DEJA SIN EFECTO LAS RESOLUCIONES EXENTAS Nos 5 563 DE FECHA 04.11.2020 Y 573 DE FECHA 09.11.2020 Y SELECCIONA PROYECTOS INDIVIDUALES Y COLECTIVOS DEL LLAMADO REGIONAL ANTOFAGASTA 2020 EFECTUADO MEDIANTE R.E. N° 474 DE FECHA 16.09.2020 DE ESTA SEREMI SEGÚN PROGRAMA HABITACIONAL DS 255 (V. Y U.) DE 2006

    Núm. 605 exenta.- Antofagasta, 18 de noviembre de 2020.

    Visto:

    1.- Lo dispuesto en la Ley N° 18.575 sobre Bases Generales de la Administración del Estado;
    2.- La Ley 16.391, que crea el Ministerio de Vivienda y Urbanismo.
    3.- El D.L. N° 1.305, de 1975, que Reestructura y regionaliza el Ministerio de Vivienda y Urbanismo.
    4.- El D.S. N° 255 (V. y U.), de 2006, Reglamenta Programa de Protección al Patrimonio Familiar.
    5.- La circular N°3, de fecha 28 de enero de 2020, de la Subsecretaría de Vivienda y Urbanismo que indica los recursos asignados a la Región de Antofagasta.
    6.- La circular N°15, de fecha 29 de julio de 2020 que modifica metas programa habitacional 2020.
    7.- La resolución exenta N° 41 (V. y U.), de fecha 9 de enero de 2020, que autoriza efectuar llamados a postulación y/o comprometer recursos durante el año 2020, en el otorgamiento de subsidios habitacionales entre otros, a la atención a través del Programa de Protección del Patrimonio Familiar, regulado por el D.S. N°255 (V. y U.), de 2006.
    8.- La resolución exenta N°964 (V. y U.), de 2019, por la cual se llama a postulación nacional en condiciones especiales año 2019, para el desarrollo de proyectos PPPF, en sus clases reguladas por los títulos I, II y III, especialmente para proyectos que consideren mejoramiento de viviendas de personas con discapacidad, cambio de techumbre con asbesto, acondicionamiento térmico, obras de innovación de eficiencia energética, ampliaciones para adultos mayores, entre otros, y fija la distribución de recursos.
    9.- Las facultades que me confiere el decreto N° 397 (V. y U.), de 1976, Reglamento Orgánico de las Secretarías Ministeriales. 10.- El decreto (V. y U.) N°38 de fecha 18 de abril de 2018, mediante el cual se nombra al infrascrito como Secretario Regional Ministerial de Vivienda y Urbanismo de la Región de Antofagasta.

    Considerando:

    1.- La resolución exenta N° 474 de fecha 16 de septiembre de 2020 que llama a postulación regional y de manera extraordinaria, en condiciones especiales para el otorgamiento de subsidios habitacionales del Programa de Protección del Patrimonio Familiar, Títulos II y III, mejoramiento y ampliación de la vivienda, que cumplan con los requisitos que se establecen en la presente resolución, y en la resolución exenta N°964 (V. y U.), de 2019, referida en los vistos.
    2.- El oficio Ord. N° 2490 de fecha 22 de octubre de 2020 emitido por SERVIU Antofagasta donde se solicita a esta SEREMI seleccionar de acuerdo a informe adjunto los proyectos que por criterio se presentan según lo establecido en los resuelvo 2 y 4 de la resolución exenta N° 474 de fecha 16 de septiembre de 2020.
    3.- El correo electrónico de fecha 28 de octubre de 2020 donde el Depto. de Planes y Programas de V. y E., de esta SEREMI señala que revisados los antecedentes adjuntos y el Acta de la Comisión evaluadora de proyectos, se aprueban los 631 subsidios solicitados.
    4.- La resolución exenta N° 563 de fecha 4 de noviembre que selecciona proyectos individuales y colectivos del Llamado Regional Antofagasta 2020 efectuado mediante resolución exenta N° 474 de fecha 16.09.2020 de esta SEREMI MINVU según Programa Habitacional DS 255 (V. y U.) de 2006.
    5.- La resolución exenta N° 573 de 9 noviembre de 2020 que selecciona proyectos individuales y colectivos del Llamado Regional de Antofagasta 2020, que se complementó a solicitud de Jefe del Depto. de OOHH de SERVIU Antofagasta, mediante correo electrónico de fecha 06.11.2020, pues en conjunto con la DPH se asignaron los valores totales del beneficio para mayor exactitud del acto administrativo individualizado en el considerando número 4.
    6.- El correo electrónico de fecha 13.11.2020. donde el Jefe de OOHH SERVIU Antofagasta solicita rectificar y eliminar algunos RUT de la resolución de asignación del Llamado Especial Antofagasta 2020, ya que las personas no cumplieron con contar con el ahorro a la fecha establecida con el llamado.
    7.- Que debido a que el acto administrativo debe publicarse y habiendo 2 actos administrativos que han debido modificarse es necesario dejar de sin efecto las resoluciones exentas individualizada en el considerando números 4 y 5 del presente acto y dictar la presente resolución con todas las precisiones de la DPH incluidas.

    Resuelvo:


    I.- Déjese sin efecto, las resoluciones exentas números 563 de fecha 4 de noviembre de 2020 y 573 de fecha 9 de noviembre de 2020. Debido a la eliminación de 9 familias que no cumplieron con los requisitos de ahorro, que son las siguientes:

.

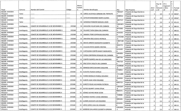
    II.- Selecciónese los proyectos individuales y colectivos del Llamado Regional Antofagasta 2020 efectuado mediante R.E. N° 474 de fecha 16.09.2020 de esta SEREMI según programa habitacional DS 255 (V. y U.) de 2006 y que se mencionan a continuación:

.
.
.
.
.
.
.
.
.
.
.
.
.
.
.
.
.
.
.
.
.
.
.
.
.
.
.
.
.

    III.- Asígnese en este llamado especial regional de Antofagasta año 2020 conforme lo señala el siguiente cuadro:

.

    IV.- El monto total de los subsidios conforme a la selección efectuada conforme corresponde a un total de 39.033,21 UF el que debe imputarse a los recursos del año 2020 del Programa Habitacional Protección al Patrimonio Familiar de DS 255 (V. y U.) 2006.

    Anótese, publíquese en el Diario Oficial y archívese.- Julio Santander Fuentes, Secretario Regional Ministerial MINVU Región de Antofagasta.