MODIFICA RESOLUCIÓN Nº 2.398 EXENTA, DE FECHA 30.09.2019, QUE DISPONE ASIGNACIÓN DE RECURSOS PARA LA REGIÓN METROPOLITANA Y APRUEBA NÓMINA DE POSTULANTES SELECCIONADOS CORRESPONDIENTES AL 1º LLAMADO EN CONDICIONES ESPECIALES 2019, REGIÓN METROPOLITANA, QUE SE DESTINARÁN AL FINANCIAMIENTO DE SUBSIDIOS PARA EL DESARROLLO DE PROYECTOS DEL PROGRAMA DE PROTECCIÓN DEL PATRIMONIO FAMILIAR EN SU MODALIDAD REGULADA POR EL CAPÍTULO SEGUNDO DE LA ATENCIÓN A CONDOMINIOS DE VIVIENDA SOCIAL
Núm. 1.196 exenta.- Santiago, 25 de septiembre de 2020.
Vistos:
1. La ley Nº 19.880 sobre Bases de los Procedimientos Administrativos que rigen los actos de la Administración del Estado;
2. El decreto supremo Nº 255 (V. y U.), de 2006, que regula el Programa de Protección del Patrimonio Familiar;
3. La resolución Nº 533 (V. y U.), de 1997, que Fija Procedimiento para Prestación de Servicios de Asistencia Técnica a Programas de Viviendas que indica y deroga a resolución Nº 241 (V. y U.) de 1996;
4. La resolución Nº 152 del Ministerio de Hacienda y Ministerio de Vivienda y Urbanismo de fecha 10 de enero de 2019, que autoriza a efectuar llamados a postulación y/o comprometer recursos en el otorgamiento de subsidios habitacionales durante el año 2019 en Sistemas y Programas que indica;
5. La resolución exenta Nº 41, del Ministerio de Hacienda y Ministerio de Vivienda y Urbanismo, de fecha 9 de enero de 2020, que autoriza a efectuar llamados a postulación y/o comprometer recursos en el otorgamiento de Subsidios Habitacionales durante el año 2020 en Sistemas y Programas Habitacionales que indica;
6. La circular Nº 1, de la Subsecretaría de Vivienda y Urbanismo, de 22 de enero de 2019, que fija programa habitacional correspondiente al año 2019 y sus modificaciones;
7. La circular Nº 3, de fecha 28 de enero de 2020, de la Subsecretaría de Vivienda y Urbanismo, que establece el Programa Habitacional correspondiente al año 2020;
8. El oficio Nº 241 de fecha 02.04.2020, de la División de Política Habitacional que informa los recursos disponibles y su distribución. DS 255/2016 y DS 27/2016, para la atención de condominios de vivienda de la Región Metropolitana;
9. La resolución exenta Nº 1.115, de fecha 15 de mayo de 2019, del Ministerio de Vivienda y Urbanismo y sus modificaciones, que llama a postulación para el desarrollo de proyectos, calificados en primer proceso de selección 2019, del Programa de Protección del Patrimonio Familiar en su modalidad regulada por el Capítulo II, de la atención a Condominios de Viviendas Sociales para las regiones que allí se indican;
10. La resolución exenta Nº 1.418, de fecha 30 de mayo de 2019, de la Seremi Minvu Región Metropolitana que establece las variables regionales de prelación para la Comisión Evaluadora del llamado en condiciones especiales 2019 y aprueba documento de "Focalización Intervención Regional CCSS, Llamado de CCSS 2019";
11. La resolución exenta Nº 2.392, de fecha 27 de septiembre de 2019, de la Seremi Minvu Región Metropolitana que establece prelación de proyectos aprobados correspondientes al primer proceso de selección establecido en el resuelvo 9, de la resolución exenta Nº 1.115 (V. y U.), de fecha 15 de mayo de 2019, que fue modificado en su resuelvo b), por la resolución exenta Nº1.792 (V. y U.), de 2019, del Llamado Extraordinario de Condominios Sociales 2019;
12. La resolución exenta Nº 2.398 de fecha 30 de septiembre de 2019 y sus modificaciones, de la Seremi Minvu Región Metropolitana, que aprueba nómina de postulantes seleccionados correspondiente al 1º llamado en condiciones especiales 2019 y dispone asignación de recursos para la Región Metropolitana, que se destinarán al financiamiento de subsidios para el desarrollo de proyectos del Programa de Protección al Patrimonio Familiar en su modalidad regulada por Capítulo II de la atención a Condominios de Viviendas Social;
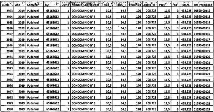
13. El oficio Nº 3.223 de fecha 01.07.2020, del Subdirector de Vivienda y Equipamiento (S) de Serviu Metropolitano, que solicita rectificación de montos para Título I y II del proyecto "Condominio 3, Villa Neruda", de la comuna de Pudahuel y montos pare Título II del proyecto "Concilio Vaticano II, Lote Nº 5", de la comuna de San Ramón;
14. El oficio Nº 1708 de fecha 29.05.2020 y su actualización mediante el oficio Nº 2285 de fecha 31.07.2020, de esta Secretaría Ministerial, en que solicita aumento de recursos del DS 255/2006, línea de atención a Condominios;
15. El correo electrónico de fecha 22.07.2020, del Encargado de Jefe Depto. de Atención Déficit Cualitativo de la División Política Habitacional del Ministerio de Vivienda y Urbanismo, que aprueba solicitud de aumento de recursos del DS 255/2016, línea de atención de Mejoramiento de Condominios;
16. Memorándum Nº 97 de fecha 04.12.2019 de la Unidad de Asesoría Jurídica de Seremi (V. y U.), que remite pronunciamiento jurídico respecto de apelación a resolución de prelación;
17. La resolución exenta Nº 2.839 de fecha 9 de diciembre de 2019 que modifica la resolución exenta Nº 2.398, en el marco de las apelaciones de la resolución exenta de prelación Nº 2.392, todas de esta Secretaría Ministerial, en que se incorpora a asignación de subsidios, el proyecto correspondiente a la Copropiedad 2 B, del conjunto San Miguel Sector 2, de la comuna de Puente Alto;
18. La resolución exenta Nº 2.958 de fecha 27 de diciembre de 2019 que modifica la resolución exenta Nº 2.398, ambas de esta Secretaría Ministerial, en el sentido de incorporar el subsidio de eficiencia energética del proyecto correspondiente a la Copropiedad Lote Nº4 - Blocks 1 y 2, de la Villa Los Jardines, Sector C1, de la comuna de Ñuñoa:
19. La facultad que me confiere el inciso segundo del artículo 15, de la Ley Nº 20.898, para otorgar subsidios a comunidades de copropietarios constituidas de acuerdo a la Ley Nº 19.537, sobre Copropiedad Inmobiliaria;
20. Las facultades que me otorga el DS Nº 397 (V. y U.), de 1977, que Fija el Reglamento Orgánico de las Secretarías Ministeriales de Vivienda y Urbanismo;
21. El DS Nº 104 de 18 de marzo de 2020, modificado en lo pertinente por el DS Nº 269, de fecha 16 de junio de 2020, ambos del Ministerio del Interior y Seguridad Pública; que Declara Estado de Excepción Constitucional de Catástrofe, por calamidad pública, en el territorio de Chile;
22. La resolución exenta Nº 581, de fecha 26 de marzo de 2020, de esta Secretaría Ministerial, que Establece Tramitación Electrónica para este Servicio atendida la situación de emergencia sanitaria;
23. La resolución TRA número 272/3459/2017 que nombra al infrascrito como jefe del departamento de Desarrollo Urbano e Infraestructura, y el decreto exento RA número 272/29/2020 que establece el orden de subrogación en esta Seremi;
24. Lo dispuesto en la resolución Nº 7 de 2019, de la Contraloría General de la República.
Considerando:
1. Que por resolución exenta Nº 2.398 de fecha 30 de septiembre de 2019 de esta Secretaría Ministerial, se dispone la asignación de recursos y aprueba nómina de postulantes seleccionados correspondiente al proceso de selección del llamado extraordinario 2019, que se destinarán al financiamiento de subsidios para el desarrollo de proyectos del Programa de Protección al Patrimonio Familiar en su modalidad regulada por Capítulo II de la atención a Condominios de Viviendas Sociales;
2. Que, mediante el oficio Nº 3223 de fecha 01.07.2020, singularizado en el visto 13, el Subdirector de Vivienda y Equipamiento (S) de Serviu Metropolitano solicita rectificación de montos para Título I y II del proyecto "Condominio 3, Villa Neruda", de la comuna de Pudahuel y montos para Título II del proyecto "Concilio Vaticano II, Lote Nº 5", de la comuna de San Ramón;
3. Que, se ha estimado justificada la petición y por tanto necesario modificar la Res. Ex. Nº 2.398 en los términos solicitados;
4. Que, los recursos disponibles de la Región, para el año 2020, están consignados en los Vistos 6, 7 y 14, precedentes, dicto la siguiente:
Resolución:
1. Modificase el resuelvo Nº 2 de la resolución exenta Nº 2.398 de fecha 30.09.2019 citada precedentemente, para el desarrollo de proyectos en Condominios de Viviendas Sociales insertos en conjuntos del programa de Recuperación de Barrios período 2014-2019, calificados en el primer proceso de selección del año 2019, en la forma que se indica a continuación:
Postulación Comunidad de Copropietarios
Donde dice:

Debe decir:

2. Modifícase el resuelvo Nº 4 de la resolución exenta Nº 2.398 de fecha 30.09.2019, para el desarrollo de proyectos en Condominios de Viviendas Sociales de Interés Regional correspondientes a proyectos de Ampliación, calificados en el primer proceso de selección del año 2019, en la forma que se indica a continuación:
Postulación Comunidad de Copropietarios
Donde dice:

Debe decir:

3. Modifícase en lo pertinente, las nóminas de postulantes establecidas en el resuelvo 5, de la resolución exenta Nº 2.398 de fecha 30.09.2020, cuyas nóminas se adjuntan y se entenderán forman parte de la presente resolución exenta.
4. Impútese el monto total de 567,00 Unidades de Fomento asignados en esta resolución exenta, a los recursos autorizados a la Región Metropolitana, para el Programa de Protección del Patrimonio Familiar, DS 255/2006, año 2020, para Condominios de Vivienda Social.
5. Establécese que la resolución exenta Nº 2.398 de fecha 30.09.2020, de esta Secretaría Regional Ministerial, se mantendrá vigente en todo lo que no ha sido modificado por la presente resolución.
6. Publíquese un extracto de la presente resolución en el Diario Oficial por parte de la Seremi Metropolitana V. y U.
Anótese, notifíquese y cúmplase.- Fabián Küskinen Sanhueza, Secretario Ministerial Metropolitano de Vivienda y Urbanismo subrogante.
Nómina adjunta:
