EXTRACTO DE RESOLUCIÓN Nº 816 EXENTA DEL 11 DE DICIEMBRE DE 2020
A través de la resolución exenta Nº 816, del 11 de diciembre 2020, de esta Seremi, se modificó resolución exenta Nº 553, del 24.08.2020 y se seleccionó a las comunidades de copropietarios, en el marco del Llamado dispuesto mediante resolución exenta Nº 814 (V. y U.), 2020 y sus modificaciones.
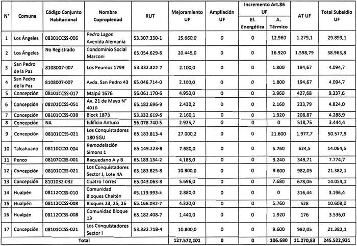
Nómina de proyectos seleccionados:

Serviu Región del Biobío, mediante un aviso en un periódico de circulación regional, pondrá en conocimiento de los postulantes el lugar y la fecha en que serán publicadas las nóminas de los seleccionados y los respectivos proyectos, conforme al artículo 29 del DS Nº 27 (V. y U.), de 2016.-
Sebastián Abudoj Rivas, Secretario Regional Ministerial de Vivienda y Urbanismo Región del Biobío.