facilitar su comprensión y aplicación.
Decreto:
Artículo único: Apruébase el siguiente reglamento de calificación, valorización, tarificación y remuneración de las instalaciones de transmisión:
"TÍTULO I
DISPOSICIONES GENERALES
Capítulo 1
Objetivo y alcance
Artículo 1.- El presente reglamento tiene por objetivo establecer las disposiciones aplicables a los procesos de calificación, valorización, tarificación y remuneración de las instalaciones de los sistemas de transmisión o de transporte de electricidad, así como las demás materias necesarias para el adecuado desarrollo de los procesos señalados.
Artículo 2.- Las disposiciones del presente reglamento serán aplicables a las instalaciones pertenecientes a los sistemas de transmisión nacional, zonal, para polos de desarrollo, dedicados y de interconexión internacional, a sus propietarios, arrendatarios, usufructuarios o a aquellos que operen o exploten a cualquier título dichas instalaciones y a quienes hacen uso de las mismas.
Asimismo, estas disposiciones serán aplicables al coordinador independiente del sistema eléctrico nacional.
Artículo 3.- Las disposiciones del presente reglamento sólo serán aplicables en sistemas eléctricos con capacidad instalada de generación superior o igual a 200 MW.
Artículo 4.- Los plazos de días señalados en el presente reglamento son de días hábiles, entendiéndose que son inhábiles los días sábados, domingos y festivos.
Capítulo 2
Definiciones
Artículo 5.- Para los efectos de la aplicación de las disposiciones establecidas en el presente reglamento, se entenderá por:
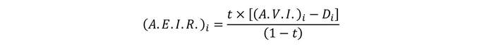
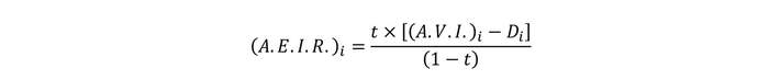
a. A.E.I.R.: Ajuste por efectos de impuestos a la renta;
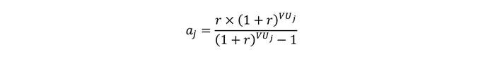
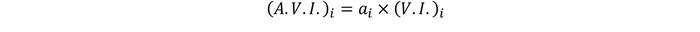
b. A.V.I.: Anualidad del valor de inversión;
c. Bases del o los Estudios de Valorización o Bases: Bases técnicas y administrativas del o los estudios de valorización a que se refieren los artículos 105° y siguientes de la Ley;
d. C.O.M.A.: Costos anuales de operación, mantenimiento y administración;
e. Comisión: Comisión Nacional de Energía;
f. Comité: Comité de adjudicación y supervisión del o los estudios de valorización a que se refiere el inciso segundo del artículo 108° de la Ley;
g. Coordinados: Propietarios, arrendatarios, usufructuarios o quien opere, a cualquier título, centrales generadoras, sistemas de transporte, instalaciones para la prestación de servicios complementarios, sistemas de almacenamiento de energía, instalaciones de distribución e instalaciones de clientes libres y que se interconecten al sistema eléctrico, así como los pequeños medios de generación que se conecten directamente a instalaciones de distribución, a que se refiere el artículo 72°-2 de la Ley;
h. Coordinador: Coordinador independiente del sistema eléctrico nacional al que se refiere el artículo 212°-1 de la Ley;
i. Decreto de Expansión: Decreto exento del Ministerio de Energía expedido bajo la fórmula "por orden del Presidente de la República", que fija las obras de expansión de los sistemas de transmisión, al que se refiere el artículo 92° de la Ley;
j. Estudio(s) de Valorización: Estudio(s) de valorización a que se refieren los artículos 105° y siguientes de la Ley;
k. Empresa Transmisora: Propietarios, arrendatarios, usufructuarios o quienes exploten a cualquier título instalaciones de transmisión eléctrica;
l. Informe de Calificación: Informe técnico de calificación de instalaciones de los sistemas de transmisión a que se refiere el artículo 101° de la Ley;
m. Informe de Vidas Útiles: Informe técnico que contiene las vidas útiles de los elementos de transmisión a que se refiere el artículo 104° de la Ley;
n. Ingresos Tarifarios Reales: Diferencia que resulta de la aplicación de los costos marginales de la operación real del sistema, respecto de las inyecciones y retiros de potencia y energía en un tramo de los sistemas de transmisión;
o. Instalaciones Enmalladas: Instalaciones de transmisión que en conjunto permiten el transporte de electricidad con más de una trayectoria posible entre una subestación y otra;
p. Orden Económico: Aquel resultante del despacho de unidades de generación o sistemas de almacenamiento de energía, según corresponda, en orden creciente de menor a mayor costo de producción de energía eléctrica, de acuerdo al listado de prioridad de colocación efectuado por el Coordinador.
q. Instalaciones Radiales: Instalaciones de transmisión que permiten el transporte de electricidad con sólo una trayectoria posible entre una subestación y otra;
r. Informe Técnico de Valorización: Informe técnico de valorización de las instalaciones a que se refiere el artículo 112° de la Ley;
s. Ley o Ley General de Servicios Eléctricos: Decreto con Fuerza de Ley Nº 4/20.018, de 2006, del Ministerio de Economía, Fomento y Reconstrucción, que fija el texto refundido, coordinado y sistematizado del Decreto con Fuerza de Ley Nº 1, de Minería, de 1982, Ley General de Servicios Eléctricos, en materia de energía eléctrica, y sus modificaciones posteriores o la disposición que la reemplace;
t. Ministerio: Ministerio de Energía;
u. Obras de Ampliación: Aquellas que aumentan la capacidad o la seguridad y calidad de servicio de líneas y subestaciones eléctricas existentes, fijadas mediante el Decreto de Expansión;
v. Obras de Expansión: Son las obras nuevas y las Obras de Ampliación de los respectivos sistemas de transmisión, fijadas mediante el Decreto de Expansión;
w. Obras Nuevas: Aquellas líneas o subestaciones eléctricas que no existen y son dispuestas para aumentar la capacidad o la seguridad o calidad de servicio del sistema eléctrico nacional, fijadas mediante el Decreto de Expansión;
x. Panel de Expertos o Panel: Panel de expertos al que se refiere el Título VI de la Ley;
y. Participantes: Empresas generadoras, transmisoras, distribuidoras y usuarios no sometidos a regulación de precios que se encuentren interconectados al sistema eléctrico e inscritos en el Registro de Participación a que se refiere el artículo 90° de la Ley;
z. Propuesta: Oferta o propuesta presentada por la o las empresas interesadas en la realización del o los Estudios de Valorización;
aa. Resolución de Calificación: Resolución exenta de la Comisión a que se refiere el artículo 100° de la Ley;
bb. Sistema de Transmisión: Conjunto de líneas y subestaciones eléctricas que forman parte de un sistema eléctrico, y que no están destinadas a prestar el servicio público de distribución, cuya operación deberá coordinarse según lo dispone el artículo 72°-1 de la Ley General de Servicios Eléctricos;
cc. Sistema de Interconexión Internacional: Conjunto de líneas y subestaciones eléctricas destinadas a transportar la energía eléctrica y demás servicios eléctricos para efectos de posibilitar su exportación o importación, desde y hacia los sistemas eléctricos ubicados en territorio nacional;
dd. Sistema de Transmisión Dedicado: Aquellos Sistemas de Transmisión constituidos por las líneas y subestaciones eléctricas radiales, que encontrándose interconectadas al sistema eléctrico, están dispuestas esencialmente para el suministro de energía eléctrica a usuarios no sometidos a regulación de precios o para inyectar la producción de las centrales generadoras al sistema eléctrico. Asimismo, pertenecen a los Sistemas de Transmisión Dedicados aquellas Instalaciones Enmalladas que estén dispuestas para los fines señalados anteriormente, y adicionalmente se verifique que su operación no produce impactos o modificaciones significativas en la operación del resto del sistema, de acuerdo a la normativa vigente;
ee. Sistema de Transmisión Nacional: Aquel Sistema de Transmisión que permite la conformación de un mercado eléctrico común, interconectando los demás segmentos de la transmisión, constituido por las líneas y subestaciones eléctricas que permiten el desarrollo de este mercado y posibilitan el abastecimiento de la totalidad de la demanda del sistema eléctrico, frente a diferentes escenarios de disponibilidad de las instalaciones de generación, incluyendo situaciones de contingencia y falla, considerando las exigencias de calidad y seguridad de servicio establecidas en la Ley, los reglamentos y las normas técnicas;
ff. Sistema de Transmisión para Polos de Desarrollos: Aquellos Sistemas de Transmisión constituidos por las líneas y subestaciones eléctricas, destinadas a transportar la energía eléctrica producida por medios de generación ubicados en un mismo polo de desarrollo, hacia el Sistema de Transmisión, haciendo un uso eficiente del territorio nacional;
gg. Sistema de Transmisión Zonal: Conjunto de líneas y subestaciones eléctricas dispuestas esencialmente para el abastecimiento actual o futuro de clientes regulados, territorialmente identificables, sin perjuicio del uso por parte de clientes libres o medios de generación conectados directamente o a través de Sistemas de Transmisión Dedicados a dichos Sistemas de Transmisión;
hh. Sistema Eléctrico Nacional: Sistema eléctrico interconectado cuya capacidad instalada de generación sea igual o superior a 200 megawatts;
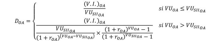
ii. Superintendencia: Superintendencia de Electricidad y Combustibles;
jj. Tramo: Conjunto mínimo de instalaciones del Sistema de Transmisión económicamente identificables, agrupadas según los criterios que establece el presente reglamento;
kk. Tramo de Subestación: Conjunto de instalaciones comunes, económicamente identificables, ubicadas al interior de una subestación, cuyo uso no es atribuible a un tramo de transporte en particular y que presta servicio a todos los tramos de transporte que se conectan a la misma, independiente de la calificación de éstos;
ll. Tramo de Transporte: Conjunto mínimo de instalaciones económicamente identificables para conformar una línea de transmisión, un sistema de almacenamiento que haya sido decretado en un plan de expansión de la transmisión o un transformador de poder y que puede incluir todas aquellas instalaciones o equipamientos que no se encuentren contenidas en un Tramo de Subestación;
mm. Usuarios e Instituciones Interesadas: Toda persona natural o jurídica con interés de participar en alguno de los procesos definidos en la Ley, que se encuentren inscritos en el registro de participación a que se refiere el artículo 90° de la misma;
nn. V.A.: Valor anual de nueva infraestructura de servicios complementarios;
oo. V.A.T.T.: Valor anual de la transmisión por Tramo; y
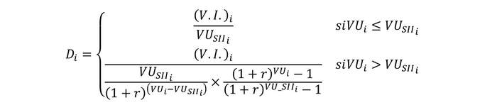
pp. V.I.: Valor de inversión.
TÍTULO II
DE LA CALIFICACIÓN DE LAS INSTALACIONES DE LOS SISTEMAS DE TRANSMISIÓN
Capítulo 1
Consideraciones generales de la calificación de instalaciones
Artículo 6.- La Comisión deberá determinar cuatrienalmente el conjunto de instalaciones que serán adscritas a cada uno de los segmentos de los Sistemas de Transmisión indicados en el inciso primero del artículo 100° de la Ley.
Artículo 7.- Las líneas y subestaciones eléctricas de cada Sistema de Transmisión Nacional, Sistema de Transmisión para Polos de Desarrollo, Sistema de Transmisión Zonal y de los Sistemas de Transmisión Dedicados serán determinadas por la Comisión mediante la Resolución de Calificación dictada al efecto, en consistencia con las consideraciones a que hace referencia el artículo 87° de la Ley.
Las líneas y subestaciones eléctricas pertenecientes a los Sistemas de Interconexión Internacional a que se refiere el artículo 78° de la Ley, deberán sujetarse al procedimiento establecido en el artículo 99° bis del mismo cuerpo legal, para efectos de que el Ministerio disponga su ejecución o calificación, según corresponda.
Artículo 8.- La Comisión deberá incorporar a la Resolución de Calificación, las Obras de Expansión contenidas en los respectivos Decretos de Expansión una vez que hayan entrado en operación, así como aquellas otras instalaciones que hayan entrado en operación dentro del periodo de vigencia de la Resolución de Calificación. Las Obras de Expansión antes referidas mantendrán la calificación que se les hubiese dado en el respectivo plan de expansión por cinco periodos tarifarios, a partir de su entrada en operación.
La Comisión también deberá incorporar a la Resolución de Calificación las instalaciones dedicadas existentes cuya calificación haya cambiado producto de haber sido intervenidas con Obras de Expansión del Sistema de Transmisión Nacional, Zonal o para Polos de Desarrollo, según corresponda, de acuerdo a lo señalado en los artículos 87° y 88° de la Ley, las que pasarán a integrar uno de dichos segmentos a partir de la publicación en el Diario Oficial del respectivo Decreto de Expansión. Las obras antes referidas mantendrán la misma calificación de la obra contenida en el plan de expansión que generó la intervención por cinco periodos tarifarios.
Asimismo, la Comisión deberá incorporar a la Resolución de Calificación, las instalaciones señaladas en el artículo 102° inciso segundo de la Ley una vez que hayan entrado en operación, adscribiéndolas transitoriamente a algunos de los segmentos señalados en el artículo 73° de la misma, de acuerdo a lo establecido en el Artículo 43.- de este reglamento, hasta la siguiente calificación de instalaciones cuatrienal.
Finalmente, en la Resolución de Calificación, la Comisión deberá identificar las instalaciones existentes de servicio público y de interés privado pertenecientes a los Sistemas de Interconexión Internacional, una vez que éstas entren en operación y sean informadas por el Coordinador.
Artículo 9.- Para efectos de lo señalado en los incisos primero y tercero del artículo anterior, la Comisión, dentro de los primeros cinco días hábiles de cada mes, incorporará al listado de instalaciones contenido en la Resolución de Calificación todas las instalaciones que hayan obtenido la autorización para entrar en operación por parte del Coordinador, dentro del mes anterior.
Asimismo, dentro del mismo plazo, en caso de corresponder, la Comisión deberá incorporar las obras a las que se refiere el inciso segundo del artículo anterior una vez que se haya publicado en el Diario Oficial el Decreto de Expansión respectivo.
Artículo 10.- Las líneas y subestaciones eléctricas sólo podrán pertenecer a un segmento del Sistema de Transmisión.
Para la identificación de las líneas y subestaciones eléctricas que sean calificadas en virtud del procedimiento regulado en el presente Título, se considerará la definición de Tramo de Transporte y Tramo de Subestación establecida en el Artículo 5.- de este reglamento.
Artículo 11.- En la Resolución de Calificación, la Comisión podrá agrupar una o más áreas territoriales para conformar los respectivos Sistemas de Transmisión Zonal. Tanto dicha agrupación como la incorporación de una línea o subestación en una de éstas, deberá mantenerse por tres periodos tarifarios, salvo que éstas fueren calificadas en otro segmento.
Para la conformación de los respectivos Sistemas de Transmisión Zonal, la Comisión podrá considerar las áreas territoriales donde se ubican las instalaciones, la existencia de economías de escala, la demanda a suministrar, criterios de eficiencia en la asignación de los componentes utilizados para la determinación de las respectivas tarifas a los clientes finales, la desviación del costo medio de las instalaciones entre los Sistemas de Transmisión Zonal y, la diferencia del cargo de transmisión zonal aplicable a los clientes finales entre cada periodo tarifario, entre otros.
Artículo 12.- En el proceso de calificación de instalaciones de transmisión, la Comisión deberá definir, asimismo, la desconexión de aquellas líneas y subestaciones que no sean necesarias para el sistema eléctrico, considerando los antecedentes que emanen de los procesos de planificación de la transmisión, previo informe de seguridad del Coordinador, sin perjuicio de las facultades de la Superintendencia para instruir el desmantelamiento íntegro de las instalaciones eléctricas que puedan constituir un peligro para las personas o las cosas.
Capítulo 2
Del proceso de calificación de instalaciones
Artículo 13.- Para efectos de la calificación de las líneas y subestaciones eléctricas, veintisiete meses antes del término del periodo de vigencia de las tarifas de los Sistemas de Transmisión, el Coordinador deberá remitir a la Comisión el listado de instalaciones contenido en los sistemas de información a que hace referencia el artículo 72°-8 de la Ley.
Artículo 14.- Dentro de los noventa días corridos siguientes a la recepción de la información señalada en el artículo anterior, la Comisión deberá emitir y comunicar a los Participantes y a los Usuarios e Instituciones Interesadas, a través de medios electrónicos, un Informe de Calificación preliminar con la calificación de todas las líneas y subestaciones del Sistema de Transmisión.
Los Participantes y los Usuarios e Instituciones Interesadas dispondrán de quince días para presentar sus observaciones al Informe de Calificación preliminar, de acuerdo al formato que establezca la Comisión para ello.
Artículo 15.- Dentro de los quince días siguientes al vencimiento del plazo para presentar observaciones, la Comisión emitirá y comunicará el Informe de Calificación final, aceptando o rechazando fundadamente las observaciones presentadas.
Artículo 16.- Dentro de los diez días siguientes a la comunicación del Informe de Calificación final, los Participantes y los Usuarios e Instituciones Interesadas podrán presentar sus discrepancias al Panel de Expertos, el que emitirá su dictamen en un plazo de treinta días contados desde la respectiva audiencia a que hace referencia el artículo 211° de la Ley.
Para los efectos anteriores, se entenderá que existe discrepancia susceptible de ser sometida al dictamen del Panel, si quien hubiere formulado observaciones técnicas al Informe de Calificación preliminar, persevere en ellas, con posterioridad al rechazo de las mismas por parte de la Comisión, como también, si quien no hubiere formulado observaciones técnicas al Informe de Calificación preliminar, considere que se debe mantener su contenido, en caso de haberse modificado en el Informe de Calificación final.
Concluido el plazo para presentar discrepancias o emitido el dictamen del Panel, según corresponda, dentro de los quince días siguientes, la Comisión deberá, mediante la Resolución de Calificación, aprobar el Informe de Calificación definitivo con la calificación de las líneas y subestaciones de transmisión para el cuatrienio siguiente, la que deberá ser publicada en su sitio web.
Artículo 17.- El Informe de Calificación deberá contener, a lo menos:
a. Listado de las instalaciones remitido por el Coordinador a la Comisión;
b. Criterios, antecedentes y consideraciones para la calificación de instalaciones conforme a los artículos 87° y 100 ° de la Ley;
c. Criterios empleados por la Comisión para la agrupación de áreas territoriales para la conformación de los Sistemas de Transmisión Zonal, cuando corresponda;
d. Listado con la calificación de líneas y subestaciones eléctricas del Sistema de Transmisión, de acuerdo a la identificación realizada conforme lo señalado en el Artículo 10.- del presente reglamento;
e. Listado de instalaciones calificadas como dedicadas usadas por usuarios sometidos a regulación de precios;
f. Listado y justificación para definir la desconexión de aquellas líneas y subestaciones que no sean necesarias para el sistema eléctrico;
g. Descripción del caso base a que hace referencia el Artículo 32.- inciso segundo, del presente reglamento; y
h. Metodología para determinar el impacto en los perfiles de tensión a que hace referencia el Artículo 32.- inciso final, del presente reglamento.
Capítulo 3
Metodología para la calificación de instalaciones de transmisión
Párrafo I
Antecedentes para la calificación de instalaciones
Artículo 18.- El proceso de calificación se efectuará a partir de la información del listado de instalaciones entregado por el Coordinador, en conformidad a lo establecido en el Artículo 13.- del presente reglamento. Para la realización del proceso de calificación la Comisión considerará, al menos, los siguientes antecedentes, los que deberán ser detallados en el Informe de Calificación:
a. Proyección de precios de combustibles: corresponderá a la proyección de precios de los combustibles, para todo el horizonte de análisis que se haya fijado para el proceso de calificación. Para estos efectos, se utilizarán las proyecciones realizadas en el informe técnico definitivo del proceso de fijación de precios de nudo de corto plazo, inmediatamente anterior a la fecha de inicio del proceso de calificación de instalaciones de transmisión;
b. Registro histórico de demanda máxima: corresponderá al valor máximo de la información horaria desagregada, obtenida a través de la información de medición horaria enviada por el Coordinador para el año anterior a aquel en que se inicia el proceso de calificación de instalaciones de transmisión;
c. Proyección de demanda de clientes libres: corresponderá a la previsión de la demanda de energía eléctrica para los clientes libres del Sistema Eléctrico Nacional, para todo el horizonte de análisis que se haya fijado para el proceso de calificación de instalaciones de transmisión. Para estos efectos, se considerará la información del Informe Técnico Definitivo del proceso de fijación de precios de nudo de corto plazo, inmediatamente anterior a la fecha de inicio del proceso de calificación de instalaciones de transmisión;
d. Proyección de demanda de clientes regulados: corresponderá a la previsión de la demanda de energía eléctrica para los clientes regulados del Sistema Eléctrico Nacional, para todo el horizonte de análisis que se haya fijado para el proceso de calificación de instalaciones de transmisión. Para estos efectos, se considerará la información del Informe Técnico Definitivo del proceso de fijación de precios de nudo de corto plazo, inmediatamente anterior a la fecha de inicio del proceso de calificación de instalaciones de transmisión;
e. Plan de obras de generación y transmisión: se conformará por las obras de generación y de transmisión que hayan sido declaradas en construcción por la Comisión, de acuerdo a lo establecido en el artículo 72°-17 de la Ley. Se incluyen también las obras de transmisión nacional, zonal y para polos de desarrollo que hayan sido decretadas en algún proceso de planificación de transmisión. Asimismo, se considerarán aquellos proyectos de generación que se encuentren comprometidos en virtud de las licitaciones de suministro para clientes regulados que hayan sido adjudicadas y aquellos proyectos cuyos titulares hubiesen suscrito contratos para el suministro de clientes libres, y en este último caso que se hayan comunicado a la Comisión al inicio del último proceso de planificación de la transmisión en curso, según los criterios que defina la Comisión;
f. Modelamiento de la demanda: corresponderá a la representación de los perfiles de demanda de energía eléctrica de cada barra del sistema, mediante la caracterización de diferentes bloques horarios. Para estos efectos, se podrá considerar la información histórica de los retiros de energía horarias de cada barra del sistema;
g. Modelamiento de generación de fuentes renovables: corresponderá a la representación de los perfiles de inyección de las unidades de generación renovables. Para estos efectos la Comisión podrá considerar antecedentes históricos de generación, información estadística, así como todos aquellos antecedentes que permitan una adecuada representación de las fuentes de generación renovables;
h. Disponibilidad de combustibles de centrales térmicas: corresponderá a la disponibilidad de combustibles de acuerdo a la información contenida en el informe técnico definitivo del proceso de fijación de precios de nudo de corto plazo que lleva a cabo la Comisión, correspondiente al primer semestre de cada año; e
i. Parámetros y variables del sistema eléctrico: corresponderán a los parámetros y características técnicas de las instalaciones de transmisión a modelar en el proceso de calificación de instalaciones de transmisión, las que se obtendrán del sistema de información pública del Coordinador, según lo establece el artículo 72°-8 de la Ley.
Artículo 19.- Para la elaboración del Informe de Calificación preliminar, la Comisión considerará la información y antecedentes más actualizados indicados en el artículo precedente para un periodo, al menos, equivalente al respectivo cuadrienio de vigencia de la calificación. Asimismo, para determinar la calificación de instalaciones se considerarán los efectos observados a la mitad del periodo cuadrienal de vigencia del respectivo proceso de calificación.
Párrafo II
Etapas del proceso de calificación de instalaciones
Artículo 20.- El proceso de calificación de instalaciones de transmisión considerará la realización de las siguientes etapas sucesivas de análisis:
a. Análisis de Instalaciones Radiales;
b. Análisis de Instalaciones Enmalladas;
c. Análisis de continuidad de instalaciones nacionales, zonales, dedicadas y para polos de desarrollo; y
d. Otras consideraciones del proceso de calificación.
Párrafo III
Etapa de análisis de instalaciones radiales
Artículo 21.- La Comisión realizará una revisión y estudio de la totalidad de las instalaciones del Sistema de Transmisión, identificando aquellas Instalaciones Radiales que, a la mitad del periodo de calificación, se encuentren siendo utilizadas para uno de los siguientes usos:
a. Suministrar energía eléctrica a usuarios sometidos a regulación de precios;
b. Suministrar energía eléctrica a usuarios no sometidos a regulación de precios;
c. Conectar a sistemas de almacenamiento que no correspondan a infraestructura asociada a los Sistemas de Transmisión; o
d. Inyectar la producción de centrales generadoras al Sistema Eléctrico Nacional.
Asimismo, la Comisión deberá identificar las Instalaciones Radiales que cumplan dos o más de los usos señalados en el inciso anterior, las que se denominarán "Instalaciones Radiales de uso mixto".
La Comisión podrá considerar como Instalaciones Radiales a las Instalaciones Enmalladas cuya capacidad de transporte no sea suficiente para inyectar la capacidad máxima de las centrales o retirar la demanda máxima conectada a las mismas. La Comisión deberá explicitar lo anterior en el Informe de Calificación.
Artículo 22.- La Comisión deberá calificar como perteneciente a los Sistemas de Transmisión Dedicados a los Tramos de Transporte o Subestación correspondientes que cumplan lo señalado en los literales b), c) y d) del artículo anterior, y como perteneciente a los Sistemas de Transmisión Zonal a los que cumplan lo señalado en el literal a).
Artículo 23.- Los Tramos de Transporte o Subestación asociados a las Instalaciones Radiales de uso mixto serán calificadas según los siguientes criterios:
a. Si está siendo utilizado para el suministro de energía eléctrica a usuarios no sometidos a regulación de precios y para inyectar la producción de centrales generadoras será calificado como perteneciente al Sistema de Transmisión Dedicado.
b. Si está siendo utilizado para el suministro de energía eléctrica a usuarios sometidos a regulación de precios y para inyectar la producción de centrales generadoras será calificado como perteneciente al Sistema de Transmisión Dedicado si la razón existente entre la capacidad instalada de generación y las demandas máximas de los clientes regulados es mayor o igual al umbral calculado según se indica en el Artículo 26.-. En caso contrario, será calificado como perteneciente al Sistema de Transmisión Zonal.
c. Si está siendo utilizado para el suministro de energía eléctrica a usuarios sometidos a regulación de precios y para usuarios no sometidos a regulación de precios será calificado como perteneciente al Sistema de Transmisión Dedicado si la razón existente entre las demandas máximas de los clientes no sometidos a regulación de precios y de los clientes regulados es mayor o igual al umbral calculado según se indica en el Artículo 25.-. En caso contrario, será calificado como perteneciente al Sistema de Transmisión Zonal.
d. Si está siendo utilizado para el suministro de energía eléctrica a usuarios sometidos a regulación de precios, para usuarios no sometidos a regulación de precios y para inyectar la producción de centrales generadoras será calificado como perteneciente al Sistema de Transmisión Dedicado si la razón existente entre la capacidad instalada de generación y la suma de las demandas máximas de los clientes no sometidos a regulación de precios y de los clientes sometidos a regulación de precios es mayor o igual al umbral calculado según se indica en el Artículo 26.-. Si no se cumple la relación anterior, la Comisión deberá verificar si la razón existente entre las demandas máximas de los clientes no sometidos a regulación de precios y de los clientes regulados es mayor igual al umbral calculado según se indica en el Artículo 25.-, en cuyo caso el Tramo será calificado como perteneciente al Sistema de Transmisión Dedicado. En caso contrario será calificado como perteneciente al Sistema de Transmisión Zonal.
Para efectos de la consideración de los sistemas de almacenamiento que no correspondan a infraestructura asociada a los Sistemas de Transmisión en la calificación de las Instalaciones Radiales de uso mixto, la Comisión deberá utilizar una metodología similar a la descrita en los literales anteriores para la inyección de centrales generadoras, que deberá especificar en el Informe de Calificación.
Los Tramos de Transporte de sistemas de almacenamiento que sean parte de un plan de expansión de la transmisión, recibirán la misma calificación que se haya asignado al Tramo de Subestación al que se encuentran conectados.
Párrafo IV
Metodología para determinar los umbrales
Artículo 24.- Para efectos de determinar los umbrales señalados en el artículo anterior se deberán considerar las siguientes hipótesis:
a. Participación en el uso del Tramo por parte de clientes regulados y clientes libres.
b. Participación en el uso del Tramo por parte de clientes regulados, clientes libres y generadores.
Artículo 25.- En la hipótesis señalada en la letra a) del artículo anterior, el umbral será el valor que representa la razón entre la demanda máxima anual de clientes libres y regulados, a la mitad del periodo de calificación, calculado de modo que al año 20 desde el inicio del señalado periodo, dicha razón sea 51 es a 49, considerando únicamente el crecimiento de la demanda de clientes regulados.
Artículo 26.- En la hipótesis señalada en la letra b) del Artículo 24.- del presente reglamento, el umbral será el valor que representa la razón entre la capacidad instalada de generación y la suma de las demandas de clientes libres y regulados a la mitad del periodo de calificación, calculado de modo que al año 20 desde el inicio del señalado periodo, dicha razón sea 51 es a 49, considerando únicamente el crecimiento de las demandas de clientes regulados y libres.
Artículo 27.- Concluida la etapa de análisis de Instalaciones Radiales, el conjunto de instalaciones que sean identificadas y adscritas a los Sistemas de Transmisión Dedicado o Zonal serán excluidas de los análisis de Instalaciones Enmalladas, sólo para efectos de la determinación del universo de instalaciones que serán objeto de calificación en las siguientes etapas del proceso.
Párrafo V
Etapa de análisis de instalaciones enmalladas
Artículo 28.- El análisis de las Instalaciones Enmalladas se diferenciará por nivel de tensión, según se indica a continuación:
a. Análisis de Instalaciones Enmalladas de nivel de tensión igual o superior a 500 kV.
b. Análisis de Tramos de Transporte enmallados de nivel de tensión inferior a 220 kV.
c. Análisis de Tramos de Transporte enmallados de nivel de tensión mayor o igual a 220 kV y menor a 500 kV.
d. Análisis de Tramos de Subestación enmallados de nivel de tensión menor a 500 kV.
Artículo 29.- Solo podrán formar parte del Sistema de Transmisión Nacional aquellos Tramos de Transporte que presenten un nivel de tensión mayor o igual a 220 kV y que cumplan los demás requisitos y condiciones establecidos en el presente reglamento.
Párrafo VI
Análisis de instalaciones enmalladas de nivel de tensión igual o superior a 500 kV
Artículo 30.- Los Tramos de Transporte y Tramos de Subestación cuyo nivel de tensión sea igual o superior a 500 kV y aquellos otros que, encontrándose energizados en un nivel de tensión inferior, hayan sido diseñados y construidos en un estándar igual o superior al referido nivel de tensión, serán calificados como pertenecientes al Sistema de Transmisión Nacional.
Párrafo VII
Análisis de tramos de transporte enmallados de nivel de tensión inferior a 220 kV
Artículo 31.- En caso de los Tramos de Transporte de nivel de tensión inferior a 220 kV, la Comisión deberá considerar sucesivamente los criterios que se señalan a continuación:
a. Tipo de usuario que utilice el Tramo de Transporte. Se calificarán como pertenecientes al Sistema de Transmisión Zonal aquellos Tramos cuyo uso por parte de los usuarios sometidos a regulación de precios, determinado a través de un indicador definido en el Informe de Calificación, sea superior al porcentaje correspondiente a la demanda máxima anual de clientes regulados utilizada para definir el umbral señalado en el Artículo 25.-. A su vez, si el uso del Tramo, determinado a través de un indicador definido en el Informe de Calificación, por parte de usuarios no sometidos a regulación de precios es igual o superior al 90%, se entenderá que dicho Tramo está dispuesto esencialmente para el suministro de usuarios no sometidos a regulación de precios y que su operación no produce impactos o modificaciones significativas en la operación del resto del sistema, por lo que será calificado como perteneciente al Sistema de Transmisión Dedicado.
b. Impacto que produzca a los usuarios regulados la prescindencia del Tramo de Transporte. Los Tramos de Transporte que no fueron calificados según el criterio establecido en la letra a) de este artículo se calificarán como pertenecientes al Sistema de Transmisión Zonal, si a causa de su ausencia, dada como resultado del ejercicio de prescindencia, se ve impedido el suministro de energía a clientes regulados. Lo anterior sólo podrá aplicarse sobre los Tramos de Transporte que cuenten con el equipamiento necesario para que operativamente se pueda prescindir de ellos.
c. Impactos o modificaciones que la prescindencia del Tramo de Transporte generan en la operación del resto del sistema. Los Tramos de Transporte que no fueron calificados según los criterios señalados en las letras a) y b) anteriores, serán calificados como pertenecientes al Sistema de Transmisión Zonal si, a causa de su ausencia, dada como resultado del ejercicio de prescindencia, se provoca un aumento significativo en los costos marginales del sistema de aquellas subestaciones que abastecen directamente a clientes regulados, o un impacto en los perfiles de tensión de aquellas mismas, según lo señalado en el Artículo 32.-, incisos primero y tercero respectivamente. En caso contrario, los Tramos de Transporte serán calificados como pertenecientes al Sistema de Transmisión Dedicado. Lo anterior sólo podrá aplicarse sobre los Tramos de Transporte que cuenten con el equipamiento necesario para que operativamente se pueda prescindir de éstos.
d. Calificación de Tramos de Transporte que no cuenten con el equipamiento necesario para que operativamente se pueda prescindir de éstos. Se calificarán de acuerdo a lo indicado en el Artículo 33.- del presente reglamento.
Artículo 32.- Para determinar si se produce un impedimento del abastecimiento a clientes regulados, señalado en el literal b) del artículo anterior, la Comisión deberá compararlo respecto de un caso base. Por otra parte, para determinar si se produce un aumento significativo de los costos marginales del sistema, señalado en el literal c) del artículo anterior, la Comisión deberá comprobar si se produce un aumento de un 10% respecto de un caso base, en un área determinada, de acuerdo a los criterios que se establezcan en el Informe de Calificación.
El caso base deberá definirse en el Informe de Calificación y es aquel que resulte de la simulación de la operación del sistema que permita identificar el o los bloques y escenarios hidrológicos de mayor utilización del o los Tramos de Transporte que son objeto de análisis.
Asimismo, para determinar el impacto en los perfiles de tensión del sistema, señalado en el literal c) del artículo anterior, la Comisión deberá comprobar si al prescindir de un Tramo de Transporte, se producen niveles de tensión que se encuentren fuera de los rangos establecidos en el estado del Sistema Eléctrico Nacional que determine la Comisión a partir de aquellos que se definan en la normativa técnica. La metodología para analizar dicho impacto deberá detallarse en el Informe de Calificación.
Artículo 33.- Para calificar los Tramos de Transporte que no cuenten con equipamiento que permita prescindir operativamente de los mismos, la Comisión deberá identificar los Tramos de Transporte calificados más cercanos eléctricamente a cada extremo del Tramo de Transporte no calificado, para un mismo nivel de tensión, de acuerdo a la aplicación secuencial de los siguientes criterios:
a. Si cada uno de los Tramos del par de Tramos de Transporte calificados presentan calificaciones iguales, los Tramos de Transporte no calificados serán adscritos al mismo segmento que el par de Tramos de Transporte calificados.
b. Si un Tramo del par de Tramos de Transporte calificados se encuentra adscrito al Sistema de Transmisión Nacional, los Tramos de Transporte no calificados serán adscritos a este mismo segmento.
c. Si un Tramo del par de Tramos de Transporte calificados se encuentra adscrito al Sistema de Transmisión Zonal, los Tramos de Transporte no calificados serán adscritos a este mismo segmento.
Párrafo VIII
Análisis de tramos de transporte enmallados de nivel de tensión mayor o igual a 220 kV y menor a 500 kV
Artículo 34.- La Comisión calificará los Tramos de Transporte que presenten un nivel de tensión mayor o igual a 220 kV y menor a 500 kV como pertenecientes al Sistema de Transmisión Nacional, si como resultado del ejercicio de prescindencia se cumple alguna de las siguientes hipótesis:
a. Aumento significativo en los costos marginales del sistema respecto de un caso base;
b. Energía no suministrada en múltiples subestaciones respecto de un caso base;
c. Disminución en la seguridad del abastecimiento, de acuerdo a lo dispuesto en la normativa técnica vigente; y,
d. Impacto en los perfiles de tensión observados en el sistema, según lo establecido en el Artículo 32.- inciso tercero del presente reglamento.
El caso base y la metodología de aplicación de las hipótesis anteriores, deberán ser detallados por la Comisión en el Informe de Calificación. La determinación del caso base deberá ajustarse a lo señalado en el inciso segundo del Artículo 32.- del presente reglamento.
Asimismo, la Comisión deberá realizar el señalado ejercicio de prescindencia respecto de los sistemas de almacenamiento que se encuentren operando y que hayan sido decretados en un plan de expansión de la transmisión.
El análisis señalado en el presente artículo deberá considerar las exigencias de calidad y seguridad de servicio establecidas en la normativa técnica vigente, conforme a lo dispuesto en el artículo 74° de la Ley.
Artículo 35.- Si aún existen Tramos de Transporte en nivel de tensión mayor o igual a 220 kV e inferior a 500 kV que no hayan sido calificados de acuerdo a lo señalado en el artículo anterior, estos serán calificados como pertenecientes al Sistema de Transmisión Zonal si, como resultado de nuevos ejercicios de prescindencia, se cumple alguna de las siguientes hipótesis:
a. Aumento significativo en los costos marginales del sistema en aquellas subestaciones con niveles de tensión inferior a 220 kV, por medio de las que se abastezca directamente a clientes regulados, respecto de un caso base;
b. Energía no suministrada a clientes regulados, respecto de un caso base;
c. Disminución en la seguridad del abastecimiento en aquellas subestaciones con niveles de tensión inferior a 220 kV, de acuerdo a lo dispuesto en la normativa técnica vigente, que suministren directamente a clientes regulados; y
d. Impacto en los perfiles de tensión observados en el sistema en aquellas subestaciones con niveles de tensión inferior a 220 kV, por medio de las que se abastezca directamente a clientes regulados. El análisis de esta hipótesis se realizará según lo establecido en el Artículo 32.- inciso tercero, del presente reglamento.
Asimismo, la Comisión deberá realizar el señalado ejercicio de prescindencia respecto de los sistemas de almacenamiento que se encuentren operando y que hayan sido decretados en un plan de expansión de la transmisión. El caso base y la metodología de aplicación de las hipótesis anteriores, deberán ser detallados por la Comisión en el Informe de Calificación. La determinación del caso base deberá ajustarse a lo señalado en el inciso segundo del Artículo 32.- del presente reglamento.
Artículo 36.- Si aún existen Tramos de Transporte en nivel de tensión mayor o igual a 220 kV e inferior a 500 kV que no hayan sido calificados de acuerdo a lo señalado en el artículo anterior, la Comisión identificará de estos Tramos, aquellos cuyo uso por parte de usuarios sometidos a regulación de precios, determinado a través de un indicador definido en el Informe de Calificación, sea superior al porcentaje correspondiente a la demanda máxima anual de clientes regulados utilizada para definir el umbral señalado en el Artículo 25.-.
De los tramos identificados de acuerdo al inciso anterior, la Comisión, a partir del ejercicio de simulación señalado en el Artículo 32.-, determinará si los flujos esperados a través de estos Tramos de Transporte son unidireccionales o bidireccionales. En caso de que sean bidireccionales, aquellos Tramos de Transporte serán adscritos al Sistema de Transmisión Nacional, y en caso de que sean unidireccionales, al Sistema de Transmisión Zonal.
Los criterios técnicos para determinar la bidireccionalidad y unidireccionalidad de los flujos deberán establecerse en el respectivo Informe de Calificación.
Artículo 37.- Los Tramos de Transporte restantes no calificados en conformidad a lo dispuesto en los artículos anteriores, se entenderán dispuestos esencialmente para el suministro de energía eléctrica a usuarios no sometidos a regulación de precios o para inyectar la producción de las centrales generadoras al sistema eléctrico y cuya operación no produce impactos o modificaciones significativas en la operación del resto del sistema, por lo que serán calificados por la Comisión como pertenecientes al Sistema de Transmisión Dedicado.
Artículo 38.- El ejercicio de prescindencia del Artículo 34.- y Artículo 35.- sólo podrá aplicarse sobre los Tramos de Transporte que cuenten con el equipamiento necesario para que operativamente se pueda prescindir de éstos. La Comisión deberá aplicar lo señalado en el Artículo 33.- del presente reglamento respecto de los Tramos de Transporte que aún no hayan sido calificados, y que no cuenten con equipamiento que operativamente permita prescindir de los mismos.
Párrafo IX
Análisis de Tramos de Subestación enmallados de nivel de tensión menor a 500 kv
Artículo 39.- La Comisión calificará los Tramos de Subestación pertenecientes a instalaciones enmalladas según se indica a continuación:
a. Se calificará como perteneciente al Sistema de Transmisión Zonal a aquellos Tramos de Subestación en los que más de un 50% de la capacidad total de los Tramos de Transporte conectados a ellos corresponda a Tramos de Transporte adscritos al Sistema de Transmisión Zonal. La capacidad a considerar será sólo la de los Tramos de Transporte correspondientes a líneas.
b. Se calificará como perteneciente al Sistema de Transmisión Dedicado a aquellos Tramos de Subestación en los que más de un 50% de la capacidad total de los Tramos de Transporte conectados a ellos corresponda a Tramos de Transporte adscritos al Sistema de Transmisión Dedicado. La capacidad a considerar será sólo la de los Tramos de Transporte correspondientes a líneas.
c. Los Tramos de Subestación restantes no calificados de acuerdo a lo dispuesto en los literales anteriores, serán calificados como pertenecientes al Sistema de Transmisión Nacional.
Párrafo X
Etapa de análisis de continuidad de instalaciones nacionales, zonales, dedicadas y para polos de desarrollo
Artículo 40.- La Comisión deberá calificar como pertenecientes al Sistema de Transmisión Nacional a aquellas instalaciones que permitan la continuidad de dicho segmento para conformar un mercado eléctrico común e interconectar los demás segmentos del Sistema de Transmisión.
Para efectos de lo señalado en el inciso anterior, se identificará si existen instalaciones del Sistema de Transmisión Nacional que no se encuentren conectadas entre sí a través de otras instalaciones pertenecientes al mismo segmento, y se procederá a calificarlas como pertenecientes al Sistema de Transmisión Nacional.
Producto del análisis a que se refiere el presente artículo se obtendrá la calificación definitiva de las instalaciones pertenecientes al Sistema de Transmisión Nacional.
Artículo 41.- Para efectos de asegurar la continuidad de los demás Sistemas de Transmisión, la Comisión deberá efectuar un análisis de cada uno de los conjuntos de instalaciones interconectadas eléctricamente entre sí, identificando aquellas que presentan una calificación distinta a la de las instalaciones unidas eléctricamente en forma contigua a ellas, denominándose las primeras como "instalaciones islas".
Identificada la instalación isla, ésta pasará a pertenecer al mismo segmento al que pertenecen las instalaciones a las que se encuentra interconectada, de manera de asegurar la continuidad del respectivo conjunto de instalaciones adyacente.
La aplicación de lo señalado en el presente artículo no podrá afectar la continuidad del Sistema de Transmisión Nacional.
Párrafo XI
Otras consideraciones del proceso de calificación
Artículo 42.- La Comisión deberá considerar e identificar en el proceso de calificación todas aquellas instalaciones que tengan garantizada su remuneración por cinco periodos tarifarios a partir de su entrada en operación y que no los hayan completado y que, además, cumplan lo requerido en el artículo 100°, inciso final, de la Ley. Las mencionadas instalaciones, una vez finalizado el proceso de calificación de instalaciones, deberán mantener la adscripción al segmento en virtud del que fue mandatada su licitación hasta cumplir cinco periodos tarifarios a partir de su entrada en operación, independiente del resultado de la calificación obtenida en el proceso en curso.
Artículo 43.- Para efectos de la adscripción transitoria de instalaciones a la que hace referencia el Artículo 8.-, inciso tercero, del presente reglamento, la Comisión deberá aplicar los siguientes criterios:
a. Las instalaciones que interconecten dos instalaciones de transmisión nacional serán adscritas transitoriamente al Sistema de Transmisión Nacional;
b. Las instalaciones que interconecten una instalación nacional con una instalación de transmisión zonal serán adscritas transitoriamente al Sistema de Transmisión Zonal;
c. Las instalaciones que interconecten dos instalaciones de transmisión zonal serán adscritas transitoriamente al Sistema de Transmisión Zonal;
d. Las instalaciones radiales que abastezcan subestaciones de distribución primarias serán adscritas transitoriamente al Sistema de Transmisión Zonal; y
e. Las instalaciones que no cumplan con las reglas de los literales anteriores serán adscritas transitoriamente al Sistema de Transmisión de acuerdo a lo que establezca la Comisión al momento de otorgar la autorización señalada en el artículo 102°, inciso segundo de la Ley y en la normativa vigente.
TÍTULO III
DE LA TARIFICACIÓN DE LA TRANSMISIÓN
Capítulo 1
Disposiciones Generales
Párrafo I
Instalaciones a valorizar y criterios de agrupación
Artículo 44.- La Comisión, cada cuatro años, determinará el valor anual de las instalaciones pertenecientes a los Sistemas de Transmisión Nacional, Zonal, para Polos de Desarrollo y el pago por uso de los Sistemas de Transmisión Dedicados utilizados por parte de los usuarios sometidos a regulación de precios, de acuerdo a lo señalado en la Ley y en los artículos siguientes.
Las instalaciones a ser valorizadas en el o los correspondientes Estudios de Valorización serán las individualizadas en el Artículo 46.- inciso tercero, del presente reglamento, que se encuentren contenidas en el Informe de Calificación Definitivo correspondiente al mismo cuadrienio de valorización.
Artículo 45.- Para efectos de su valorización, las instalaciones económicamente identificables que conforman los Tramos se agruparán en diferentes categorías establecidas en el Informe de Vidas Útiles, de acuerdo a los siguientes criterios:
a. Las categorías deberán ser definidas de forma tal que contengan todos los elementos, instalaciones, bienes y derechos que deberán ser valorizados;
b. Las categorías deberán permitir que los elementos, instalaciones, bienes y derechos sean fácilmente agrupados para simplificar el proceso de valorización y su revisión;
c. Las categorías deberán agrupar elementos cuyas características y especificidades sean similares; y
d. Las categorías deberán ser definidas de forma tal que los elementos no puedan ser asignados a más de una categoría.
Párrafo II
Reglas para aplicar y determinar el V.A.T.T ., el V.I. , el A.V.I. y el C.O.M.A.
Artículo 46.- En el caso de las Obras Nuevas, durante sus primeros cinco periodos tarifarios contados desde su entrada en operación, el V.A.T.T. corresponderá al resultante de la licitación para la adjudicación de los derechos de ejecución y explotación de dichas obras, a que hace referencia el artículo 96° de la Ley y su fórmula de indexación.
En el caso de las Obras de Ampliación, durante sus primeros cinco periodos tarifarios en operación, el V.A.T.T. será igual a la suma del: (i) A.V.I., determinado a partir del V.I. resultante de la licitación para la adjudicación de la construcción y ejecución de la respectiva obra, considerando la vida útil de la instalación establecida en el informe técnico definitivo del plan de expansión anual de la transmisión y la tasa de descuento correspondiente utilizada en el o los Estudios de Valorización vigente al momento de la adjudicación; (ii) el C.O.M.A. señalado en el Artículo 49.-, letras c) y d), según corresponda; y (iii) el A.E.I.R.
El V.A.T.T. del resto de las instalaciones se determinará según los artículos siguientes y corresponderá a la suma del A.V.I, el C.O.M.A. y el A.E.I.R, debiendo al menos considerarse las instalaciones siguientes:
a. Las provenientes del plan de expansión que se encuentren en operación durante más de cinco periodos tarifarios;
b. Las interconexiones internacionales de servicio público que se encuentren en operación durante más de cinco periodos tarifarios, si corresponde;
c. Las dedicadas utilizadas por parte de los usuarios sometidos a regulación de precios;
d. Las obras que hayan sido autorizadas previa y excepcionalmente por la Comisión según se indica en el artículo 102°, inciso segundo, de la Ley;
e. Las dedicadas existentes que sean intervenidas con Obras de Expansión nacional, zonal o para polo de desarrollo, según se indica en el inciso final del artículo 87° de la Ley;
f. Las obras menores en los Sistemas de Transmisión Zonal a que hace referencia el artículo 92° de la Ley;
g. Las obras señaladas en el artículo 79°, inciso tercero, de la Ley;
h. Las obras contenidas en el decreto supremo Nº 6T, de 2017, del Ministerio de Energía, que fija valor anual por tramo de las instalaciones de transmisión zonal y dedicadas, utilizadas por usuarios sujetos a regulación de precios, sus tarifas y fórmulas de indexación para el bienio 2018-2019;
i. Las Obras Nuevas y de Ampliación licitadas de acuerdo al artículo decimotercero transitorio de la Ley Nº 20.936 que se encuentren en operación durante más de cinco periodos tarifarios;
j. Las obras a las que se refiere el artículo decimotercero transitorio de la Ley Nº 20.936, inciso noveno; y
k. Toda otra instalación que se encuentre operando durante más de cinco periodos tarifarios.
Artículo 47.- En el caso de las instalaciones señaladas en el inciso tercero del artículo anterior, el V.I. corresponderá a la suma de los costos eficientes de adquisición e instalación de sus componentes, de acuerdo con valores de mercado, determinado conforme a las siguientes consideraciones:
a. Para la determinación del V.I., la Comisión deberá utilizar la información a que se refieren las letras a) y j) del artículo 72°-8 de la Ley;
b. El V.I. de las instalaciones de transmisión adquiridas e instaladas por una única empresa eficiente en cada segmento de los Sistemas de Transmisión y para cada Sistema de Transmisión Zonal, se determinará en función de sus características físicas y técnicas, valoradas a los precios de mercado vigentes de acuerdo a un principio de adquisición eficiente;
c. Para efectos de incluir en el V.I. respectivo los derechos relacionados con el uso de suelo y los gastos e indemnizaciones pagadas para el establecimiento de las servidumbres utilizadas, se considerará lo señalado en el Capítulo 4 del presente Título en lo pertinente; y
d. Para las obras que corresponda, la Comisión podrá considerar los costos eficientes asociados a labores de instalación que impliquen trabajos, desmontajes, faenas en instalaciones energizadas, construcción de variantes provisorias. Estos costos sólo podrán ser considerados por una única vez en el transcurso de un periodo tarifario.
Artículo 48.- El A.V.I. de las instalaciones de transmisión señaladas en el inciso tercero del Artículo 46.- del presente reglamento, se determinará a partir de su V.I., considerando la vida útil de cada tipo de instalación de acuerdo a lo establecido en el artículo 104° de la Ley y la tasa de descuento señalada en el artículo 118° de la misma.
Artículo 49.- El C.O.M.A. de las instalaciones de transmisión señaladas en los incisos segundo y tercero del Artículo 46.- del presente reglamento, se determinará conforme a lo siguiente:
a. Para cada segmento de los Sistemas de Transmisión y para cada uno de los Sistema de Transmisión Zonal, el C.O.M.A. se determinará como los costos de operación, mantenimiento y administración de una única empresa eficiente y que opera las instalaciones permanentemente según los estándares establecidos en la normativa vigente;
b. A partir del C.O.M.A. total de la empresa eficiente, señalado en el literal anterior, se determinarán las asignaciones asociadas a cada Tramo en función de tecnologías, zonas, valor de inversión, anualidades, entre otros. Las Bases técnicas señalarán la metodología específica para establecer dichas asignaciones;
c. El C.O.M.A. que corresponda aplicar a las Obras de Ampliación durante el periodo que medie entre su fecha de entrada en operación y el siguiente proceso de valorización de la transmisión, se fijará según lo dispuesto en el artículo 96° de la Ley. Al respecto, para la determinación del C.O.M.A. vigente durante el periodo antes referido, la Comisión utilizará la relación del C.O.M.A. referencial sobre el respectivo V.I. referencial utilizado en el proceso de licitación;
d. Las Obras de Ampliación deberán ser consideradas en los procesos tarifarios siguientes a su adjudicación para los efectos de determinar el C.O.M.A. y A.E.I.R. a aplicar en el siguiente periodo tarifario del señalado en el literal anterior; y
e. Para efectos de la determinación del C.O.M.A. de las instalaciones de transmisión dedicada utilizadas por usuarios sometidos a regulación de precios, la Comisión deberá asignar dichas instalaciones, de acuerdo a su ubicación, a los distintos Sistemas de Transmisión Zonal. El C.O.M.A. de las empresas eficientes de dichos sistemas deberá considerar las instalaciones de transmisión dedicada utilizadas por usuarios sometidos a regulación de precios asignadas a cada uno de ellos.
Párrafo III
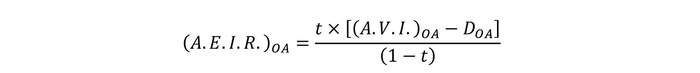
Reglas para aplicar y determinar el A.E.I.R. y fórmulas tarifarias
Artículo 50.- La valorización de las instalaciones de transmisión se determinará conforme a lo siguiente:
a. Obras Nuevas:
El V.A.T.T. de cada Obra Nueva corresponderá al resultado de la licitación de conformidad a lo dispuesto en el inciso primero del Artículo 46.- del presente reglamento.
b. Obras de Ampliación:
El V.A.T.T. de cada Obra de Ampliación se determinará conforme a la siguiente expresión:
. Donde:
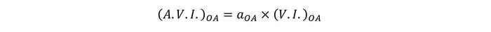
. Por su parte, el A.V.I. para cada Obra de Ampliación se determinará mediante la expresión:
. Donde:
.
El A.E.I.R. aplicable a cada Obra de Ampliación se determinará mediante la expresión:
. Donde:
.
. Donde:
. c. Instalaciones de transmisión indicadas en el inciso tercero del Artículo 46.- del presente reglamento:
El V.A.T.T. se determinará conforme a la siguiente expresión:
. Donde:
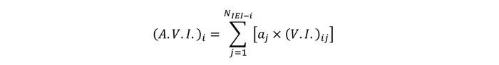
. Por su parte, el A.V.I. de los Tramos se determinará mediante la expresión:
. Donde:
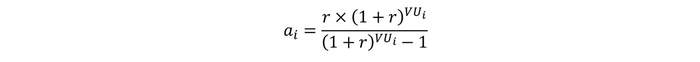
. El factor de recuperación del capital aj de cada instalación identificable "j" se determinará mediante la expresión:
. Donde:
. El ajuste por efectos de impuesto a la renta se determinará mediante la siguiente expresión:
. Donde:
.
. Donde:
. Artículo 51.- La remuneración de servicios complementarios que involucren nueva infraestructura, se incorporará al cargo único a que hace referencia el artículo 115° de la Ley y el Artículo 151.-, literal e), del presente reglamento, de acuerdo a lo que se señala a continuación:
En el caso de servicios complementarios licitados que involucren nueva infraestructura, el valor anual a considerar en el referido cargo único corresponderá al valor adjudicado en la respectiva licitación y se remunerará durante el periodo de prestación del servicio de conformidad a lo establecido en las bases de licitación.
En el caso de los servicios complementarios que involucren nueva infraestructura cuyas licitaciones hayan resultado desiertas y para los cuales el Coordinador haya instruido la instalación directa de la infraestructura necesaria para la prestación del recurso requerido, el valor anual a considerar en el referido cargo único corresponderá a los precios máximos fijados para las licitaciones declaradas desiertas, de acuerdo a lo dispuesto en el octavo inciso del artículo 72°-7 de la Ley, o los valores que fije la Comisión, según corresponda, y se remunerará durante el periodo de prestación del servicio de conformidad a lo previsto en las bases del proceso de licitación que ha resultado desierto.
En el caso de servicios instruidos directamente por el Coordinador sin la realización previa de licitación que involucren nueva infraestructura, serán valorizados considerando un estudio de costos eficientes y se remunerará durante un periodo equivalente a la vida útil identificada en el informe de servicios complementarios correspondiente. Para estos efectos, el valor anual de la nueva infraestructura a considerar en el referido cargo único se calculará considerando la tasa de descuento señalada en el artículo 118° de la Ley y la vida útil identificada en el informe de servicios complementarios correspondiente, a lo que se sumarán los costos anuales de mantenimiento eficiente y el A.E.I.R., según se señala a continuación:
. Donde:
. El A.V.I. de nueva infraestructura se determinará mediante la expresión:
. Donde:
.
. Donde:

El C.A.M.E se obtendrá a partir de lo señalado en el estudio de costos correspondiente del Coordinador, vigente al momento del cálculo del cargo único a que hace referencia el artículo 115° de la Ley, debidamente indexado.
El ajuste por efectos de impuesto a la renta se determinará mediante la siguiente expresión:
. Donde:
.
. Donde:
. Artículo 52.- Las instalaciones de transmisión que no hubiesen sido valorizadas en el proceso de valorización vigente a la fecha de su entrada en operación deberán ser valorizadas por la Comisión sobre la base y metodología contenidas en el Informe Técnico Definitivo relativo al Decreto de Valorización que se encuentre vigente al momento de su entrada en operación, de acuerdo a lo siguiente:
a. Las obras que hayan sido autorizadas previa y excepcionalmente por la Comisión según se indica en el artículo 102°, inciso segundo de la Ley, se remunerarán a partir de la fecha de su entrada en operación, una vez que se hayan valorizado.
b. Las ampliaciones, adecuaciones, modificaciones y refuerzos a que hace referencia el artículo 79° de la Ley se remunerarán a partir de la fecha de su entrada en operación, una vez que se hayan valorizado.
c. Las obras menores a que hace referencia el artículo 92° de la Ley, que la Comisión haya evaluado positivamente su pertinencia. Estas obras se remunerarán a partir de la fecha que señale la Comisión, considerando la pertinencia de las mismas, una vez que se hayan valorizado.
d. Las instalaciones dedicadas existentes que sean intervenidas con Obras de Expansión nacional, zonal o para polos de desarrollo, según se indica en el inciso final del artículo 87° de la Ley, las que se remunerarán como instalación de servicio público a partir de la fecha de entrada en operación de la Obra de Expansión que la interviene, una vez que se hayan valorizado.
Sin perjuicio de lo señalado anteriormente, la Comisión podrá valorizar cualquier otra instalación que no hubiese sido valorizada en el proceso de valorización vigente a la fecha de su entrada en operación, sobre la base y metodología contenida en el Informe Técnico Definitivo señalado en el inciso anterior, lo que deberá ser debidamente fundado, debiendo además señalar la fecha a partir de la cual serán remuneradas dichas instalaciones, la que en ningún caso podrá ser anterior a la fecha de entrada en operación.
Excepcionalmente, ante cambios en las normas técnicas a que se refiere el artículo 72°-19 de la Ley, que impongan nuevas exigencias al sistema eléctrico y que impliquen realizar modificaciones relevantes sobre las instalaciones de transmisión que se encuentren en operación, obras en construcción u obras ya licitadas y adjudicadas, la Comisión considerará las inversiones eficientes correspondientes para incorporarlas en la valorización. Para estos efectos, la empresa propietaria deberá informar y justificar ante la Comisión, en los formatos que ésta establezca, las modificaciones relevantes realizadas producto de los cambios normativos. Dichas inversiones se remunerarán a partir de la entrada en operación.
Para dar cumplimiento con lo establecido en este artículo, la Comisión enviará semestralmente, si corresponde, al Ministerio de Energía un informe técnico con el V.I., A.V.I., A.E.I.R, C.O.M.A. y V.A.T.T. por Tramo y propietario de dichas obras, así como las correspondientes fórmulas de indexación.
El Ministerio de Energía, a través de un decreto supremo expedido bajo la fórmula por "orden del Presidente de la República", dentro del plazo de veinte días de recibido el informe técnico de la Comisión, fijará, sobre la base de dicho informe, el V.I., A.V.I., A.E.I.R, C.O.M.A. y V.A.T.T. por Tramo y propietario de dichas obras y sus correspondientes fórmulas de indexación, los cuales regirán hasta la entrada en vigencia del decreto asociado al Estudio de Valorización en el cual hubiesen sido incorporadas.
Artículo 53.- El V.A.T.T. de las obras de interconexión internacional de servicio público se aplicará durante veinte años desde su entrada en operación, transcurridos los cuales estas instalaciones deberán ser valorizadas en el proceso de tarificación señalado en los artículos 102° y siguientes de la Ley, salvo que un acuerdo, tratado o protocolo internacional aplicables a dicha interconexión internacional establezca normas especiales distintas. La revisión de dicho V.A.T.T. se realizará en el o los Estudios de Valorización inmediatamente anterior al vencimiento del plazo de cinco periodos tarifarios.
Asimismo, en caso de que, a solicitud de su propietario, una instalación de interconexión internacional de interés privado existente sea calificada por el Ministerio como de servicio público, ésta se valorizará en el proceso de valorización correspondiente. Sin perjuicio de lo anterior, durante el periodo que medie entre su calificación y el siguiente proceso de valorización de la transmisión, la Comisión valorizará dichas obras sobre la base y metodología contenidas en el informe técnico definitivo relativo al Decreto de Valorización, que se encuentre vigente al momento de su calificación.
Artículo 54.- Los Estudios de Valorización deberán calcular el V.A.T.T. de aquellas Obras de Expansión señaladas en los incisos primero y segundo del Artículo 46.- y las Obras Nuevas y de Ampliación licitadas de acuerdo al artículo decimotercero transitorio de la Ley Nº 20.936, que dentro del siguiente periodo tarifario finalicen los cinco periodos tarifarios de vigencia de los valores adjudicados.
Artículo 55.- Los V.I., A.V.I., A.E.I.R, C.O.M.A. y V.A.T.T. serán reajustados conforme la aplicación de las fórmulas de indexación contenidas en los decretos que fijan los derechos y condiciones de ejecución y explotación de Obras Nuevas, en los decretos de adjudicación de construcción de Obras de Ampliación y en los Decretos de Valorización, según corresponda. Asimismo, el V.A. será reajustado conforme las fórmulas de indexación definidas en la licitación o instrucción directa efectuada por el Coordinador según corresponda.
Artículo 56.- La proporción de uso para efectos de la remuneración de las instalaciones de transmisión dedicadas que son utilizadas por usuarios sometidos a regulación de precios serán determinadas en los correspondientes Estudios de Valorización conforme a la metodología que se establezca en las Bases.
Capítulo 2
Vida Útil de Instalaciones
Artículo 57.- El A.V.I. de los Tramos de los Sistemas de Transmisión se calculará considerando la vida útil de cada categoría de elementos de transmisión, determinada por la Comisión.
Para la determinación de las vidas útiles, la Comisión podrá considerar aspectos tales como la vida útil señalada por los fabricantes de los equipos que conforman las instalaciones, las observadas en mercados nacionales o internacionales, las informadas por consultores independientes contratados al efecto por la Comisión, las consideradas para otros procesos tarifarios, las contenidas en dictámenes del Panel de Expertos y las publicadas por organismos e instituciones especializadas, entre otros.
Artículo 58.- La Comisión comunicará a los Participantes y a los Usuarios e Instituciones Interesadas, un Informe de Vidas Útiles preliminar, que contendrá las vidas útiles por categoría de elementos de transmisión, de las instalaciones económicamente identificables, el que, además, deberá ser publicado en su sitio web, junto con sus antecedentes. Dicha comunicación se realizará a más tardar, seis meses antes del envío a los Participantes y a los Usuarios e Instituciones Interesadas de las Bases preliminares correspondientes al proceso de valorización de instalaciones de los Sistemas de Transmisión, a realizarse en el periodo inmediatamente posterior al término de la vigencia de las vidas útiles.
Artículo 59.- Dentro del plazo de veinte días contados desde la publicación del Informe de Vidas Útiles preliminar de acuerdo a lo señalado en el artículo anterior, los Participantes y los Usuarios e Instituciones Interesadas podrán realizar observaciones, las que deberán ser aceptadas o rechazadas fundadamente en el Informe de Vidas Útiles final que la Comisión deberá emitir dentro de los veinte días siguientes a la recepción de las observaciones, y que deberá también ser publicado en su sitio web.
Artículo 60.- Si se mantuviesen observaciones, los Participantes y los Usuarios e Instituciones Interesadas podrán presentar sus discrepancias ante el Panel en un plazo de diez días contados desde la publicación señalada en el artículo anterior. El Panel resolverá las discrepancias en un plazo de veinte días contados desde la respectiva audiencia a que hace referencia el artículo 211° de la Ley.
Para los efectos anteriores, se entenderá que existe discrepancia susceptible de ser sometida al dictamen del Panel, si quien hubiere formulado observaciones técnicas al Informe de Vidas Útiles preliminar, persevere en ellas, con posterioridad al rechazo de las mismas por parte de la Comisión, como también, si quien no hubiere formulado observaciones técnicas al Informe de Vidas Útiles preliminar, considere que se debe mantener su contenido, en caso de haberse modificado en el Informe de Vidas Útiles final.
La Comisión comunicará y publicará en su sitio web el Informe de Vidas Útiles definitivo, incorporando lo resuelto por el Panel, dentro de los diez días siguientes a la comunicación de su dictamen. En caso de no haberse presentado discrepancias, la Comisión comunicará y publicará en su sitio web el Informe de Vidas Útiles definitivo dentro de los cinco días de vencido el plazo para presentarlas.
Artículo 61.- La Comisión, en la resolución que aprueba el Informe de Vidas Útiles definitivo, establecerá las categorías de elementos de transmisión necesarias que permitan agrupar dichos elementos en función de su utilización, conforme a los criterios establecidos en el Artículo 45.- del presente reglamento. Asimismo, deberá establecer un conjunto de vidas útiles estándares y representativas para instalaciones económicamente identificables, eficientemente mantenidas y operadas, de modo de prestar el servicio de transporte bajo los estándares establecidos en la normativa vigente. Dichas vidas útiles tendrán una vigencia de tres periodos tarifarios consecutivos, a partir de su primera aplicación en el o los Estudios de Valorización.
Excepcionalmente, los nuevos elementos por avances tecnológicos o nuevos desarrollos, que no hayan sido considerados por la Comisión de acuerdo a lo señalado en el inciso anterior, deberán ser incorporados, para efectos de fijar su vida útil, en las Bases preliminares del o los correspondientes Estudios de Valorización. Para efectos de lo anterior, en las Bases preliminares se deberá asignar los nuevos elementos a alguna categoría ya individualizada, o bien, establecer una nueva categoría para ellos de ser necesario.
Capítulo 3
Tasa de descuento para la determinación del valor anual de la inversión
Artículo 62.- La tasa de descuento que deberá utilizarse para determinar el A.V.I. de las instalaciones de transmisión será calculada por la Comisión cada cuatro años, de acuerdo al procedimiento establecido en el artículo 119° de la Ley.
Esta tasa será aplicable después de impuestos, y para su determinación se deberá considerar el riesgo sistemático de las actividades propias de las empresas de transmisión eléctrica en relación al mercado, la tasa de rentabilidad libre de riesgo, y el premio por riesgo de mercado. En todo caso, la tasa de descuento no podrá ser inferior al siete por ciento ni superior al diez por ciento.
La tasa de descuento será la tasa de rentabilidad libre de riesgo más el premio por riesgo multiplicado por el valor del riesgo sistemático.
Artículo 63.- El riesgo sistemático, se define como un valor que mide o estima la variación en los ingresos de una empresa eficiente de transmisión eléctrica con respecto a las fluctuaciones del mercado.
Artículo 64.- La tasa de rentabilidad libre de riesgo corresponderá a la tasa interna de retorno promedio ofrecida por el Banco Central de Chile o la Tesorería General de la República para un instrumento reajustable en moneda nacional. El tipo de instrumento y su plazo deberán considerar las características de liquidez, estabilidad y montos transados en el mercado secundario de cada instrumento en los últimos dos años a partir de la fecha de referencia del cálculo de la tasa de descuento, así como su consistencia con el horizonte de planificación de la empresa eficiente. El periodo considerado para establecer el promedio corresponderá a un mes y corresponderá al mes calendario de la fecha de referencia del cálculo de la tasa de descuento.
Artículo 65.- El premio por riesgo de mercado se define como la diferencia entre la rentabilidad de la cartera de inversiones de mercado diversificada y la rentabilidad del instrumento libre de riesgo definida en el artículo anterior.
Artículo 66.- La información nacional o internacional que se utilice para el cálculo del valor del riesgo sistemático y del premio por riesgo deberá permitir la obtención de estimaciones confiables desde el punto de vista estadístico.
Artículo 67.- Antes de cinco meses del plazo señalado en el artículo 107° de la Ley para comunicar las Bases preliminares, la Comisión deberá licitar un estudio que defina la metodología de cálculo de la tasa de descuento y los valores de sus componentes señaladas en el artículo 118° de la Ley.
Finalizado dicho estudio, la Comisión emitirá un informe técnico con la tasa de descuento, cuyo valor deberá ser incorporado en las Bases preliminares, para efectos de ser observado por los Participantes y los Usuarios e Instituciones Interesadas y sometido al dictamen del Panel en caso de discrepancias, con ocasión de dicho proceso. El informe técnico señalado precedentemente deberá acompañarse como antecedente en las Bases preliminares antes referidas.
Capítulo 4
Valorización de los derechos relacionados con el uso de suelo y auditorías de inventarios
Párrafo I
Reglas de valorización relacionadas con el uso de suelo
Artículo 68.- La valorización de las instalaciones de transmisión nacional, zonal, para polos de desarrollo y las instalaciones de transmisión dedicada utilizadas por usuarios sometidos a regulación de precios, deberá incluir en su V.I. el valor correspondiente a los derechos relacionados con el uso de suelo y los gastos e indemnizaciones pagadas para el establecimiento de las servidumbres voluntarias o forzosas, entre otros.
Para las instalaciones de transmisión nacional que entraron en operación a contar del 1° de enero de 2014 y las instalaciones de transmisión zonal que entraron en operación con posterioridad a la entrada en vigencia de la Ley Nº 20.936, el valor referido en el inciso anterior corresponderá a lo efectivamente pagado, indexado de acuerdo a la variación que experimente el Índice de Precios al Consumidor o el indicador que lo reemplace y a lo señalado en los artículos siguientes.
Asimismo, para aquellas instalaciones de transmisión nacional que entraron en operación hasta el 31 de diciembre de 2013, la valorización de los derechos, gastos e indemnizaciones señaladas en el inciso primero del presente artículo se realizará de acuerdo a lo dispuesto en los literales a) y b) del artículo vigesimosegundo transitorio de la Ley Nº 20.936.
Para aquellas instalaciones de transmisión zonal que entraron en operación con anterioridad a la entrada en vigencia de la Ley Nº 20.936, la valorización de los derechos, gastos e indemnizaciones señaladas en el inciso primero del presente artículo se realizará de acuerdo a lo dispuesto en el artículo vigesimotercero transitorio de la Ley Nº 20.936.
La información de valorización señalada en los incisos precedentes deberá incorporarse al sistema de información pública del Coordinador, de acuerdo a lo señalado en el literal j) del artículo 72°-8 de la Ley.
Artículo 69.- Para los efectos de la valorización señalada en el artículo anterior, los Coordinados deberán presentar al Coordinador los antecedentes e información que servirá de base para los registros señalados en las letras a) y j) del artículo 72°-8 de la Ley, dentro del plazo de treinta días contado desde la entrada en operación, modificación o retiro, de las respectivas instalaciones.
Artículo 70.- Sólo se valorizarán aquellos derechos de uso de suelo, los gastos y las indemnizaciones pagadas respecto de los cuales se acredite fehacientemente el valor pagado y que se encuentren contenidos en el registro señalado en la letra j) del artículo 72°-8 de la Ley.
Artículo 71.- La definición de la superficie a valorizar será determinada por el Coordinador de acuerdo a la menor cabida que resulte entre la superficie indicada en el título en el que consta la constitución del derecho de uso de suelo o aquella que resulte de la aplicación de la norma de seguridad que para tales efectos dicte la Superintendencia.
Los Coordinados podrán solicitar, por motivos fundados, que se considere para efectos de su valorización, todo o parte de la superficie contemplada en el título en que consta la constitución del respectivo derecho de uso de suelo, cuando dicha superficie sea mayor a la comprendida en la referida norma de seguridad y se encuentre previamente autorizado por la Superintendencia por motivos de mayor seguridad del sistema, o adicionalmente, cuando normativamente no fuese posible adquirir o usar terrenos en superficies menores, sin perjuicio de lo dispuesto en el inciso final del artículo 69° de la Ley.
Párrafo II
Auditorías a inventarios presentados por las empresas
Artículo 72.- El Coordinador, de oficio o a solicitud de la Comisión o la Superintendencia, podrá realizar auditorías a los inventarios presentados por las empresas, incluidas las superficies a valorizar, con el objeto de verificar la exactitud de la información y antecedentes presentados por ellas.
Artículo 73.- En caso que, a consecuencia de las auditorías señaladas en el artículo anterior, el Coordinador verifique que la información o antecedentes presentados difieran sustancialmente de las características técnicas existentes, las instalaciones respectivas serán excluidas íntegramente del siguiente proceso de tarificación a que se refiere el Capítulo IV del Título III de la Ley y el Título III del presente reglamento.
Para efectos de lo anterior, una vez finalizada la respectiva auditoría, el Coordinador emitirá un informe en el que concluya fundadamente si existen o no diferencias sustanciales entre lo informado y las características técnicas existentes. Se entenderá por diferencias sustanciales aquellas que cumplan con alguno de los siguientes criterios:
a. Diferencias que provoquen que la valorización de un Tramo utilizando la información presentada por la empresa sea superior en un 10% respecto de la valorización del mismo Tramo considerando las características existentes identificadas en la auditoría.
b. Diferencias que se produzcan por información manifiestamente errónea, aun cuando provoquen que la valorización de un Tramo utilizando la información presentada por la empresa sea inferior a un 10% respecto de la valorización del mismo Tramo considerando las características existentes identificadas en la auditoría.
Artículo 74.- Serán excluidas del siguiente proceso de tarificación las instalaciones a las que, como resultado de las auditorías, se les hayan verificado diferencias sustanciales entre lo informado por la empresa y las características técnicas existentes.
Artículo 75.- Una instalación excluida de un proceso de tarificación por los motivos señalados en los artículos anteriores, no será valorizada y no participará de las reparticiones de ingresos a que se refiere el artículo 117° de la Ley durante el periodo tarifario asociado al proceso del que fue excluida.
Artículo 76.- El total de las sumas percibidas en exceso por hasta cinco periodos tarifarios, deberá ser descontado del pago de la remuneración a que se refieren los artículos 114° y siguientes de la Ley, reajustados de acuerdo a la variación que experimente el Índice de Precios al Consumidor o el índice que lo reemplace.
Para efectos de lo anterior el Coordinador deberá calcular el V.A.T.T. que hubiesen tenido las instalaciones utilizando la información levantada de la auditoría durante el periodo que medie entre el 1° de enero de 2020 y la fecha del informe del Coordinador a que se refiere el inciso segundo del Artículo 73.- del presente reglamento, basándose en los inventarios rectificados. En ningún caso este periodo podrá exceder 20 años. Para estos cálculos el Coordinador deberá usar los modelos y precios de los respectivos Estudios de Valorización y las fórmulas de indexación de los respectivos Decretos de Valorización.
Artículo 77.- Las sumas percibidas en exceso calculadas de acuerdo a lo señalado en el artículo anterior deberán ser descontadas de los ingresos que correspondan a los propietarios, arrendatarios, usufructuarios o quienes exploten a cualquier título las instalaciones pertinentes.
El descuento se hará efectivo en el mes inmediatamente posterior a la fecha del informe del Coordinador a que se refiere el inciso segundo del Artículo 73.- del presente reglamento o al dictamen del Panel de Expertos, en el caso de haberse presentado discrepancias.
El Coordinador deberá asignar los mencionados descuentos entre los propietarios, arrendatarios, usufructuarios o quienes exploten a cualquier título de las restantes instalaciones del respectivo sistema y segmento de transmisión. Lo anterior de acuerdo a las prorratas empleadas para las reparticiones a que se refiere el artículo 117° de la Ley.
La Comisión, en el cálculo de los cargos por uso respectivos del semestre siguiente deberá deducir los descuentos señalados en el inciso anterior.
Artículo 78.- A contar del informe del Coordinador al que se refiere el inciso segundo del Artículo 73.- y hasta el término del periodo de vigencia del Decreto de Valorización, el Coordinador deberá utilizar, tanto para la repartición de ingresos como para las revisiones señaladas en el Artículo 165.- del presente reglamento, los V.A.T.T. calculados para los inventarios rectificados y ajustados.
Artículo 79.- En caso que las diferencias encontradas en las respectivas auditorías del Coordinador no sean sustanciales, sólo deberán ajustarse los inventarios de las instalaciones auditadas, siéndoles aplicable lo señalado en el artículo anterior.
Artículo 80.- Las discrepancias que surjan en relación a la aplicación de las disposiciones del presente Capítulo podrán ser sometidas al dictamen del Panel de Expertos, de acuerdo al procedimiento señalado en el artículo 211° de la Ley.
Capítulo 5
Bases de los estudios de valorización
Párrafo I
Inicio del o los estudios y contenido de las bases
Artículo 81.- El proceso de elaboración de los Estudios de Valorización será dirigido y coordinado por la Comisión.
Los Participantes y los Usuarios e Instituciones Interesadas podrán participar del proceso y de los Estudios de Valorización conforme a las normas contenidas en el artículo 90° de la Ley y en la normativa vigente.
A más tardar, veinticuatro meses antes del término del periodo de vigencia de las tarifas de los Sistemas de Transmisión, la Comisión deberá dar inicio al o los Estudios de Valorización mediante el envío, a través de medios electrónicos, a los Participantes y a los Usuarios e Instituciones Interesadas, de las Bases preliminares, las que además deberán estar disponibles en el sitio web de la Comisión.
Artículo 82.- Las Bases técnicas preliminares del o los Estudios de Valorización, referidas en el artículo anterior, deberán contener, al menos, lo siguiente:
a. Tasa de descuento calculada de acuerdo a lo establecido en los artículos 118° y 119° de la Ley;
b. Criterios para considerar economías de escala;
c. Modelo de valorización;
d. Metodología para la determinación del pago por uso de las instalaciones de transmisión dedicadas por parte de los usuarios sometidos a regulación de precios;
e. Listado preliminar de las instalaciones a valorizar;
f. La vida útil de nuevos elementos que se refiere el Artículo 61.- del presente reglamento, si corresponde.
Asimismo, las Bases técnicas preliminares podrán contener los criterios para considerar economías de ámbito en aquellas empresas que prestan el servicio de transmisión, en caso de verificarse que la estructura particular de dichas empresas, o de sus empresas relacionadas de acuerdo a lo dispuesto en la Ley Nº 18.045, aprovecha sinergias o ahorros de costos en la prestación conjunta del servicio de transmisión y de otros servicios, sean estos últimos sujetos o no a regulación de precios.
Para estos efectos, se entenderá que los ahorros de costos podrán originarse por la prestación conjunta del servicio de transmisión en los distintos segmentos y sistemas, o por la prestación conjunta del servicio de transmisión en alguno de estos segmentos y sistema, y de otros servicios.
Para dichos efectos, las Bases técnicas preliminares deberán indicar los servicios que se presten en forma conjunta y que serán objeto de análisis en el o los Estudios de Valorización y la metodología a través de la cual se cuantificarán los costos correspondientes que deben repartirse. Los Coordinados deberán entregar toda la información que la Comisión requiera para lo anterior.
Artículo 83.- Las Bases administrativas preliminares deberán especificar, al menos, lo siguiente:
a. Descripción de los servicios a contratar, de acuerdo a lo indicado en la Ley y en el presente reglamento;
b. Etapas y fechas del proceso de licitación: Llamado, periodo de publicidad, periodo de consultas, plazo de respuestas por escrito a consultas y publicación de las mismas, fecha máxima para modificación de las Bases, presentación de las Propuestas, apertura, admisibilidad y evaluación de las ofertas administrativas, técnicas y económicas, plazo de entrega de antecedentes, respuestas a consultas o aclaraciones solicitadas durante el proceso de evaluación de las Propuestas administrativas y técnicas, entre otros;
c. Los antecedentes legales, financieros, tributarios, laborales y técnicos que deben presentar los consultores;
d. Formato, idioma y todo otro requisito que sea necesario cumplir para la presentación de las ofertas técnica, económica y administrativa;
e. Los criterios de selección de las Propuestas del o los consultores para la realización del o los Estudios de Valorización, de acuerdo a lo señalado en el artículo siguiente del presente reglamento;
f. Las responsabilidades y obligaciones del o los consultores en relación al desarrollo del o los Estudios de Valorización y sus resultados;
g. Proceso a seguir en caso de que la licitación sea dejada sin efecto o sea declarada desierta;
h. Los mecanismos de aceptación de pago del o los Estudios de Valorización;
i. La cantidad, oportunidad y forma de entrega de informes por parte del o los consultores;
j. Las diferentes etapas del o los Estudios de Valorización, considerando expresamente instancias de audiencia, así como el procedimiento para recibir observaciones de los Participantes y los Usuarios e Instituciones Interesadas y de la Comisión;
k. La obligación para el o los consultores de que todos sus cálculos y resultados sean reproducibles y verificables;
l. Las garantías que deben presentar el o los consultores para asegurar la seriedad de la Propuesta y la correcta realización del o los Estudios de Valorización;
m. Las incompatibilidades a las que estarán sujetos el o los consultores de acuerdo a lo señalado en el Capítulo siguiente del presente Título; y
n. La vigencia del contrato.
Artículo 84.- La evaluación, selección y adjudicación de las Propuestas deberá sujetarse a los principios de igualdad de los proponentes y no discriminación. Asimismo, el proceso deberá ser competitivo, transparente, no discriminatorio y el o los Estudios de Valorización deberán adjudicarse a aquella Propuesta que ofrezca la combinación más ventajosa en consideración al cumplimiento de aspectos técnicos, económicos y administrativos dispuestos en las Bases.
Párrafo II
Garantías que deberán presentar los proponentes
Artículo 85.- Los proponentes deberán presentar garantías de seriedad de la Propuesta, cuyos montos deberán ser establecidos en las respectivas Bases. Estas garantías deberán ser no discriminatorias para los Proponentes y por montos acordes con valores utilizados en estudios similares.
Artículo 86.- Las Bases establecerán el tipo de garantía que deberán presentar el o los consultores que resulten adjudicados, para caucionar el correcto desarrollo del o los Estudios de Valorización y el fiel cumplimiento del contrato, estableciendo al menos, el instrumento financiero o bancario mediante el cual se garantizará, tales como boletas de garantía, depósitos a la vista u otros, la forma de pago a la vista o a plazo, la moneda y su reajustabilidad. Asimismo, las Bases señalarán los montos mínimos, glosas, vencimientos y demás características de cada una de las garantías que se soliciten.
Artículo 87.- Las garantías entregadas por los proponentes y consultores adjudicados deberán ser emitidas por instituciones bancarias situadas en Chile, nominativas y no endosables y tener vigencia por un plazo determinado establecido en las Bases.
Párrafo III
Proceso para realizar observaciones a las bases y los estudios de valorización
Artículo 88.- A partir de la fecha de recepción de las Bases preliminares y dentro del plazo de quince días, los Participantes y los Usuarios e Instituciones Interesadas podrán presentar sus observaciones ante la Comisión, en los formatos que para ello se establezcan en las Bases.
Vencido el plazo anterior y en un término no superior a quince días, la Comisión les comunicará las Bases definitivas, aceptando o rechazando fundadamente las observaciones planteadas. La comunicación de las Bases definitivas se realizará a través de medios electrónicos. Asimismo, la Comisión deberá remitir las mencionadas Bases al Panel.
Artículo 89.- Si se mantuviesen controversias, cualquiera de los Participantes y de los Usuarios e Instituciones Interesadas, podrá presentar sus discrepancias al Panel respecto a las Bases técnicas definitivas, en un plazo máximo de diez días contado desde la recepción de éstas. El Panel deberá emitir su dictamen dentro del plazo de treinta días contados desde la respectiva audiencia a que hace referencia el artículo 211° de la Ley.
Para los efectos anteriores, se entenderá que existe controversia susceptible de ser sometida al dictamen del Panel, si quien hubiere formulado observaciones a las Bases preliminares, persevere en ellas, con posterioridad al rechazo de las mismas por parte de la Comisión, como también, si quien no hubiere formulado observaciones a las Bases preliminares, considere que se debe mantener su contenido, en caso de haberse modificado en las Bases definitivas.
Transcurrido el plazo para formular discrepancias o una vez emitido el dictamen del Panel, la Comisión, dentro del plazo de quince días, deberá formalizar las Bases definitivas a través de una resolución que se publicará en el sitio web de la Comisión, en un medio de amplio acceso y se comunicará a los Participantes y a los Usuarios e Instituciones Interesadas. La Comisión podrá efectuar estas comunicaciones mediante medios electrónicos.
Artículo 90.- Conjuntamente con la publicación de las Bases definitivas, la Comisión deberá llamar a una licitación pública internacional del o los Estudios de Valorización que correspondan.
Artículo 91.- Los Participantes e Instituciones Interesadas podrán realizar observaciones a los informes entregados por el consultor el que deberá dar respuesta a las mismas. Las observaciones y las respuestas a las mismas deberán realizarse en la forma y plazos establecidos en las Bases.
Capítulo 6
Incompatibilidades de los consultores del o los estudios de valorización
Artículo 92.- No podrán ser contratados para elaborar el o los Estudios de Valorización las personas naturales o jurídicas en las que participen personas naturales que:
a. Mantuvieren cualquier vinculación, interés o dependencia económica, profesional, crediticia o comercial, en que más del 70% de sus ingresos totales, obtenidos durante los 12 meses anteriores a la fecha de la publicación de las Bases preliminares, hayan provenido de las Empresas Transmisoras o de sus relacionadas definidas en el artículo 100 de la Ley N° 18.045 de Mercado de Valores;
b. Sean o hayan sido directores, gerentes, administradores o ejecutivos principales de acuerdo a la definición del artículo 68 de la Ley Nº 18.045 de Mercado de Valores, de Empresas Transmisoras, o de las demás sociedades del grupo económico del que formen parte o su controlador, en los últimos 3 años a contar de la publicación de las Bases Preliminares;
c. Mantuvieren una relación de parentesco hasta el segundo grado de consanguinidad o afinidad, con los directores, gerentes, administradores o ejecutivos principales de Empresas Transmisoras; y
d. Sean socios o accionistas actuales o socios o accionistas que hayan poseído o controlado, directa o indirectamente, una proporción del capital de las Empresas Transmisoras a la fecha de la publicación de las Bases Preliminares o en cualquier momento dentro de los 12 meses anteriores a dicha fecha. La mencionada proporción será establecida en las Bases.
Artículo 93.- El o los consultores que se adjudiquen la realización del o los Estudios de Valorización quedarán impedidos de participar, durante el desarrollo de éste, directa o indirectamente, en estudios o asesorías a las Empresas Transmisoras o a sus relacionadas, definidas en el artículo 100 de la Ley N° 18.045 de Mercado de Valores.
Lo señalado en el inciso anterior será aplicable desde la adjudicación del o los Estudios de Valorización a las personas naturales, a las empresas consultoras o al consorcio constituido, como a los equipos que participen en el o los Estudios de Valorización.
Capítulo 7
Designación, constitución, funcionamiento, obligaciones y atribuciones del comité
Artículo 94.- El o los Estudios de Valorización serán adjudicados y supervisados en conformidad a las Bases definitivas, por un Comité integrado por un representante del Ministerio, uno de la Comisión, que será quien lo presidirá, uno del segmento de transmisión nacional, uno del segmento de transmisión zonal, dos representantes de los clientes libres y un representante del Coordinador. Los integrantes del Comité no recibirán remuneración alguna por tal función.
El plazo máximo del proceso de licitación será de tres meses contados desde el llamado de licitación pública a que hace referencia el Artículo 90.- del presente reglamento, hasta la fecha de la resolución que formaliza la adjudicación.
Artículo 95.- La designación del representante del Ministerio se realizará directamente por el Ministro de Energía; la del representante de la Comisión, por su Secretario Ejecutivo; y la del Coordinador, por su Consejo Directivo.
La designación de los demás integrantes señalados en el artículo anterior, se realizará de común acuerdo por los miembros de sus respectivos segmentos y por los clientes libres, según corresponda. En cada acuerdo deberán constar las declaraciones firmadas por los representantes legales de las empresas correspondientes a cada segmento y a los clientes libres. Los acuerdos deberán enviarse a la Comisión.
Si las empresas no lograren acuerdo para la designación de sus respectivos representantes en la forma señalada en el inciso precedente, éstos serán designados por la Comisión, sobre la base del mayor número de patrocinios presentados por las empresas de cada segmento y de los clientes libres. En caso de empate decidirá la Comisión.
El patrocinio respectivo se deberá formalizar por escrito, en una declaración dirigida a la Comisión, firmada por el representante legal de la empresa correspondiente, quien deberá acreditar su personería, donde se exprese claramente la identidad del representante que propone. Las declaraciones podrán ser suscritas por una o más empresas conjuntamente.
Cada empresa podrá otorgar uno o dos patrocinios, según el número de representantes que le corresponda elegir.
Si a través de este mecanismo no se recibiera ninguna declaración por segmento o por los clientes libres con el correspondiente patrocinio, la Comisión procederá de forma supletoria a realizar la designación del o los representantes del Comité.
Las designaciones señaladas en el presente artículo se deberán realizar antes de la primera sesión del Comité.
Artículo 96.- La formalización de la constitución del Comité y los plazos asociados al funcionamiento y término del mismo, considerando lo señalado en el Artículo 101.- del presente reglamento, serán establecidos mediante un acto administrativo de la Comisión el que deberá publicarse en el sitio web de la Comisión.
Artículo 97.- Los representantes que formen parte del Comité podrán cesar en sus funciones, por cualquiera de las siguientes causales:
a. Por renuncia, efectuada mediante carta dirigida al presidente del Comité; y
b. Por dejar de pertenecer, por cualquier circunstancia, a la empresa, organismo o institución que integraba al momento de su designación o por revocación del mandato de representación, si el representante hubiese sido elegido de esta forma, lo que deberá ser informado al presidente del Comité.
En caso de verificarse alguna de las causales antes señaladas, quedará sin efecto la designación del integrante afectado, debiendo dejarse constancia en acta del cese de funciones del mismo.
Artículo 98.- En el caso de cese de funciones de uno o más integrantes del Comité por cualquiera de las causales señaladas en el artículo anterior, se deberá proceder a una nueva designación de acuerdo a lo señalado en el Artículo 95.- anterior.
Artículo 99.- El Comité podrá funcionar en dependencias de la Comisión desde su constitución y durante el periodo que dure el proceso de adjudicación y ejecución del o los Estudios de Valorización. El lugar de funcionamiento del Comité será definido por acuerdo del mismo en su primera sesión. El lugar definido constituirá la sede del Comité para los efectos de eventuales envíos y recibos de documentación, correspondencia y custodia de los archivos y documentos que se estimen pertinentes.
Artículo 100.- El Comité deberá designar un secretario de actas en su primera sesión, el que podrá ser un funcionario público que no sea miembro del mismo, caso en el que no recibirá remuneración alguna. El secretario de actas será el encargado de adoptar todas las providencias y medidas administrativas que requiera el funcionamiento del Comité. Asimismo, será el encargado de mantener el orden correlativo de las sesiones de trabajo, de emitir las citaciones a sesiones ordinarias y extraordinarias, de elaborar las actas de las mismas y distribuirlas entre sus miembros y notificar los acuerdos del Comité a los consultores que participen en la licitación, cuando esto se requiera.
Artículo 101.- La primera sesión del Comité deberá realizarse a más tardar dentro de los veinte días siguientes a la publicación señalada en el Artículo 90.- del presente reglamento. En dicha sesión el Comité deberá establecer el programa de trabajo, las actividades y la periodicidad de sus sesiones. El Comité podrá sesionar ordinaria y extraordinariamente.
El Comité deberá considerar para su programa de trabajo las exigencias de la licitación, adjudicación y supervisión del o los Estudios de Valorización y deberá reunirse permanentemente, fijando los días y horas para sesionar. Las citaciones a sesiones extraordinarias, esto es, a sesiones distintas de las señaladas en el programa de trabajo, deberán realizarse a través del secretario de actas, con una antelación no inferior a 48 horas, mediante correo electrónico, a solicitud de cualquiera de los miembros del Comité.
De cada sesión deberá dejarse constancia escrita a través de un acta firmada por todos aquellos miembros que participaron en la sesión respectiva, la que deberá publicarse en el sitio web de la Comisión.
Artículo 102.- El quórum mínimo del Comité para sesionar será de cinco integrantes y las decisiones se tomarán por simple mayoría de los presentes. En caso de empate, dirimirá el presidente del Comité.
Artículo 103.- El Comité cesará en sus funciones una vez recibido conforme el o los Estudios de Valorización, de acuerdo al o los contratos respectivos.
Artículo 104.- Corresponderá al Comité adjudicar y supervisar el o los Estudios de Valorización. En el ejercicio de dichas funciones, y sin que la siguiente numeración sea taxativa, el Comité podrá:
a. Dejar sin efecto el llamado a licitación hasta antes de la fecha de presentación de Propuestas, mediante comunicación fundada al efecto;
b. Proceder a la apertura, revisión y evaluación de las Propuestas recibidas dentro del plazo establecido en las Bases;
c. Declarar fuera de Bases las Propuestas que no se ajusten a las Bases respectivas;
d. Declarar desierta la licitación;
e. Adjudicar a la Propuesta que sea la mejor combinación de factores técnicos y económicos, de conformidad a lo que se establezca en las Bases respectivas;
f. Informar el resultado del proceso de licitación a todas las empresas consultoras postulantes que hubieren presentado Propuestas;
g. Invitar a negociar al proponente seleccionado, con estricta sujeción a los principios de libre concurrencia y de igualdad de los oferentes, a objeto de ajustar aspectos de su Propuesta tales como, el cronograma de actividades, equipo de trabajo, metodología ofertada e informes a entregar, si procede. En caso que el proponente y el Comité no logren acuerdo, el Comité podrá invitar al siguiente proponente mejor evaluado y así sucesivamente. El Comité podrá dejar desierta la licitación en caso que no se logre acuerdo con ningún proponente;
h. Citar al proponente adjudicado a celebrar el contrato que deberá suscribirse;
i. Visar el respectivo contrato del o los Estudios de Valorización y aprobar cualquier modificación posterior;
j. Realizar observaciones u otorgar la aceptación o visto bueno a los informes señalados en el contrato;
k. Solicitar la ejecución de las boletas de garantía asociadas a la licitación y al contrato, cuando corresponda; y
l. Otorgar la recepción conforme del o los Estudios de Valorización y visar el correspondiente pago de los servicios que se realicen durante el desarrollo del mismo.
Artículo 105.- El Comité deberá adjudicar el o los Estudios de Valorización conforme a los plazos que se señalen en las Bases, el que no podrá superar los veinte días contados desde el vencimiento del plazo para presentar las respectivas Propuestas. La Comisión deberá formalizar la adjudicación del o los Estudios de Valorización mediante una resolución dentro de los tres días siguientes a la adjudicación.
Artículo 106.- El proponente que resulte adjudicado para la elaboración del o los Estudios de Valorización suscribirá con la Comisión el respectivo contrato, de conformidad al contenido de las Bases, aprobado mediante el correspondiente acto administrativo. Este contrato deberá ser previamente visado por el Comité.
Artículo 107.- El contrato se deberá suscribir dentro de los veinte días siguientes a la fecha de la resolución que formaliza la adjudicación señalada en el Artículo 105.- del presente reglamento.
El contrato se enmarcará en la normativa nacional y el precio convenido en él se expresará en pesos chilenos.
Artículo 108.- La propuesta que resulte adjudicada y las eventuales negociaciones que se acuerden conforme a la letra g) del Artículo 104.- del presente reglamento, formarán parte integrante del contrato para todos los efectos legales.
Artículo 109.- El o los Estudios de Valorización deberán realizarse dentro del plazo máximo de ocho meses a contar de la total tramitación del acto administrativo señalado en el Artículo 106.- del presente reglamento, sin perjuicio de la obligación del consultor respecto de la audiencia pública a que hace referencia el artículo 111° de la Ley.
Capítulo 8
Pago del o los estudios de valorización
Artículo 110.- Las empresas de los Sistemas de Transmisión Nacional, Zonales y para Polos de Desarrollo, deberán concurrir al pago del o los Estudios de Valorización de instalaciones, en la proporción que le corresponda a cada una en función de la suma de los V.A.T.T. de las instalaciones a ser valorizadas en cada Estudio, actualizados al tercer mes anterior a la publicación de las Bases preliminares. Las instalaciones que no tengan un V.A.T.T. fijado no se considerarán para efectos del pago del o los Estudios de Valorización.
Las proporciones serán determinadas e informadas a la Comisión por el Coordinador, dentro de un plazo de quince días, contado a partir de la Resolución de Calificación vigente a la fecha de comunicación de las Bases definitivas. Dentro de los quince días siguientes, la Comisión deberá establecer las proporciones mediante el acto administrativo correspondiente, el que deberá comunicarse a las empresas y publicarse en el sitio web de la Comisión, dentro del plazo de cinco días contado desde su emisión.
Artículo 111.- Dentro de los diez días siguientes a la dictación de la resolución de adjudicación del o los Estudios de Valorización, señalada en el Artículo 105.- del presente reglamento, la Comisión deberá fijar el monto definitivo a pagar por las empresas según los porcentajes establecidos en el acto administrativo señalado en el artículo anterior, mediante resolución, la que deberá ser publicada en el Diario Oficial y comunicada a las empresas correspondientes y al o los consultores del o los Estudios de Valorización, dentro del plazo de cinco días contado desde la fecha de su dictación.
Artículo 112.- Las empresas de los Sistemas de Transmisión Nacional, Zonal y para Polos de Desarrollo, deberán depositar en la cuenta corriente bancaria que para estos efectos debe abrir especialmente la Comisión, la suma a que asciende su obligación particular de contribución, dentro del plazo de diez días contado desde la fecha de publicación de la resolución que fija los montos definitivos a pagar, con documentos de pago al día, a nombre de la Comisión.
La Comisión deberá informar oportunamente a las empresas correspondientes, el nombre de la entidad bancaria, el número de la cuenta corriente y la demás información requerida para realizar el depósito señalado en el inciso anterior, con anterioridad a la fecha en que se inicie la licitación del o los Estudios de Valorización. Asimismo, las empresas deberán hacer entrega del correspondiente recibo o comprobante de pago a la Comisión.
Artículo 113.- Los montos establecidos en la resolución señalada en el Artículo 111.- del presente reglamento serán incorporados en la proporción anual que corresponda al C.O.M.A. asignado a cada empresa.
El no pago oportuno e íntegro, por parte de alguna de las empresas señaladas en el artículo anterior, de la contribución al pago del o los Estudios de Valorización, será sancionado por la Superintendencia, de acuerdo a la normativa vigente. Sin perjuicio de lo anterior, la Comisión podrá ejercer las acciones judiciales que correspondan.
Capítulo 9
Resultados del o los estudios de valorización y audiencia pública
Artículo 114.- Los resultados del o los Estudios de Valorización deberán especificar y distinguir para las instalaciones calificadas como de transmisión nacional, zonal, para polos de desarrollo y dedicadas utilizadas por parte de los usuarios sometidos a regulación de precios, a lo menos, lo siguiente:
a. El V.I., A.V.I., A.E.I.R., C.O.M.A. y V.A.T.T. por Tramo y propietario o explotador;
b. La determinación de las correspondientes fórmulas de indexación y su forma de aplicación para los valores indicados anteriormente, durante el periodo de cuatro años; y
c. Porcentajes de uso de instalaciones de transmisión dedicadas por parte de clientes sometidos a regulación de precio.
Para el caso de la transmisión para polos de desarrollo, se considerará sólo la porción de las líneas y subestaciones dedicadas, nuevas o existentes, según corresponda, cuyas características técnicas hubiesen sido modificadas conforme a lo señalado en el artículo 88° de la Ley General de Servicios Eléctricos.
Artículo 115.- La Comisión, en un plazo máximo de cinco días contado desde la recepción conforme del o los Estudios de Valorización, convocará a los Participantes y a los Usuarios e Instituciones Interesadas a una audiencia pública, en la que el o los consultores expondrán los resultados del o los Estudios de Valorización. En esa misma instancia, los Participantes y los Usuarios e Instituciones Interesadas podrán solicitar aclaraciones del o los Estudios de Valorización al o los consultores.
La audiencia pública deberá realizarse dentro de los diez días siguientes a la convocatoria de la misma. En la convocatoria a la audiencia pública se deberá señalar el lugar, hora y fecha en la que ésta se realizará. La comunicación indicará además el programa de la exposición o temario, individualizando el o los Estudios de Valorización, el o los consultores y una duración aproximada de la audiencia, debiendo dejar un espacio para las consultas de los asistentes.
Artículo 116.- A más tardar, tres días después de recibida la comunicación a que se refiere el artículo anterior, los Participantes y los Usuarios e Instituciones Interesadas, comunicarán a la Comisión la nómina de los respectivos representantes que asistirán a la audiencia.
Artículo 117.- Las exposiciones serán desarrolladas por el o los consultores, debiendo sujetarse al temario que la Comisión establezca al efecto en la respectiva convocatoria. No podrán exponer funcionarios, ni representantes de los Participantes y de los Usuarios e Instituciones Interesadas.
Artículo 118.- Dentro de los tres días siguientes contados desde la celebración de la audiencia, la Comisión publicará en su sitio web los antecedentes que permitan acreditar que la audiencia se efectuó de conformidad a lo dispuesto en el presente reglamento. En particular, especificará la fecha, lugar, la individualización del o los consultores que hayan expuesto, su o sus presentaciones y la nómina de quienes asistieron.
Capítulo 10
Informe técnico de valorización y decreto de valorización
Párrafo I
Comunicación del informe técnico de valorización, proceso para realizar observaciones al mismo y publicación del decreto
Artículo 119.- Concluido el procedimiento de audiencia pública conforme al artículo anterior, dentro del plazo de tres meses, la Comisión deberá elaborar un Informe Técnico de Valorización preliminar basado en los resultados del o los Estudios de Valorización, el que deberá ser comunicado, a través de medios electrónicos, a las Empresas Transmisoras, a los Participantes y a los Usuarios e Instituciones Interesadas, al Coordinador y se hará público a través de su publicación en el sitio web de la Comisión.
El Informe Técnico de Valorización preliminar de la Comisión deberá contener las materias señaladas en el artículo 110° de la Ley y en el Artículo 114.- del presente reglamento.
Artículo 120.- A partir de la recepción del Informe Técnico de Valorización preliminar, los Participantes y los Usuarios e Instituciones Interesadas dispondrán de diez días para presentar sus observaciones a la Comisión.
Artículo 121.- Dentro de los veinte días siguientes al vencimiento del plazo para presentar observaciones, la Comisión emitirá y comunicará el Informe Técnico de Valorización final, aceptando o rechazando fundadamente las observaciones planteadas.
Artículo 122.- Dentro de los diez días siguientes a la comunicación del Informe Técnico de Valorización final, los Participantes y los Usuarios e Instituciones Interesadas podrán presentar sus discrepancias al Panel, el que emitirá su dictamen en un plazo de cuarenta y cinco días, contado desde la respectiva audiencia a que hace referencia el artículo 211° de la Ley.
Para los efectos anteriores, se entenderá que existe discrepancia susceptible de ser sometida al dictamen del Panel, si quien hubiere formulado observaciones técnicas al Informe Técnico de Valorización preliminar, persevere en ellas, con posterioridad al rechazo de las mismas por parte de la Comisión, como también, si quien no hubiere formulado observaciones técnicas al Informe Técnico de Valorización preliminar, considere que se debe mantener su contenido, en caso de haberse modificado en el mencionado informe.
Artículo 123.- Si no se presentaren discrepancias, dentro de los tres días siguientes al vencimiento del plazo para presentarlas, la Comisión deberá remitir al Ministerio el Informe Técnico de Valorización definitivo y sus antecedentes. En el caso de que se hubiesen presentado discrepancias, la Comisión dispondrá de veinte días desde la comunicación del dictamen del Panel, para remitir al Ministerio el Informe Técnico de Valorización definitivo, incorporando lo resuelto por el Panel, y sus antecedentes.
Artículo 124.- El Ministro de Energía, dentro de veinte días de recibido el Informe Técnico de Valorización definitivo por parte de la Comisión, mediante decreto expedido bajo la fórmula "por orden del Presidente de la República" y sobre la base de dicho informe, fijará el valor anual de las instalaciones de los Sistemas Transmisión Nacional, Zonal, para Polos de Desarrollo y de las instalaciones del Sistema de Transmisión Dedicado utilizadas por parte de los usuarios sometidos a regulación de precios.
Párrafo II
Vigencia del decreto tarifario
Artículo 125.- Una vez vencido el periodo de vigencia del decreto señalado en el artículo anterior, los valores establecidos en él seguirán rigiendo mientras no se dicte el siguiente decreto. Dichos valores podrán ser reajustados por las empresas de transmisión, en la variación que experimente el Índice de Precios al Consumidor o el índice que lo reemplace, desde la fecha en que debía expirar el referido decreto, previa publicación en un diario de circulación nacional efectuada con quince días de anticipación.
Para efectos de lo anterior, el Coordinador considerará en la repartición de ingresos que hace referencia el Artículo 164 del presente reglamento, los valores establecidos en el decreto vigente reajustados en la variación que experimente el Índice de Precios al Consumidor o el índice que lo reemplace, mientras no se dicte el siguiente decreto.
Artículo 126.- No obstante lo señalado en el artículo anterior, las diferencias que se produzcan entre lo efectivamente facturado y lo que corresponda acorde a los valores que en definitiva se establezcan, por todo el periodo transcurrido entre el día de terminación del periodo tarifario anterior y la fecha de publicación del nuevo decreto, deberán ser abonadas o cargadas a los usuarios del Sistema de Transmisión con ocasión del cálculo semestral a que hace referencia el artículo 115° de la Ley.
Artículo 127.- Dichas diferencias serán informadas por el Coordinador y serán reajustadas de acuerdo al Índice de Precios al Consumidor o al índice que lo reemplace, a la fecha de publicación de los nuevos valores, por todo el periodo a que se refiere el artículo anterior.
En todo caso, se entenderá que los nuevos valores entrarán en vigencia a contar del vencimiento del cuatrienio para el que se fijaron los valores anteriores.
Artículo 128.- Los abonos o cargos a que se refiere el Artículo 126.- del presente reglamento deberán ser incorporados en los ajustes a que se refiere el Artículo 155.- del presente reglamento.
Capítulo 11
Estudio de costos de conexión
Artículo 129.- Con excepción del Sistema de Transmisión Dedicado, le corresponderá al Coordinador establecer los pagos, a partir de la aplicación de las tarifas que determine el Ministerio de Energía, previo informe técnico de la Comisión, por concepto de costos de conexión, estudios y análisis de ingeniería o derechos de uso de las instalaciones de transmisión, según se señala en el artículo 79° de la Ley.
Artículo 130.- El informe técnico de la Comisión deberá elaborarse con ocasión de la realización del o los Estudios de Valorización a que hace referencia el artículo 105° de la Ley. La Comisión deberá resguardar que no se conformen dobles pagos respecto a los ya contemplados en el o los Estudios de Valorización. Para estos efectos, se entenderá que los costos a los que se refiere al presente capítulo corresponden a los incurridos por el propietario de las instalaciones afectadas por la conexión, desde el momento en el que el interesado realiza la solicitud de conexión hasta la puesta en servicio.
Artículo 131.- Para la elaboración del informe técnico, la Comisión podrá publicar en forma conjunta con las bases preliminares del o los Estudios de Valorización, las bases para la elaboración del o los estudios de costos que permitan determinar las tarifas por concepto de costo de conexión, estudios y análisis de ingeniería o derechos de uso de las instalaciones de transmisión.
Artículo 132.- La Comisión, en un plazo máximo de treinta días desde la recepción conforme del o los estudios de costos, deberá enviar un informe técnico preliminar a los Participantes y Usuarios e Instituciones Interesadas inscritos en el registro correspondiente al proceso de valorización, quienes podrán presentar sus observaciones en un plazo de quince días contado desde su recepción.
Artículo 133.- A más tardar tres meses después de transcurridos los plazos establecidos en el artículo anterior, la Comisión, habiendo considerado las observaciones señaladas en el artículo anterior, enviará al Ministerio de Energía el informe técnico definitivo con las tarifas por concepto de costos de conexión, estudios y análisis de ingeniería o derechos de uso de las instalaciones de transmisión. Para estos efectos, los costos de conexión corresponderán a los originados a consecuencia del desarrollo de actividades asociadas con la gestión legal o comercial, supervisión, inspección y coordinación del proceso de conexión, los costos de estudios y análisis de ingeniería corresponderán a los originados producto del desarrollo o revisión de estudios eléctricos y de ingeniería del proyecto que se conecta y los derechos de uso de las instalaciones a los que se refiere el presente artículo corresponderán al uso que deben hacer los solicitantes de una nueva conexión de las instalaciones de transmisión que no se encuentran remuneradas en los decretos de valorización de las instalaciones de transmisión.
Artículo 134.- El Ministerio de Energía, dentro de veinte días de recibido el informe técnico a que hace referencia el artículo anterior, mediante decreto expedido bajo la fórmula "por orden del Presidente de la República", fijará las tarifas por concepto de costos de conexión, estudios y análisis de ingeniería o derechos de uso de las instalaciones de transmisión para los efectos señalados en el artículo 79° y en el inciso séptimo del artículo 80° de la Ley.
TÍTULO IV
DE LA REMUNERACIÓN DE LA TRANSMISIÓN
Capítulo 1
Determinación de la remuneración de la transmisión
Párrafo I
V.A.T.T . de las instalaciones de servicio público y pago por uso de los sistemas dedicados
Artículo 135.- Las Empresas Transmisoras de las instalaciones existentes en los Sistemas de Transmisión Nacional, Zonal y para Polos de Desarrollo deberán percibir anualmente el V.A.T.T. correspondiente a cada uno de dichos sistemas. Este valor constituirá el total de su remuneración anual. Asimismo, los propietarios de las instalaciones de transmisión dedicada utilizada por parte de usuarios sometidos a regulación de precios, deberán percibir de los clientes regulados la proporción correspondiente a dicho uso, determinada de acuerdo a lo indicado en el Artículo 56.- del presente reglamento.
Igualmente, las empresas propietarias o que exploten a cualquier título las instalaciones de interconexión internacional que sean definidas como de servicio público, así como la nueva infraestructura para la prestación de servicios complementarios, deberán percibir anualmente el valor anual correspondiente.
Artículo 136.- El transporte por sistemas dedicados se regirá por lo previsto en los respectivos contratos de transporte entre los usuarios y los propietarios de las instalaciones. El pago por uso a que da derecho dicho transporte se deberá calcular en base a un valor de transmisión anual, considerando el valor anual de las inversiones, más los costos proyectados de operación, mantenimiento y administración. En todo caso, todos los antecedentes y valores para calcular el pago por uso deberán ser técnica y económicamente respaldados e informados al Coordinador para estar disponibles para todos los interesados.
El valor de transmisión anual señalado en el inciso anterior se deberá calcular sobre la base y metodología contenidas en el Informe Técnico Definitivo relativo al Decreto de Valorización que se encuentre vigente. En caso de corresponder, se podrá considerar en el cálculo del valor base las particularidades constructivas y de diseño de las instalaciones, las que deberán justificarse por la empresa propietaria, arrendataria, usufructuaria o a aquellos que operen o exploten a cualquier título la instalación dedicada ante el Coordinador.
Artículo 137.- El pago por uso efectuado por parte de usuarios sometidos a regulación de precios de instalaciones de sistemas dedicados se regirá conforme a las reglas establecidas en los artículos 102° y siguientes de la Ley y en el presente reglamento.
Párrafo II
Cargos únicos por uso
Artículo 138.- Dentro de cada uno de los Sistemas de Transmisión Nacional y Zonal, se establecerá un cargo único por uso, de modo que la recaudación asociada a éste constituya el complemento a los Ingresos Tarifarios Reales para recaudar el V.A.T.T. de cada Tramo definido en el decreto señalado en el artículo 112° de la Ley y de cada Tramo que haya entrado en operación y que no se encuentre en el señalado decreto.
Artículo 139.- Asimismo, se establecerá un cargo único de modo que la recaudación asociada a éste remunere la proporción de las instalaciones de transmisión dedicada utilizada por parte de usuarios sometidos a regulación de precios, considerando la proporción de Ingresos Tarifarios Reales asignables a ellos.
Artículo 140.- Se establecerá un cargo único de manera que la recaudación asociada a éste remunere la proporción de las instalaciones para polos de desarrollo no utilizada por la generación existente. El valor anual de la transmisión para polos de desarrollo no cubierta por dicho cargo, será asumida por los generadores que inyecten su producción en el polo correspondiente.
Artículo 141.- Adicionalmente, la nueva infraestructura con sus costos anuales de mantenimiento eficiente que sean contemplados en el informe de servicios complementarios, será remunerada por los usuarios finales a través de un cargo asociado a dichos servicios.
Artículo 142.- Asimismo, deberá incluirse en los cargos únicos un cargo asociado a las interconexiones internacionales que sean definidas como servicio público, para efectos del pago de su remuneración.
Párrafo III
Procedimiento para la fijación de los cargos únicos por uso
Artículo 143.- Los cargos únicos por uso a que hace referencia el presente título serán calculados semestralmente por la Comisión en el informe técnico respectivo y fijados mediante resolución exenta, con ocasión de la determinación de los precios de nudo corto plazo, la que deberá ser dictada y publicada en el Diario Oficial a más tardar el 20 de junio y 20 de diciembre de cada año. La vigencia de las resoluciones exentas que se dicten en virtud del presente artículo corresponderá a la vigencia semestral de los respectivos decretos de precio de nudo promedio, según corresponda.
Artículo 144.- Para efectos de lo dispuesto en el artículo anterior, a más tardar el 20 de mayo y 20 de noviembre de cada año, la Comisión deberá emitir una versión preliminar del informe técnico de cálculo de los cargos únicos para observaciones de los interesados. Este informe deberá ser publicado en el sitio web de la Comisión.
Los interesados podrán enviar a la Comisión sus observaciones al informe señalado en el inciso anterior, dentro de un plazo de 10 días, contado desde la publicación del informe en el sitio web de la Comisión. Las observaciones deberán ser enviadas por medios electrónicos, conforme a los formatos que defina la Comisión.
Vencido el plazo para observaciones, la Comisión deberá emitir la versión definitiva del informe técnico respectivo dentro de los plazos del artículo anterior, debiendo anexar las observaciones recibidas.
Párrafo IV
Recaudación de los cargos únicos por uso y traspaso a las empresas transmisoras
Artículo 145.- Los cargos únicos por uso serán recaudados de los usuarios finales del Sistema Eléctrico Nacional por sus respectivos suministradores, sean éstos empresas concesionarias de servicio público de distribución o empresas generadoras.
Las boletas o facturas a usuarios libres o regulados extendidas por sus respectivos suministradores, deberán agrupar los cobros por concepto de transmisión nacional, zonal, para polos de desarrollo, de instalaciones de transmisión dedicada utilizada por parte de usuarios sometidos a regulación de precios, la nueva infraestructura asociada a la prestación de servicios complementarios y por Sistemas de Interconexión Internacional de servicio público, en un cargo único.
Artículo 146.- Mensual o bimestralmente, los suministradores deberán efectuar los cobros a sus respectivos clientes regulados, debiendo extender las boletas o facturas respectivas, detallando al menos la energía eléctrica, el cargo único y el Impuesto al Valor Agregado que corresponda.
Los suministradores deberán efectuar los cobros a sus respectivos clientes no sometidos a fijación de precios mensualmente, debiendo extender las boletas o facturas respectivas, detallando al menos la energía eléctrica, el cargo único y el impuesto al valor agregado que corresponda.
Artículo 147.- Los montos facturados por los respectivos suministradores en virtud de lo dispuesto en el presente Título deberán ser traspasados a las Empresas Transmisoras que correspondan de acuerdo a las prorratas que determine el Coordinador conforme a las disposiciones del presente Título.
Para efectos de lo anterior, a más tardar el día 25 de cada mes, los suministradores deberán informar al Coordinador, al menos, los montos y la energía facturada durante el mes anterior, indicando el monto y energía facturada de cada cliente y Sistema de Transmisión respectivo de acuerdo con los formatos dispuestos por el Coordinador.
Artículo 148.- Mensualmente, con ocasión de los balances de transferencias de energía y potencia, el Coordinador calculará los Ingresos Tarifarios Reales de cada Tramo del Sistema de Transmisión. Estos Ingresos Tarifarios Reales deberán ser pagados a la respectiva Empresa Transmisora por las empresas que efectúen inyecciones y retiros de energía y potencia desde el Sistema Eléctrico Nacional conforme a la normativa vigente, debiendo considerarse lo dispuesto en el Capítulo II del presente Título, si corresponde.
En el caso de los Sistemas de Interconexión Internacional de servicio público, sólo se considerarán los Ingresos Tarifarios Reales generados en el territorio nacional, para lo cual el Coordinador deberá calcular un costo marginal en el límite fronterizo, salvo que un acuerdo, tratado o protocolo internacional aplicable a dicha interconexión internacional establezca normas especiales distintas.
Artículo 149.- El Coordinador deberá enviar a la Comisión, a más tardar el día 25 de cada mes, la información que contenga los V.A.T.T., V.A., la fecha de entrada en operación de los Tramos e infraestructura para la prestación de servicios complementarios, los respectivos Ingresos Tarifarios Reales para el conjunto de instalaciones de transmisión del Tramo respectivo, la reasignación de Ingresos Tarifarios Reales a que se refiere el artículo 114° bis de la Ley, así como los saldos mensuales, a favor o en contra, originados de la diferencia entre los V.A.T.T. o V.A. correspondientes y la recaudación. La señalada información será la correspondiente a los dos meses anteriores a la del mes de su envío.
Artículo 150.- El pago de los Sistemas de Transmisión para Polos de Desarrollo de cargo de las centrales generadoras conectadas a éstos, se determinará a prorrata de la capacidad instalada de generación y su ubicación.
Para los efectos de lo anterior, el Coordinador deberá calcular las prorratas asignables a cada generador que utilice el Sistema de Transmisión para Polos de Desarrollo, debiendo referir las capacidades instaladas de generación a los distintos nodos del Tramo para polos de desarrollo mediante factores de expansión que den cuenta de las pérdidas eléctricas en los Tramos de transmisión aguas arriba del respectivo Tramo para polos de desarrollo.
El Coordinador deberá actualizar las prorratas cada vez que se interconecten o desconecten centrales generadoras que utilicen el respectivo Tramo para polos de desarrollo.
Párrafo V
Determinación de los cargos únicos
Artículo 151.- El pago de los Sistemas de Transmisión Nacional, Zonal, para Polos de Desarrollo, Interconexión Internacional de servicio público y de Transmisión Dedicada utilizada por parte de usuarios sometidos a regulación de precios e infraestructura asociada a la prestación de servicios complementarios será de cargo de los consumidores finales libres y regulados, y se regirá por las siguientes reglas:
a. El cargo por uso del Sistema de Transmisión Nacional se determinará en base a la diferencia entre el 50% del V.A.T.T. de los Tramos de transmisión nacional y los Ingresos Tarifarios Reales disponibles del semestre anterior, de cada uno de dichos Tramos, dividida por la suma de la energía proyectada total a facturar a los suministros finales del sistema interconectado para el mismo semestre;
b. El cargo por uso de cada Sistema de Transmisión Zonal se determinará en base a la diferencia entre el 50% del V.A.T.T. de los Tramos correspondientes y los Ingresos Tarifarios Reales disponibles del semestre anterior, dividida por la suma de la energía proyectada total a facturar a los suministros finales en dicho sistema para el mismo semestre. En cada sistema de transmisión zonal podrán existir uno o más cargos segmentados por nivel de tensión;
c. El cargo por uso de los Sistemas de Transmisión Dedicada utilizada por parte de consumidores finales regulados se determinará en base a la diferencia entre el 50% del V.A.T.T. asignado y la proporción de los Ingresos Tarifarios Reales disponibles del semestre anterior, dividida por la suma de la energía proyectada total a facturar a los suministros finales regulados en el sistema interconectado para el mismo semestre;
d. El cargo por uso de los Sistemas de Transmisión para Polos de Desarrollo, de la proporción no utilizada por centrales generadoras, se determinará en base a la diferencia entre el 50% de la proporción del V.A.T.T. de los Tramos correspondientes, asignada a dichos consumidores, y la proporción de los Ingresos Tarifarios Reales disponibles del semestre anterior, dividida por la suma de la energía proyectada total a facturar a los suministros finales del sistema interconectado para el mismo semestre.
Para efectos de lo anterior, y para la remuneración de la proporción no utilizada por centrales generadoras existentes en los Sistemas de Transmisión para Polos de Desarrollo, se entenderá como proporción no utilizada aquella resultante de la diferencia entre uno y el cociente entre la suma de la capacidad instalada de generación debiendo referir las capacidades instaladas de generación a los distintos nodos del Tramo para polos de desarrollo mediante factores de expansión que den cuenta de las pérdidas eléctricas en los Tramos de transmisión aguas arriba del respectivo Tramo para polos de desarrollo, respecto de la totalidad de la capacidad instalada de transmisión que corresponda. Dicha proporción distinguirá las líneas y subestaciones dedicadas, nuevas de las existentes, según corresponda, cuyas características técnicas hubiesen sido modificadas conforme a lo señalado en el artículo 88° de la Ley.
Si transcurrido los cinco periodos tarifarios a que hace referencia el artículo 99° de la Ley no se ha utilizado la capacidad total de transporte prevista, se extenderá este régimen de remuneración hasta por dos periodos tarifarios adicionales. A partir de entonces, sólo se considerará la capacidad de la generación existente, para su valorización y remuneración.
El pago de los consumidores finales para la remuneración de la proporción no utilizada se hará sólo respecto de las instalaciones para el polo de desarrollo sobre las que se dispuso un aumento de su capacidad decretada en los respectivos Decretos de Expansión;
e. El cargo por uso asociado a nueva infraestructura para la prestación de servicios complementarios adjudicadas por el Coordinador o instruidas de manera directa por éste, de acuerdo a lo dispuesto en el artículo 72°-7 inciso noveno de la Ley, se determinará en base al 50% del valor anual total, establecido de acuerdo a lo indicado en el Artículo 51.- del presente reglamento, dividido por la suma de la energía proyectada total a facturar a los suministros finales del Sistema Eléctrico Nacional para el mismo semestre. Para estos efectos se deberán considerar los valores anuales indexados según corresponda; y
f. El cargo por uso asociado a interconexiones internacionales de servicio público, se determinará en base a la diferencia del 50% de la proporción del V.A.T.T. de los Tramos que corresponda a las instalaciones de interconexión internacional de servicio público y la proporción de los Ingresos Tarifarios Reales disponibles del semestre anterior, dividida por la suma de la energía proyectada total a facturar a los suministros finales del sistema interconectado para el mismo semestre de vigencia de dicho cargo. El monto que deban pagar los suministradores responsables de exportación de energía, calculado conforme los incisos siguientes, deberá ser descontado del cargo señalado precedentemente.
Para determinar la proporción del V.A.T.T. e Ingresos Tarifarios Reales que deba utilizarse, cuando las instalaciones de interconexión internacional de servicio público sean usadas para la exportación de energía, el o los suministradores responsables de dicha exportación deberán pagar a los propietarios de dichas instalaciones el monto correspondiente a la proporción de uso de éstas para efectos de la exportación, la cual se calculará sobre el V.A.T.T. de la respectiva instalación.
Para determinar las proporciones de pago de los suministradores responsables de las exportaciones de energía, se considerarán las exportaciones e importaciones de energía del semestre inmediatamente anterior a través del respectivo Sistema de Interconexión Internacional de servicio público. La proporción de pago de los suministradores responsables de exportación de energía será determinada por el Coordinador como la razón entre la energía exportada y la suma de la energía exportada e importada.
Individualmente, cada suministrador responsable de exportación de energía pagará en proporción a la energía exportada por éste, respecto del total de energía exportada a través del Sistema de Interconexión Internacional de servicio público, conforme a los cálculos del Coordinador.
Artículo 152.- Para efectos de la determinación del cargo único, serán considerados los V.A.T.T. de las instalaciones respectivas y la anualidad de inversión de nueva infraestructura para la prestación de servicios complementarios, con sus costos anuales de mantenimiento eficiente, actualizados según sus correspondientes fórmulas de indexación.
Artículo 153.- Para efectos de calcular los ingresos tarifarios disponibles del semestre anterior, la Comisión considerará los valores informados por el Coordinador para los meses de octubre a marzo y de abril a septiembre para las fijaciones de junio y diciembre respectivamente.
Artículo 154.- Para los efectos de determinar la proporción de ingresos tarifarios de los Sistemas de Transmisión Dedicado utilizada por parte de consumidores finales regulados se deberá emplear el porcentaje de uso considerado en el decreto de valorización vigente.
Artículo 155.- Los ajustes a los cargos únicos a que hace referencia el artículo 115° de Ley deberán considerar el cargo vigente al momento del cálculo, la entrada en operación de nuevas obras de transmisión, la actualización de las fórmulas de indexación, la entrada en vigencia de nuevos decretos tarifarios, entre otros aspectos, los que deberán ser recogidos en el informe técnico a que se refiere el Artículo 143.- del presente reglamento.
Las diferencias que se produzcan entre lo efectivamente facturado y lo que corresponda acorde a los valores que en definitiva se establezcan para el cuatrienio correspondiente, reajustados en la variación que haya experimentado el Índice de Precios al Consumidor o el índice que lo reemplace entre el mes en revisión y el mes en que se realiza el cálculo, deberán ser abonados o cargadas a los usuarios del sistema de transmisión con ocasión de las sucesivas fijaciones semestrales que se realicen a partir de la publicación del decreto que contiene los valores definitivos. Las diferencias señaladas precedentemente serán determinadas por el Coordinador e informadas a la Comisión con ocasión del envío de información mensual señalado en el Artículo 149.- del presente reglamento.
Con todo, se deberá asegurar que las empresas propietarias de instalaciones de transmisión existentes perciban la remuneración del correspondiente periodo tarifario.
Capítulo II
Reasignación de ingresos tarifarios
Párrafo I
Niveles normales referenciales de ingresos tarifarios señalados en el artículo 114° bis de la ley
Artículo 156.- En caso de que se produzcan Ingresos Tarifarios Reales por Tramo en los Sistemas de Transmisión que superen los niveles normales referenciales y que se originen por un retraso en la entrada en operación de Obras de Expansión de instalaciones de transmisión respecto de las fechas establecidas en los Decretos de Expansión respectivos o por la indisponibilidad producida en instalaciones de transmisión nacional o zonal durante el primer año de operación, el Coordinador deberá efectuar una reasignación de la componente de Ingresos Tarifarios Reales que corresponda.
Artículo 157.- Una instalación se considerará retrasada cuando su entrada en operación no haya ocurrido a la fecha señalada en el Decreto de Expansión correspondiente. Una instalación se considerará indisponible cuando, dentro de su primer año de operación, el Coordinador no pueda disponer de la misma. No se considerará indisponible si es que la instalación se encuentra bajo mantenimiento programado por el Coordinador para realizar tareas de mantenimiento preventivo, de acuerdo a lo que determine el Coordinador.
Artículo 158.- Para efectos de lo señalado en el artículo anterior, una vez verificada alguna de las situaciones de retraso o indisponibilidad, el Coordinador deberá:
a. Identificar las instalaciones de transmisión que presenten Ingresos Tarifarios Reales en niveles superiores a los niveles referenciales debido a la ocurrencia de una de las situaciones señaladas;
b. Cuantificar y diferenciar los montos atribuibles a operación normal respecto de los verificados en la operación real, distinguiendo la componente del Ingreso Tarifario Real asignable al peaje de transmisión y la componente asignable a congestión. La componente del Ingreso Tarifario Real asignable al peaje de transmisión corresponderá al nivel normal referencial de éste; y
c. Asignar los montos de la componente de congestión a las empresas generadoras que hayan realizado retiros de energía destinados a usuarios finales y/o inyecciones, en tanto se hayan visto afectadas negativamente en sus balances de transferencias de energía a raíz de las situaciones producidas, en la proporción que corresponda a dicha afectación.
Artículo 159.- El Coordinador establecerá mensualmente los periodos en que se hayan producido atrasos o indisponibilidades de instalaciones de transmisión. En dichos periodos se deberán calcular los niveles normales referenciales de ingresos tarifarios de los Tramos que hayan presentado desacoples en la operación real del sistema atribuibles al retraso o indisponibilidad de una instalación. Se entenderá como desacople en un Tramo cuando la diferencia de costos marginales en sus extremos no resulte exclusivamente de las pérdidas de transmisión en dicho Tramo.
Serán niveles normales referenciales para cada Tramo los Ingresos Tarifarios que determiné el Coordinador, considerando, al menos, las pérdidas medias de operación del Tramo. Los cálculos deberán efectuarse de acuerdo a los mismos intervalos temporales utilizados por el Coordinador para determinar las transferencias económicas.
El monto total a asignar a las empresas generadoras afectadas negativamente corresponderá a la diferencia entre el total de todos los Ingresos Tarifarios Reales y el total de todos los ingresos tarifarios calculados con niveles normales referenciales, para los tramos afectados, según lo señalado en los artículos precedentes.
Artículo 160.- El Coordinador calculará, en cada periodo que se hayan superado los niveles normales referenciales de Ingresos Tarifarios Reales, la afectación de cada empresa generadora que efectúe inyecciones o retiros de energía para el suministro a clientes no sujetos a regulación de precios o empresas concesionarias de servicio público de distribución.
Artículo 161.- La afectación negativa de cada empresa se determinará en base a la diferencia entre sus inyecciones y retiros en las barras cuyo costo marginal fue afectado por el desacople conforme a lo señalado en el Artículo 159.- del presente reglamento, en el periodo en que el Coordinador efectúa los balances de transferencias económicas.
Artículo 162.- El monto total a asignar de acuerdo a lo indicado en el Artículo 159.- deberá ser asignado a las empresas generadoras en proporción a su afectación negativa, considerando el periodo completo en el que se efectúe el balance de transferencias económicas respectivo. En caso de que no existan empresas generadoras que se hayan visto afectadas negativamente, no se realizará la reasignación de Ingresos Tarifarios Reales.
Artículo 163.- Para efectos del presente capítulo se deberán excluir del cálculo las inyecciones fuera del Orden Económico por razones de seguridad, prestación de servicios complementarios, declaración de gas inflexible, u otra causa, así como también las centrales generadoras cuyas inyecciones sean valorizadas mediante los mecanismos de estabilización de precios a que hace referencia el artículo 149° de la Ley. En aquellos casos en que el costo marginal haya sido mayor por efectos del desacople, no se considerarán las inyecciones de las centrales cuyo costo variable de operación sea superior al costo marginal considerado para la determinación de los niveles normales referenciales de ingresos tarifarios, referido a la barra correspondiente.
Párrafo II
Repartición y revisión de ingresos de empresas transmisoras
Artículo 164.- Dentro de cada Sistema de Transmisión Nacional, Zonal, para Polos de Desarrollo, Dedicado utilizado por usuarios sometidos a regulación de precios, infraestructura asociada a la prestación de servicios complementarios y Sistemas de Interconexión Internacional de servicio público, los ingresos facturados por concepto de cargo único semestral por uso serán repartidos entre las Empresas Transmisoras de las instalaciones de cada Sistema de Transmisión de acuerdo con lo siguiente:
a. La recaudación mensual total de cada segmento y sistema, se pagará a prorrata del V.A.T.T. de las instalaciones resultante del o los Estudios de Valorización, de los valores de adjudicación resultantes de licitaciones de Obras Nuevas o Ampliaciones de los Sistemas de Transmisión, de los V.A.T.T. de los decretos señalados en el último inciso del Artículo 52.- del presente reglamento y el V.A. de nueva infraestructura asociada a la prestación de servicios complementarios, conforme las fórmulas de indexación de los mismos. Para polos de desarrollo, transmisión dedicada utilizada por usuarios sometidos a regulación de precios y Sistemas de Interconexión Internacional de servicio público, dicha repartición se hará sobre el V.A.T.T. asignado a la demanda correspondiente.
b. En cada sistema y segmento, las diferencias que se produzcan entre la recaudación total y la suma de los V.A.T.T. de todos los Tramos del segmento de transmisión y sistema, y entre la suma de los V.A. de la infraestructura asociada a la prestación de servicios complementarios de conformidad a lo señalado en la letra a) precedente, deberán ser consideradas por la Comisión en el semestre siguiente a fin de abonar o descontar dichas diferencias, según corresponda, en el cálculo del cargo para el próximo semestre.
c. El Coordinador deberá realizar todos los cálculos necesarios para la repartición de ingresos, de acuerdo a lo establecido en la normativa vigente y deberá resguardar que la recaudación anual asignada a cada Tramo no sea superior a su valorización anual.
Artículo 165.- El Coordinador deberá efectuar una revisión de los ingresos asignados a cada Empresa Transmisora, considerando tanto los Ingresos Tarifarios Reales como la repartición de recaudaciones por cargos por uso de los Sistemas de Transmisión. Los resultados de la señalada revisión deberá informarlos a las Empresas Transmisoras y empresas propietarias o explotadoras de nueva infraestructura para la prestación de servicios complementarios dentro de los primeros cinco días del mes de marzo de cada año. En esta revisión el Coordinador deberá calcular el total de ingresos recibidos por las Empresas Transmisoras, la suma de V.A.T.T. y V.A., debidamente indexados, que debió haber recibido y la razón entre ambos valores.
El Coordinador deberá realizar reliquidaciones entre las Empresas Transmisoras y empresas propietarias o explotadoras de nueva infraestructura para la prestación de servicios complementarios, de modo que todas ellas reciban para el año en revisión la misma proporción de ingresos respecto de sus V.A.T.T. y V.A. individuales.
En el caso de instalaciones de transmisión y nueva infraestructura para la prestación de servicios complementarios que entraron en operación durante el periodo en revisión, los V.A.T.T. y V.A. respectivamente deberán ponderarse en función del número de días posteriores a la entrada en operación respecto del total de días del periodo en revisión. Similar ponderación deberá hacerse para aquellas instalaciones que hayan sido retiradas del sistema eléctrico durante el periodo.
Artículo 166.- En caso de mora o simple retardo en el pago de las facturas que se emitan entre las empresas sujetas a coordinación del Coordinador, éstas podrán aplicar sobre los montos adeudados el interés máximo convencional definido en el artículo 6° de la Ley Nº 18.010, vigente al día del vencimiento de la obligación respectiva.
Las facturas emitidas por las Empresas de Transmisión para el cobro de la remuneración del Sistema de Transmisión tendrán mérito ejecutivo.
DISPOSICIONES TRANSITORIAS
Artículo primero. Durante el periodo que medie entre el 1 de enero de 2019 y el 31 de diciembre de 2034, a efectos de aplicar lo establecido en el artículo vigesimoquinto transitorio de la Ley 20.936, en cuanto al Área de Influencia Común y la metodología de cálculo de peajes de inyección y retiros, corresponderá a lo establecido en el Decreto Supremo N° 23T, de 2015, del Ministerio de Energía, que fija instalaciones del Sistema de Transmisión Troncal, el Área de Influencia Común, el Valor Anual de la Transmisión por Tramo y sus componentes con sus fórmulas de indexación para el cuadrienio 2016-2020.
Artículo segundo. Para el cálculo de los cargos únicos por uso de los Sistemas de Transmisión, la Comisión deberá considerar lo dispuesto en el artículo vigesimoquinto transitorio de la Ley Nº 20.936, en relación al régimen de recaudación, pago y remuneración del Sistema de Transmisión Nacional.".
Anótese, tómese razón y publíquese.- SEBASTIÁN PIÑERA ECHENIQUE, Presidente de la República.- Susana Jiménez Schuster, Ministra de Energía.
Lo que transcribo a Ud. para su conocimiento.- Saluda Atte. a Ud., Loreto Cortés Alvear, Jefe División Jurídica Subsecretaría de Energía.