SELECCIONA A LAS COMUNIDADES QUE INDICA EN LLAMADO A POSTULACIÓN PARA EL DESARROLLO DE PROYECTOS DE MEJORAMIENTO DE VIVIENDAS Y BARRIOS, CAPÍTULO TERCERO, PROYECTOS PARA CONDOMINIOS DE VIVIENDAS, DISPUESTO MEDIANTE LA RESOLUCIÓN Nº 439 EXENTA DE ESTA SEREMI MINVU, DE FECHA 3 DE JUNIO DE 2020, Y DISPONE ASIGNACIÓN DE RECURSOS PARA LA REGIÓN DEL LIBERTADOR GENERAL BERNARDO O'HIGGINS, QUE SE DESTINARÁN AL FINANCIAMIENTO DE LOS PROYECTOS SELECCIONADOS
Núm. 1.064 exenta.- Rancagua, 10 de diciembre de 2020.
Visto:
a) Lo dispuesto en la ley Nº 18.575, Ley Orgánica Constitucional de Bases Generales de la Administración del Estado, del Ministerio del Interior, publicada en el Diario Oficial de fecha 5 de diciembre de 1986, en su artículo 2º y artículo 41º, en su inciso final.
b) Lo dispuesto en la resolución Nº 7 de 2019, de la Contraloría General de la República.
c) Las facultades que me confiere el decreto supremo Nº 397, del Ministerio de Vivienda y Urbanismo, del año 1976, publicado en el Diario Oficial el 8 de febrero de 1977, que establece el Reglamento Orgánico de las Secretarías Ministeriales de Vivienda y Urbanismo, incluidas todas sus modificaciones.
d) La ley 19.880 sobre bases de los procedimientos administrativos que rigen los actos de los órganos de la Administración del Estado.
e) La ley Nº 16.391, del Ministerio de Obras Públicas, publicada en el Diario Oficial de 16 de diciembre de 1965, que crea el Ministerio de Vivienda y Urbanismo.
f) El decreto ley Nº 1.305, del Ministerio de Vivienda y Urbanismo, de 1976, que reestructura y regionaliza el Ministerio de Vivienda y Urbanismo.
g) El decreto supremo Nº 34, del Ministerio de Vivienda y Urbanismo, de fecha 18 de abril 2018, que nombra al Sr. Seremi a contar del 22 de marzo de 2018, cuyo trámite de toma de razón data de fecha 24 de octubre 2018.
h) El DS Nº 27 (V. y U.), de 2016, que regula el Programa de Mejoramiento de Viviendas y Barrios, y sus modificaciones.
i) La circular Nº 003, de la Subsecretaría de Vivienda y Urbanismo, de 28 de enero de 2020, Programa Habitacional correspondiente al año 2020.
j) Resolución exenta Nº 1.237, de 24 de mayo de 2019, que fija procedimientos para prestación de servicios de asistencia técnica y fiscalización técnica de obras a Programa de Mejoramiento de Viviendas y Barrios, aprobado por el DS Nº 27 (V. y U.), de 2016.
k) La resolución exenta Nº 439, de fecha 3 de junio de 2020, de esta Seremi Minvu, que es el llamado a postulación en condiciones especiales 2020 para el desarrollo de proyectos del Programa de Mejoramiento de Viviendas y Barrios, Capítulo Tercero, para la atención de proyectos de condominios de viviendas de la Región de O'Higgins, y sus modificaciones.
l) La resolución exenta Nº 863, de fecha 21 de octubre de 2020, de esta Seremi Minvu, que indica los resultados del proceso de prelación de proyectos de condominios de vivienda, por el Programa de Mejoramiento de Viviendas y Barrios, llamado regional año 2020.
m) La resolución exenta Nº 1.057, de fecha 10 de diciembre de 2020, de esta Seremi Minvu, que modifica la resolución exenta Nº 439, de fecha 3 de junio de 2020, en el sentido que indica.
n) Correo de fecha 19 de noviembre de 2020, enviado por Natalia Henríquez, en el cual envía las actas del proceso de calificación de proyectos de condominios de vivienda.
o) Actas Comisión Técnica Evaluadora del Programa de Condominios de Vivienda Social, todas de fecha 20 de noviembre de 2020, que indica el desglose de los montos de las partidas descritas en la presente resolución.
Considerando:
a. Que, el decreto supremo Nº 34, individualizado en el Visto g), designó al suscrito en calidad de Secretario Regional Ministerial de Vivienda y Urbanismo de la Región del Libertador General Bernardo O'Higgins, tomado de razón con fecha 24 de octubre 2018;
b. Que, por resolución exenta citada en el visto k) se llamó a postulación para el desarrollo de proyectos del Programa de Mejoramiento de Viviendas y Barrios en su modalidad regulada por el capítulo tercero;
c. Que Serviu Región del Libertador General Bernardo O'Higgins calificó favorablemente todas las factibilidades de 17 proyectos ingresados para la postulación correspondiente al llamado citado en el visto k);
d. Que mediante la resolución exenta Nº 863, de fecha 21 de octubre de 2020, citada en el visto l) se estableció el orden de prelación de los proyectos postulantes, de acuerdo a lo señalado en la resolución exenta Nº 439 del Seremi Región del Libertador General Bernardo O'Higgins, citada en el visto k) y al DS Nº 27 (V. y U.), de 2016;
e. Que, de acuerdo a lo anterior, cabe seleccionar y asignar recursos a los proyectos que se individualizan en lo resolutivo de la presente;
f. Que, los recursos disponibles consignados en la resolución exenta Nº 1.057 de esta Seremi Minvu, de fecha 10 de diciembre de 2020, citada en el visto m) dicto la siguiente:
Resolución:
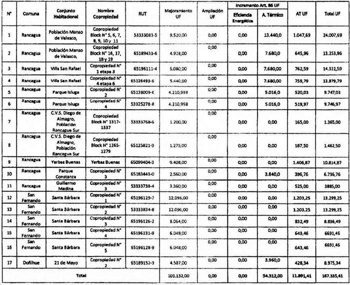
1. Asígnense los recursos disponibles para la selección de los postulantes correspondientes al llamado regional 2020, para el desarrollo de proyectos en Condominios de Viviendas, que se destinarán al financiamiento de los subsidios y al pago de los servicios de asistencia técnica, según la distribución que se señala a continuación:
Postulación Comunidad de Copropietarios

2. Fíjase el número de postulantes seleccionados en la Región del Libertador General Bernardo O'Higgins de acuerdo a la distribución regional de recursos consignada en el resuelvo número m), de la resolución exenta Nº 1.057, de fecha 10 de diciembre de 2020, de esta Seremi Minvu, para los proyectos que se financiarán conforme lo dispone el resuelvo Nº 11, de la resolución exenta Nº 439, de fecha 3 de junio de 2020, de esta Seremi Minvu, según se indica en las siguientes tablas:

3. Apruébense los montos y nóminas de beneficiarios de subsidios correspondientes al llamado a postulación establecido mediante la resolución exenta Nº 439, de fecha 3 de junio de 2020, de esta Seremi Minvu, citada en el visto k), adjuntas como anexo de la presente resolución.
4. Impútese el monto total de 167.335,41 Unidades de Fomento asignados en esta resolución, de las cuales 155.444,00 Unidades de Fomento corresponden a subsidio directo, y 11.891,41 Unidades de Fomento corresponden a Asistencia Técnica, a los recursos autorizados a la Región del Libertador General Bernardo O'Higgins, para el Programa de Mejoramiento de Viviendas y Barrios del año 2020, para Condominios Viviendas.
5. Publíquese un extracto de la presente resolución en el Diario Oficial, por parte de la Seremi Regional y, de acuerdo a lo establecido en el DS Nº 27 (V. y U.), de 2016, Serviu deberá publicar en al menos un periódico de circulación regional, un aviso que indique el lugar y fecha en que serán publicadas las nóminas de postulantes y proyectos beneficiados, de acuerdo al resuelvo Nº 3 de la presente resolución.
Anótese, notifíquese y publíquese.- Francisco Ravanal González, Secretario Regional Ministerial de Vivienda y Urbanismo Región de Libertador Bernardo O'Higgins.
.
.
.
.
.