APRUEBA NÓMINA DE POSTULANTES SELECCIONADOS CORRESPONDIENTES AL LLAMADO REGIONAL EN CONDICIONES ESPECIALES AÑO 2020 Y DISPONE ASIGNACIÓN DE RECURSOS PARA LA REGIÓN DEL LIBERTADOR GENERAL BERNARDO O'HIGGINS, QUE SE DESTINARÁN AL FINANCIAMIENTO DE SUBSIDIOS PARA EL DESARROLLO DE PROYECTOS DEL PROGRAMA DE PROTECCIÓN DEL PATRIMONIO FAMILIAR EN SU MODALIDAD REGULADA POR EL CAPÍTULO SEGUNDO DE LA ATENCIÓN A CONDOMINIOS DE VIVIENDA SOCIAL
Núm. 10 exenta.- Rancagua, 15 de enero de 2021.
Visto:
a) Lo dispuesto por la Constitución Política de la República de Chile, artículos 6° y 7°;
b) Lo dispuesto en la ley N° 18.575, Ley Orgánica Constitucional de Bases Generales de la Administración del Estado, del Ministerio del Interior, publicada en el Diario Oficial de fecha 5 de diciembre de 1986, en su artículo 2°;
c) Ley 18.834, sobre Estatuto Administrativo, cuyo texto fuera fijado por el DFL N° 29, del año 2004 (Ministerio de Hacienda);
d) La Ley 19.880 Sobre Bases de los procedimientos administrativos que rigen los Actos de los Órganos de la Administración del Estado;
e) La Ley N° 16.391, del Ministerio de Obras Públicas, publicada en el Diario Oficial de 16 de diciembre de 1965, que crea el Ministerio de Vivienda y Urbanismo;
f) El decreto ley N° 1.305, del Ministerio de Vivienda y Urbanismo, de 1976, que reestructura y regionaliza el Ministerio de Vivienda y Urbanismo;
g) Decreto supremo N°397, del Ministerio de Vivienda y Urbanismo, del año 1976, publicado en el Diario Oficial el 8 de febrero de 1977, que establece el Reglamento Orgánico de las Secretarías Ministeriales de Vivienda y Urbanismo, incluidas todas sus modificaciones;
h) La resolución N° 7, de 2019, de la Contraloría General de la República, que establece normas de exención de Trámite de Toma de Razón;
i) Resolución N°8, de 2019, de la Contraloría General de la República, que determina los montos en unidades tributarias mensuales, a partir de los cuales los actos que se individualizan quedarán sujetos a Toma de Razón y a controles de reemplazo cuando corresponda;
j) Decreto supremo N°34, del Ministerio de Vivienda y Urbanismo, de fecha 18 de abril 2018, que nombra al Sr. Seremi a contar del 22 de marzo de 2018, cuyo trámite de Toma de Razón, data de fecha 24 de octubre 2018;
k) El DS N°255 (V. y U.) de 2006 y sus modificaciones, que regula el Programa de Protección del Patrimonio Familiar;
l) La circular N°3, de la Subsecretaria de Vivienda y Urbanismo, de 28 de enero de 2020, Programa Habitacional correspondiente al año 2020;
m) Resolución exenta N°533, de 1997, que fija procedimientos para prestación de servicios de asistencia técnica a programas de vivienda que indica, y deroga la resolución N°241 (V. y U.) de 1996;
n) El oficio N°261 de fecha 20/11/2020 (V. y U.), que autoriza efectuar llamado a postulación regional, en condiciones especiales, a través del Programa de Protección del Patrimonio Familiar en su modalidad regulada por el capítulo segundo del DS N° 255 (V. y U.) de 2006;
o) La resolución exenta N° 981 de fecha 20 de noviembre de 2020, de esta Seremi Minvu, que hace el llamado regional en condiciones especiales 2020 a postulación para el desarrollo de proyectos del Programa de Protección del Patrimonio Familiar, modalidad regulada por su capitulo segundo del DS N° 255 (V. y U.) de 2006;
p) La resolución exenta N° 1.042, de fecha 2 de diciembre de 2020, que modifica resolución exenta N°981 de esta Seremi Minvu de fecha 20 de noviembre de 2020;
q) Correo de fecha 21 de diciembre de 2020, enviado por Natalia Henríquez, en el cual envía las actas del proceso de calificación de proyectos de condominios de vivienda;
r) Actas Comisión Técnica Evaluadora del Programa de Condominios de Vivienda Social, todas de fecha 17 de diciembre de 2020 que indica el desglose de los montos de las partidas descritas en la presente resolución;
s) Acta de reunión de comisión técnica con motivo de la apelación de puntuación referente a los factores de prelación de condominios sociales, realizada el día miércoles 13 de enero de 2021 con mínimo de dos asistentes de Serviu y Seremi de la región del Libertador General Bernardo O'Higgins.
Considerando:
a. Que, el decreto supremo N°34, individualizado en el Visto j), designó al suscrito en calidad de Secretario Regional Ministerial de Vivienda y Urbanismo de la Región del Libertador General Bernardo O'Higgins, tomado de razón con fecha 24 de octubre 2018;
b. Que, por resolución exenta citada en el Visto o) modificada por resolución individualizada en el Visto p), se llamó a postulación regional para el desarrollo de proyectos del Programa de Protección del Patrimonio Familiar en su modalidad regulada por el capítulo II del DS N° 255 (V. y U.) de 2006;
c. Que el Serviu Región del Libertador General Bernardo O'Higgins calificó favorablemente todas las factibilidades de todos los proyectos ingresados para la postulación correspondiente al llamado, según acta adjuntada en el Visto q).
d. Que, de acuerdo a lo indicado en el acta de reunión, individualizada en el visto s), del día miércoles 13 de enero de 2021 se realizó el orden de prelación de los condominios seleccionados, cabe considerar que hubo 5 proyectos con igual puntaje en el límite de corte, por lo cual se realizó un sorteo ante ministra de fe según acta de reunión individualizada en visto s).
e. Que, de acuerdo a lo anterior, cabe seleccionar y asignar recursos a los proyectos que se individualizan en lo resolutivo de la presente.
f. Que, los recursos disponibles consignados en la resolución exenta N° 981 de esta Seremi Minvu de fecha 20 de noviembre de 2020, citada en el visto o), dicto la siguiente:
Resolución:
1.- Asígnense los siguientes recursos para la selección de los postulantes correspondientes al llamado regional en condiciones especiales año 2020, para el desarrollo de proyectos en Condominios de Viviendas Sociales, que se destinarán al financiamiento de los subsidios y al pago de los servicios de asistencia técnica, según la distribución que se señala a continuación:
Postulación Comunidad de Copropietarios


PResolución 161 EXENTA,
VIVIENDA
N° 3 a)
D.O. 09.03.2021ostulación Copropiedades
VIVIENDA
N° 3 a)
D.O. 09.03.2021ostulación Copropiedades

Postulación Familia

2.- Fíjase el número de postulantes seleccionados en la Región del Libertador General Bernardo O'Higgins de acuerdo a la distribución regional de recursos consignada en el resuelvo N° 16 de la resolución exenta N° 981 de fecha 20 de noviembre de 2020, de la Seremi Región del Libertador General Bernardo O'Higgins, según se indica en las siguientes tablas:

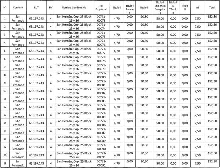
3.- Apruébense las nóminas de postulantes correspondientes a los proyectos seleccionados, de acuerdo a las siguientes tablas:



















4.- Impútese el monto total de 59.436,00 Unidades de Fomento asignados en esta resolución, a los recursos autorizados a la Región del Libertador General Bernardo O'Higgins, para el Programa de Protección del Patrimonio Familiar del llamado regional en condiciones especiales año 2020, para condominios sociales, aprobada mediante resolución exenta N° 981 de fecha 20 de noviembre de 2020, de esta Seremi Minvu.
5.- Que, del total de los recursos imputados en el resuelvo anterior del Programa Protección del Patrimonio Familiar para Condominios Sociales, hay 5 Conjuntos Habitacionales ubicados dentro de polígonos del Programa Quiero Mi Barrio con un monto de 37.476,0 Unidades de Fomento. Los Proyectos Restantes de Condominios Sociales son Selección Regular del Programa.

6.- Publíquese la presente resolución en el Diario Oficial, por parte de la Seremi Regional y, de acuerdo a lo establecido en el Artículo 27 del DS 255, Serviu deberá publicar en al menos un periódico de circulación regional, un aviso que indique el lugar y fecha en que serán publicadas las nóminas de postulantes y proyectos beneficiados, de acuerdo al resuelvo N° 3 de la presente resolución.
Anótese, notifíquese y publíquese.- Francisco Ravanal González, Secretario Regional Ministerial de Vivienda y Urbanismo, Región del Libertador General Bernardo O'Higgins.

