OTORGA CONCESIÓN DE SERVICIO INTERMEDIO DE TELECOMUNICACIONES QUE ÚNICAMENTE PROVEA INFRAESTRUCTURA FÍSICA PARA TELECOMUNICACIONES A LA EMPRESA WOM S.A.
Santiago, 10 de junio de 2020.- Con esta fecha se ha decretado lo que sigue:
Núm. 64.
Vistos:
a) El decreto ley Nº 1.762, de 1977, que creó la Subsecretaría de Telecomunicaciones, en adelante "la Subsecretaría".
b) La ley Nº 18.168, Ley General de Telecomunicaciones, en adelante "la ley".
c) El decreto supremo Nº 103, de 2008, del Ministerio de Transportes y Telecomunicaciones, que faculta al Ministro de Transportes y Telecomunicaciones para firmar "Por orden de la Presidenta de la República".
d) El decreto supremo Nº 353, de 2001, del Ministerio de Transportes y Telecomunicaciones, Reglamento del Fondo de Desarrollo de las Telecomunicaciones, y sus modificaciones.
e) El decreto supremo Nº 99, de 2012, del Ministerio de Transportes y Telecomunicaciones, Reglamento que establece los requisitos para obtener, instalar, operar y explotar concesiones de servicios intermedios de telecomunicaciones que únicamente provean infraestructura física para telecomunicaciones, y sus modificaciones.
f) La resolución Nº 7, de 2019, de la Contraloría General de la República, que Fija Normas sobre Exención del Trámite de Toma de Razón.
g) La resolución afecta Nº 16, de fecha 12.02.2013, de la Subsecretaría, que aprueba las Bases Generales para Concursos Públicos para la Asignación de Proyectos y sus respectivos Subsidios, correspondientes al Programa Anual de Proyectos Subsidiables del Fondo de Desarrollo de las Telecomunicaciones.
h) La resolución afecta Nº 1, de fecha 28.06.2019, de la Subsecretaría, que aprueba las Bases Específicas del Concurso Público "Fibra Óptica Nacional", Código: FDT-2019-01, modificada mediante resolución afecta Nº 6, de fecha 19.12.2019.
i) La Sesión LV, del Consejo de Desarrollo de las Telecomunicaciones, de fecha 29.01.2019, que autoriza el llamado a Concurso Público del literal h) de los Vistos y fija el monto máximo de Subsidio para la asignación del mismo.
j) La resolución exenta Nº 2.380, de fecha 21.11.2019, de la Subsecretaría, que aprueba el Informe de Respuestas a las Consultas formuladas a las Bases Generales y Específicas del Concurso Público de los literales g) y h) de los Vistos, respectivamente, complementada mediante resolución exenta Nº 2.414, de fecha 28.11.2019.
k) Los ingresos Subtel Nº 10.283, Nº 10.287, Nº 10.289 y Nº 10.293, todos de fecha 21.01.2020, por el cual la empresa Wom S.A. presenta su Propuesta al Concurso Público del literal h) de los Vistos, para la Macrozona Centro, Código: FDT-2019-01-CTO, a saber los sobres S1, S2, S3 y S4 respectivamente.
l) Los ingresos Subtel Nº 43.037 y Nº 43.039, ambos de fecha 16.03.2020, por los cuales la empresa Wom S.A., aclara antecedentes especificados en su Propuesta del literal k), para el Concurso Público del literal h), ambos de estos Vistos, para la Macrozona Centro, Código: FDT-2019-01-CTO.
m) El oficio Ord. Nº 5.220, GFDT Nº 87, de fecha 15.04.2020, de la Subsecretaría, por el cual se comunica a la empresa Wom S.A. la adjudicación de su Propuesta presentada para la Macrozona Centro, Código: FDT-2019-01-CTO, del Concurso Público "Fibra Óptica Nacional", Código: FDT-2019-01.
Considerando:
a) Lo solicitado por la interesada mediante ingreso Subtel Nº 85.506, de fecha 04.05.2020, complementado mediante ingreso Subtel Nº 92.579 de 11.05.2020, para el Proyecto Macrozona Centro, Código: FDT-2019-01-CTO, del Concurso Público "Fibra Óptica Nacional", Código: FDT-2019-01, cuya Propuesta consta de los ingresos Subtel señalados en los literales k) y l) de los Vistos.
b) El Acta de fecha 09.04.2020, correspondiente a la sexagésima sesión del Consejo de Desarrollo de las Telecomunicaciones, que resolvió adjudicar el Concurso "Fibra Óptica Nacional", Código: FDT-2019-01, Proyecto Macrozona Centro, Código: FDT-2019-01-CTO y su respectivo Subsidio, a la empresa Wom S.A.
Decreto:
Otórgase concesión de Servicio Intermedio de Telecomunicaciones que únicamente provea infraestructura física para telecomunicaciones, a la empresa Wom S.A., RUT Nº 78.921.690-8, con domicilio en Avenida General Mackenna Nº 1369, comuna de Santiago, Región Metropolitana de Santiago, en adelante la concesionaria, en el sentido que se indica en los numerandos siguientes.
1. Autorízase a la concesionaria para instalar, operar y explotar infraestructura física para telecomunicaciones en las Regiones del Libertador General Bernardo O'Higgins y del Maule, correspondiente a los PIX, POIIT y TRIOT Terrestres, y Puntos de Derivación para los Trazados Regionales de Infraestructura Óptica que se individualizan a continuación, así como los equipos, componentes y elementos que permiten la provisión del Servicio de Infraestructura, con los cuales, además, se deberá cumplir con la obligación de Servicio Preferente, todos ellos objeto del Concurso "Fibra Óptica Nacional", Código: FDT-2019-01 para la Macrozona Centro, de acuerdo con lo exigido en las Bases del Concurso y el Proyecto adjudicado, todos indicados en los literales g), h), j), k) y l) de los Vistos, respectivamente. En específico, y para cada uno de los Trazados Regionales de Infraestructura Óptica, se autoriza la provisión de veinticuatro (24) Canales Ópticos Terrestres, uno (1) de ellos destinado a la implementación de un Canal Óptico Exclusivo para la Operación de Infraestructura de Telecomunicaciones (COEOIT), en los términos requeridos en las Bases Específicas y lo declarado en el Proyecto correspondiente.
2. Ubicación de los PIX de la Macrozona Centro.
2.1 Ubicación del PIX O'Higgins.
2.2 Ubicación del PIX Maule.
3. Ubicación de los POIIT Terrestres de la Macrozona Centro.
3.1 Ubicación de los POIIT Terrestres del Trazado Regional de Infraestructura Óptica O'Higgins.
3.2 Ubicación de los POIIT Terrestres del Trazado Regional de Infraestructura Óptica Maule.

4. Ubicación de los TRIOT Terrestres, según origen-destino de los respectivos Trazados Regionales de Infraestructura Óptica de la Macrozona Centro.
4.1 Ubicación de los TRIOT Terrestres, según origen y destino del Trazado Regional de Infraestructura Óptica O'Higgins.

4.2 Ubicación de los TRIOT Terrestres, según origen y destino del Trazado Regional de Infraestructura Óptica Maule.

5. Características técnicas de los TRIOT Terrestres de los respectivos Trazados Regionales de Infraestructura Óptica de la Macrozona Centro.
5.1 Características de los TRIOT Terrestres del Trazado Regional de Infraestructura Óptica O'Higgins.

5.2 Características de los TRIOT Terrestres del Trazado Regional de Infraestructura Óptica Maule.

6. Ubicación de los Puntos de Derivación de los respectivos Trazados Regionales de Infraestructura Óptica de la Macrozona Centro.
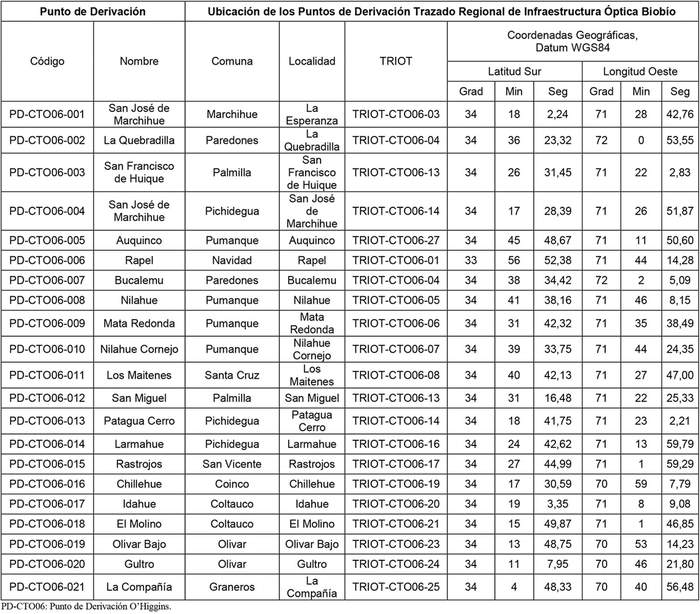
6.1 Ubicación de los Puntos de Derivación del Trazado Regional de Infraestructura Óptica O'Higgins.

6.2 Ubicación de los Puntos de Derivación del Trazado Regional de Infraestructura Óptica Maule.


7. Zona de Servicio y Zona de Servicio Mínima.
7.1 La Zona de Servicio de la Macrozona Centro comprende a las Regiones del Libertador General Bernardo O'Higgins y del Maule, debiendo la infraestructura materia de esta autorización ser desplegada en su totalidad por territorio nacional, dentro de las regiones antes individualizadas.
7.2 La Zona de Servicio Mínima corresponde a las áreas de emplazamiento (sitios) y la ubicación de los PIX, Puntos de Derivación y POIIT Terrestres. Por su parte la superficie de los PIX y los POIIT Terrestres de cada Trazado Regional de Infraestructura Óptica de la Macrozona Centro corresponde a la siguiente:
7.2.1 Zona de Servicio Mínima del PIX y POIIT Terrestres del Trazado Regional de Infraestructura Óptica O'Higgins.


7.2.2 Zona de Servicio Mínima del PIX y POIIT Terrestres del Trazado Regional de Infraestructura Óptica Maule.

8. Oferta de servicios de infraestructura de la Macrozona Centro.
8.1 Corresponde a la oferta de facilidades a la cual se obliga la concesionaria, en la que se especifican las condiciones técnicas y comerciales bajo las cuales ésta debe prestar el Servicio de Infraestructura objeto del Concurso indicado en el literal h) de los Vistos, a fin de que sus Clientes se puedan interconectar a nivel de infraestructura, mediante un acceso abierto y no discriminatorio, en cada uno de los PIX, Puntos de Derivación y los POIIT Terrestres comprometidos para la Macrozona Centro, conforme a las exigencias establecidas en la normativa vigente y en las Bases de Concurso.
8.2 En cada uno de los PIX, Puntos de Derivación y POIIT Terrestres comprometidos para la Macrozona Centro, se deberá hacer efectiva la Oferta de Servicios de Infraestructura, siendo sus respectivas prestaciones y tarifas máximas las siguientes:

8.3 La concesionaria debe prestar el Servicio de Infraestructura, al alero de la Oferta de Servicios de Infraestructura en la Macrozona Centro, considerando que un Cliente podrá disponer de hasta dos (2) Canales Ópticos Terrestres, que le permitan acceder por cada uno de ellos, a los PIX, POIIT Terrestres y Puntos de Derivación comprometidos en cada uno de los Trazados Regionales de Infraestructura Óptica de la Macrozona Centro. Por otra parte, la concesionaria debe mantener una Disponibilidad Anual del Servicio de Infraestructura de un 98% del tiempo medido en un año, como mínimo.
9. Servicio Preferente de la Macrozona Centro.
9.1 El Servicio Preferente corresponde a la obligación que la concesionaria deberá cumplir, durante todo el Periodo de Obligatoriedad de las Exigencias de las Bases, y que consiste en aplicar un porcentaje de descuento, sobre las tarifas máximas comprometidas para todas las prestaciones de la Oferta de Servicios de Infraestructura, en favor de futuros asignatarios del Fondo de Desarrollo de las Telecomunicaciones. El porcentaje de descuento sobre las tarifas máximas comprometidas para el cumplimiento de esta obligación es de 90% para quien haga uso preferente de ellas. Por su parte, las prestaciones asociadas al cumplimiento de esta obligación deberán prestarse en las mismas condiciones técnicas y comerciales que aquellas que se ofrecen a los Clientes de la Oferta de Servicios de Infraestructura, a excepción de las tarifas máximas afectas a descuento para las prestaciones materia de las mismas. Esta obligación se entenderá cumplida por la concesionaria, en los Trazados Regionales de Infraestructura Óptica que compone la Macrozona Centro, cuando se haga efectiva la entrega de un Canal Óptico Terrestre por cada uno de los Trazados Regionales de Infraestructura Óptica que componen la respectiva Macrozona a un futuro asignatario del FDT, aplicando el descuento previamente señalado, así como las restantes prestaciones de la Oferta de Servicios de Infraestructura requeridas por éste.
9.2 Dado lo anterior, las prestaciones y tarifas máximas de la Oferta de Servicios de Infraestructura para el cumplimiento de la obligación de Servicio Preferente, corresponden a las siguientes:

10. El Centro de Control y Monitoreo de la Infraestructura Óptica (NOC) de la Macrozona Centro corresponde al NOC de Wom S.A., ubicado en la ciudad de Santiago, Región Metropolitana de Santiago. En dicha locación se instalará y operará el equipamiento necesario para llevar a cabo el control, monitoreo y supervisión centralizados de todos los componentes y elementos que conforman a la Macrozona Centro. Se usará el COEOIT junto con los medios propios o de terceros debidamente autorizados que se requieren para el transporte de la información de monitoreo entre los PIX y los POIIT Terrestres de la Macrozona Centro, y el referido Centro de Control y Monitoreo de la Infraestructura Óptica. Asimismo, la concesionaria debe posibilitar el acceso remoto al sistema de monitoreo y supervisión de Macrozona Centro desde las oficinas de atención a Clientes que serán instaladas en la comunas de Rancagua y Talca, las cuales deberán contar con los elementos necesarios para efectuar pruebas y acceder a dicho sistema.

11. Las tarifas máximas de las prestaciones de la Oferta de Servicios de Infraestructura de la Macrozona Centro indicadas en las tablas precedentes, deberán ser ajustadas mediante el Procedimiento de Actualización y de Revisión de las Tarifas Máximas del Servicio de Infraestructura previsto en el Artículo 41º en relación con el Anexo Nº 9, ambos de las Bases Específicas del Concurso indicado en el literal h) de los Vistos.
12. El Periodo de Obligatoriedad de las Exigencias de las Bases corresponde a veinte (20) años, el cual se computa desde la publicación en el Diario Oficial del presente decreto, más el tiempo que medie entre dicha fecha de publicación y la del oficio de recepción conforme de las obras e instalaciones. Durante este periodo, la concesionaria deberá cumplir con las exigencias de las Bases de Concurso y con lo comprometido en la Propuesta, todos indicados en los literales g), h), j), k) y l) de los Vistos, respectivamente, y con los términos de la adjudicación.
13. Los plazos de inicio y término de obras e inicio de servicio son los que se indican a continuación:

La concesionaria deberá ingresar a la Subsecretaría de Telecomunicaciones la solicitud de recepción de las obras e instalaciones, objeto de la presente concesión, con a lo menos treinta (30) días hábiles previos al vencimiento del plazo máximo de inicio de los servicios, de conformidad a lo previsto en el Artículo 24 A de la ley Nº 18.168.
14. El monto de subsidio asignado para el Proyecto Concursable, adjudicado a la concesionaria es el siguiente:

15. Apruébese el Proyecto Comprometido, base de la solicitud presentada por la concesionaria, conforme a las disposiciones técnico-legales que rigen el servicio de telecomunicaciones concedido. La documentación respectiva quedará archivada en la Subsecretaría.
16. El período de vigencia de la presente concesión será de 30 años, contados desde la publicación del presente decreto en el Diario Oficial.
17. Es obligación de la concesionaria el conocimiento y cumplimiento de las disposiciones legales, reglamentarias y técnicas que regulan el servicio de telecomunicaciones concesionado, en lo que le sea aplicable. Asimismo, lo establecido en las Bases de Concurso y lo comprometido en la Propuesta adjudicada a la concesionaria, todos indicados en los literales g), h), j), k) y l) de los Vistos, respectivamente, y la solicitud de concesión referenciada en el literal a) de los Considerandos.
18. La concesionaria podrá solicitar la modificación de su concesión, con estricta sujeción a lo dispuesto en las Bases del Concurso, en lo particular a los Artículos 16º, 31º y 32º de las Bases Específicas, siempre y cuando no se menoscabe el cumplimiento de los requisitos establecidos en las mismas y el Proyecto Comprometido, asegurando la correcta y adecuada instalación, operación y explotación de los elementos comprometidos en la Macrozona Centro.
Anótese, comuníquese, notifíquese a la interesada y publíquese en el Diario Oficial.- Por orden del Presidente de la República, Gloria Hutt Hesse, Ministra de Transportes y Telecomunicaciones.
Lo que transcribo para su conocimiento.- Saluda atentamente a Ud., Enoc Araya Castillo, Jefe División Concesiones.