EXTRACTO DE RESOLUCIÓN N° 656 EXENTA, DEL 13 DE OCTUBRE DE 2020
A través de la resolución exenta N° 656, del 13 de octubre de 2020, de esta Seremi, se modificó resolución exenta N°367, del 28.05.2020, y aprobó nómina de postulantes seleccionados y sus respectivos proyectos del proceso de selección, en el marco del Llamado 2020 de Condominios de Vivienda Social dispuesto mediante resolución exenta N° 367, del 28.05.2020.
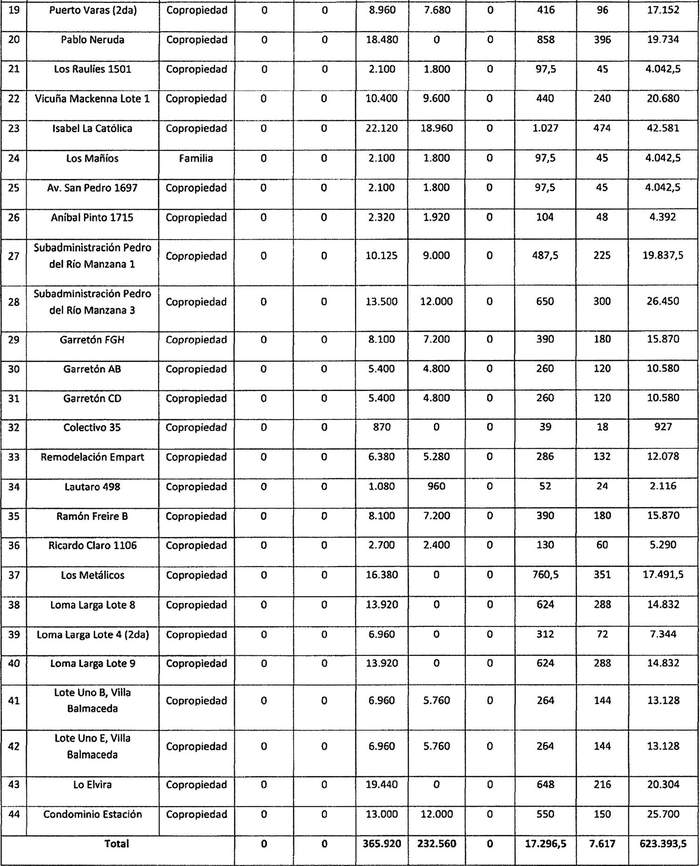
Tabla N° 1 Asignación de Recursos Condominios Sociales Demanda General:


Tabla N° 2 Asignación de Recursos Condominios Sociales Programa de Recuperación de Barrios:


Serviu Región del Biobío, mediante un aviso en al menos un periódico de circulación regional, pondrá en conocimiento de los postulantes el lugar y la fecha en que serán publicadas las nóminas de los proyectos y beneficiarios seleccionados, conforme al Art. 27 del DS N° 255 (V. y U.), de 2006.-
Sebastián Abudoj Rivas, Secretario Regional Ministerial de Vivienda y Urbanismo Región del Biobío.