ADJUDICA CONTRATO DE CONCESIÓN PARA LA EJECUCIÓN, REPARACIÓN, CONSERVACIÓN Y EXPLOTACIÓN DE LA OBRA PÚBLICA FISCAL DENOMINADA "RED AEROPORTUARIA AUSTRAL", A EJECUTAR POR EL SISTEMA DE CONCESIONES
Núm. 8.- Santiago, 22 de enero de 2021.
Vistos:
- El artículo 87 del DFL MOP Nº 850 de 1997, que fija el texto refundido, coordinado y sistematizado de la Ley Nº 15.840 de 1964, Orgánica del Ministerio de Obras Públicas y del DFL Nº 206 de 1960, Ley de Caminos, y sus modificaciones.
- El DS MOP Nº 900 de 1996, que fija el texto refundido, coordinado y sistematizado del DFL MOP Nº 164 de 1991, Ley de Concesiones de Obras Públicas, y sus modificaciones.
- El DS MOP Nº 956 de 1997, Reglamento de la Ley de Concesiones de Obras Públicas, y sus modificaciones.
- La Ley Nº 21.044, que crea la Dirección General de Concesiones de Obras Públicas.
- El DFL MOP Nº 7 de 2018, que fija la planta del personal y fecha de iniciación de actividades de la Dirección General de Concesiones de Obras Públicas.
- El oficio Gab. Pres. Nº921 de 21 de junio de 2019, de Su Excelencia el Presidente de la República, mediante el cual aprueba la ejecución de la obra pública fiscal denominada "Red Aeroportuaria Austral" a través del sistema de concesiones.
- El Convenio de Mandato entre la Dirección General de Aeronáutica Civil y el Ministerio de Obras Públicas, suscrito el 29 de abril de 2019 y aprobado mediante resolución DGAC exenta Nº0090/0386 de 30 de abril de 2019.
- El oficio Of. (O) Nº14/0225/3014 de 2 de mayo de 2019, del señor Director General de Aeronáutica Civil, mediante el cual, en cumplimiento de lo señalado en el Convenio de Mandato antes referido, aprueba Bases de Licitación del Contrato de concesión "Red Aeroportuaria Austral".
- El oficio Ord. Nº 979 de 20 de mayo de 2019, del señor Ministro de Hacienda, mediante el cual aprueba Bases de Licitación y Prospecto de Inversión del proyecto de concesión "Red Aeroportuaria Austral".
- La resolución DGC Nº 32 de 25 de junio de 2019, que aprueba Bases de Licitación de la obra pública fiscal denominada "Red Aeroportuaria Austral", a ejecutar por el sistema de concesiones.
- La publicación del llamado a licitación pública internacional del proyecto de concesión denominado "Red Aeroportuaria Austral", efectuada en el Diario Oficial el 17 de agosto de 2019.
- La publicación del llamado a licitación pública internacional del proyecto de concesión denominado "Red Aeroportuaria Austral", efectuada en medio digital www.cooperativa.cl, sección Avisos Legales, el 17 de agosto de 2019.
- La resolución DGC Nº 55 de 8 de octubre de 2019, que aprueba Circular Aclaratoria Nº 1 a las Bases de Licitación de la obra pública fiscal denominada "Red Aeroportuaria Austral", a ejecutar por el sistema de concesiones.
- La resolución DGC Nº 59 de 8 de noviembre de 2019, que aprueba Circular Aclaratoria Nº 2 a las Bases de Licitación de la obra pública fiscal denominada "Red Aeroportuaria Austral", a ejecutar por el sistema de concesiones.
- La resolución DGC Nº 82 de 26 de diciembre de 2019, que aprueba Circular Aclaratoria Nº 3 a las Bases de Licitación de la obra pública fiscal denominada "Red Aeroportuaria Austral", a ejecutar por el sistema de concesiones.
- La resolución DGC Nº 6 de 20 de marzo de 2020, que aprueba Circular Aclaratoria Nº 4 a las Bases de Licitación de la obra pública fiscal denominada "Red Aeroportuaria Austral", a ejecutar por el sistema de concesiones.
- La resolución DGC Nº 9 de 23 de abril de 2020, que aprueba Circular Aclaratoria Nº 5 a las Bases de Licitación de la obra pública fiscal denominada "Red Aeroportuaria Austral", a ejecutar por el sistema de concesiones.
- La resolución DGC exenta Nº 1.157 de 1 de junio de 2020, que aprueba Circular Aclaratoria Nº 6 a las Bases de Licitación de la obra pública fiscal denominada "Red Aeroportuaria Austral", a ejecutar por el sistema de concesiones.
- La resolución DGC Nº 27 de 24 de julio de 2020, que aprueba Circular Aclaratoria Nº 7 a las Bases de Licitación de la obra pública fiscal denominada "Red Aeroportuaria Austral", a ejecutar por el sistema de concesiones.
- La resolución DGC Nº 39 de 3 de septiembre de 2020, que aprueba Circular Aclaratoria Nº 8 a las Bases de Licitación de la obra pública fiscal denominada "Red Aeroportuaria Austral", a ejecutar por el sistema de concesiones.
- La resolución DGC Nº 43 de 14 de septiembre de 2020, que aprueba Circular Aclaratoria Nº 9 a las Bases de Licitación de la obra pública fiscal denominada "Red Aeroportuaria Austral", a ejecutar por el sistema de concesiones.
- La resolución DGC exenta Nº 2.068 de 27 de octubre de 2020, que aprueba Circular Aclaratoria Nº 10 a las Bases de Licitación de la obra pública fiscal denominada "Red Aeroportuaria Austral", a ejecutar por el sistema de concesiones.
- La resolución DGC exenta Nº 2.176 de 17 de noviembre de 2020, que establece conformación de las Comisiones de Recepción de las Ofertas y Apertura de las Ofertas Técnicas y de Apertura de las Ofertas Económicas de la licitación de la obra pública fiscal denominada "Red Aeroportuaria Austral", a ejecutar por el sistema de concesiones.
- La resolución DGC exenta Nº 2.177 de 17 de noviembre de 2020, que establece conformación de las Comisiones de Evaluación de las Ofertas Técnicas y de Evaluación de las Ofertas Económicas de la licitación de la obra pública fiscal denominada "Red Aeroportuaria Austral", a ejecutar por el sistema de concesiones.
- El Acta de Recepción de Ofertas y Apertura de las Ofertas Técnicas de 20 de noviembre de 2020.
- El oficio Ord. Nº 1278 de 4 de diciembre de 2020, mediante el cual la Sra. Directora General de Concesiones de Obras Públicas (S) solicitó aclaraciones al Grupo Licitante "Consorcio Austral de Aeropuertos", y la respuesta de este ingresada en la Oficina de Partes ubicada en calle Merced Nº753, entrepiso, el 15 de diciembre de 2020.
- El Acta de Evaluación de Ofertas Técnicas de 21 de diciembre de 2020.
- El Acta de Apertura de las Ofertas Económicas de 22 de diciembre de 2020.
- El Acta de Calificación de las Ofertas Económicas de 23 de diciembre de 2020.
- El Informe de la Dirección General de Aeronáutica Civil de 23 de diciembre de 2020 contenido en el Oficio Of. (O) Nº14/1/7564.
- El Acta de Adjudicación suscrita por la Sra. Directora General de Concesiones de Obras Públicas (S) de 29 de diciembre de 2020.
- La resolución Nº 7 de 2019 de la Contraloría General de la República, que fija normas sobre exención del trámite de toma de razón.
- La resolución Nº 16 de 2020 de Contraloría General de la República, que determina los montos en Unidades Tributarias Mensuales, a partir de los cuales los actos que se individualizan quedarán sujetos a toma de razón y establece controles de reemplazo cuando corresponda.
Decreto:
1.- Adjudícase el Contrato de Concesión para la ejecución, reparación, conservación y explotación de la obra pública fiscal denominada "Red Aeroportuaria Austral", conformada por el Aeropuerto Presidente Carlos Ibáñez del Campo ubicado a 19 km al noroeste de la ciudad de Punta Arenas en la Región de Magallanes y de la Antártica Chilena, y el Aeródromo Balmaceda ubicado a 55 km al sureste de la capital regional Coyhaique en la Región de Aysén del General Carlos Ibáñez del Campo, al Grupo Licitante "Consorcio Austral de Aeropuertos", integrado por las empresas Cointer Chile S.A. y Concesionaria de Aeropuertos del Sur SpA.
2.- Declárase que forman parte integrante del presente decreto supremo de Adjudicación de la Concesión de la obra pública fiscal denominada "Red Aeroportuaria Austral", las Bases de Licitación aprobadas por resolución DGC Nº 32 de 25 de junio de 2019; la Circular Aclaratoria Nº 1 aprobada por resolución DGC Nº 55 de 8 de octubre de 2019; la Circular Aclaratoria Nº 2 aprobada por resolución DGC Nº 59 de 8 de noviembre de 2019; la Circular Aclaratoria Nº 3 aprobada por resolución DGC Nº 82 de 26 de diciembre de 2019; la Circular Aclaratoria Nº 4 aprobada por resolución DGC Nº 6 de 20 de marzo de 2020; la Circular Aclaratoria Nº 5 aprobada por resolución DGC Nº 9 de 23 de abril de 2020; la Circular Aclaratoria Nº 6 aprobada por resolución DGC exenta Nº 1.157 de 1 de junio de 2020; la Circular Aclaratoria Nº 7 aprobada por resolución DGC Nº 27 de 24 de julio de 2020; la Circular Aclaratoria Nº 8 aprobada por resolución DGC Nº 39 de 3 de septiembre de 2020; la Circular Aclaratoria Nº 9 aprobada por resolución DGC Nº 43 de 14 de septiembre de 2020; la Circular Aclaratoria Nº 10 aprobada por resolución DGC exenta Nº 2.068 de 27 de octubre de 2020; y las Ofertas Técnica y Económica presentadas por el Grupo Licitante "Consorcio Austral de Aeropuertos", en la forma aprobada por el Ministerio de Obras Públicas.
3.- En caso de discrepancia en la interpretación del Contrato de Concesión, primará lo dispuesto en las Bases de Licitación y en los Anteproyectos Referenciales "Ampliación y Mejoramiento Aeropuerto Presidente Carlos Ibáñez del Campo de Punta Arenas" y "Ampliación y Mejoramiento Aeródromo Balmaceda de Balmaceda" entregados por el Ministerio de Obras Públicas de conformidad a lo dispuesto en el artículo 1.4.4 de las Bases de Licitación, por sobre lo establecido en la Oferta presentada por el Adjudicatario de la Concesión, salvo que esta última contenga aspectos superiores a lo exigido en las Bases de Licitación, lo que será calificado por el Director General de Concesiones de Obras Públicas.
4.- Forman parte del Contrato de Concesión, las disposiciones pertinentes de los siguientes cuerpos legales:
a) El DS MOP Nº 900 de 1996, que fija el texto refundido, coordinado y sistematizado del DFL MOP Nº 164 de 1991, Ley de Concesiones de Obras Públicas, y sus modificaciones.
b) El DS MOP Nº 956 de 1997, Reglamento de la Ley de Concesiones de Obras Públicas, y sus modificaciones.
c) El DFL MOP Nº 850 de 1997, que fija el texto refundido, coordinado y sistematizado de la Ley Nº 15.840 de 1964, Orgánica del Ministerio de Obras Públicas y del DFL Nº 206 de 1960, Ley de Caminos, y sus modificaciones.
d) La Ley Nº 16.752, que "Fija Organización y Funciones y Establece Disposiciones Generales a la Dirección General de Aeronáutica Civil", y sus modificaciones, así como sus normas complementarias.
El Concesionario deberá cumplir con todas las leyes, decretos y reglamentos de la República de Chile vigentes a la fecha del perfeccionamiento del Contrato de Concesión, que se relacionan con él y con todos aquellos que se dicten durante su vigencia, de acuerdo a lo establecido en el artículo 1.7.7.1 de las Bases de Licitación.
En todo caso, ante cualquier discrepancia en la interpretación de los documentos que conforman las Bases de Licitación y la normativa vigente que sea aplicable al Contrato de Concesión, primará lo dispuesto en dicha normativa, según lo establecido en el artículo 1.2.1 de las Bases de Licitación.
5.- Forman parte integrante del Contrato de Concesión los siguientes documentos individualizados en los artículos 1.4.2 y 1.4.4 de las Bases de Licitación:
- Doc. Nº 1: Llamado a Licitación por Concesión.
- Doc. Nº 2: Bases Administrativas.
- Doc. Nº 3: Bases Técnicas.
- Doc. Nº 4: Bases Económicas.
- Doc. Nº 5: Circulares Aclaratorias emitidas por el Director General de Concesiones de Obras Públicas.
- Doc. Nº 6: Manual de Planes de Manejo Ambiental para Obras Concesionadas, elaborado por el Ministerio de Obras Públicas (versión vigente).
- Doc. Nº 7: Manual de Manejo de Áreas Verdes para Proyectos Concesionados, elaborado por el Ministerio de Obras Públicas (versión vigente).
- Doc. Nº 8: Aspectos Mínimos a Considerar en la elaboración del Reglamento de Servicio de la Obra y Manual de Operaciones para la Concesión, elaborado por el Ministerio de Obras Públicas (versión vigente).
- Doc. Nº 9: Términos de Referencia para Desarrollo de Proyectos de Aeropuertos Concesionados mediante Metodología BIM (TDR BIM), elaborado en conjunto por la Dirección de Aeropuertos del Ministerio de Obras Públicas y la Dirección General de Aeronáutica Civil.
- Doc. Nº10: Plan de Mantenimiento Infraestructura Horizontal - Aeropuerto Presidente Carlos Ibáñez del Campo, elaborado por la Dirección de Aeropuertos del Ministerio de Obras Públicas, octubre de 2016.
- Doc. Nº 11: Plan de Mantenimiento Infraestructura Horizontal - Aeródromo Balmaceda de Balmaceda, elaborado por la Dirección de Aeropuertos del Ministerio de Obras Públicas, septiembre de 2016.
- Doc. Nº 12: DIA denominada "Proyecto por concesión: Mejoramiento y Ampliación del Aeropuerto Presidente Carlos Ibáñez del Campo, XIIª Región" de agosto de 2008, y sus Adendas.
- Doc. Nº 13: RCA Nº 70 (exenta) de 20 de marzo de 2009 que califica ambientalmente el "Proyecto por concesión: Mejoramiento y Ampliación del Aeropuerto Presidente Carlos Ibáñez del Campo, XIIª Región Mejoramiento y Ampliación Aeropuerto".
- Doc. Nº 14: DIA denominada "Ampliación y Mejoramiento Aeropuerto Presidente Carlos Ibáñez del Campo de Punta Arenas", de septiembre de 2017, y sus Adendas.
- Doc. Nº 15: RCA Nº120 (exenta) de 25 de septiembre de 2018 que califica ambientalmente el proyecto "Ampliación y Mejoramiento Aeropuerto Presidente Carlos Ibáñez del Campo de Punta Arenas".
- Doc. Nº 16: DIA denominada "Ampliación y Mejoramiento Aeródromo Balmaceda", de enero de 2019, y sus Adendas.
- Doc. Nº 17: Especificaciones Técnicas Libro de Obra Digital (LOD), elaborado por el Ministerio de Obras Públicas (versión vigente).
- Doc. Nº 18: RCA Nº89 (exenta) de 30 de diciembre de 2019 que califica ambientalmente el proyecto "Ampliación y Mejoramiento Aeródromo Balmaceda."
- Anteproyectos Referenciales "Ampliación y Mejoramiento Aeropuerto Presidente Carlos Ibáñez del Campo de Punta Arenas" y "Ampliación y Mejoramiento Aeródromo Balmaceda de Balmaceda", aceptados totalmente por el Grupo Licitante Adjudicatario.
6.- El inicio del plazo de la concesión será la fecha de publicación en el Diario Oficial del presente decreto supremo de Adjudicación de la Concesión, de acuerdo a lo establecido en el artículo 1.7.5 de las Bases de Licitación.
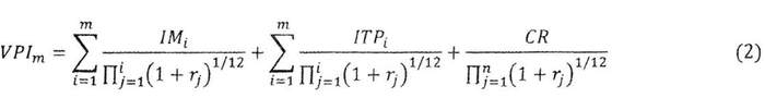
7.- La concesión, de acuerdo a lo establecido en los artículos 1.7.6, 1.7.6.1 y 1.7.6.2 de las Bases de Licitación, se extinguirá al cabo de 36 (treinta y seis) meses contados desde el primer mes "m" de concesión en que se cumpla la siguiente relación:

donde,
VPIm : Corresponde al Valor Presente de los Ingresos por Pasajero Embarcado de la Sociedad Concesionaria (en UF), calculado en el mes "m" de concesión contado desde la fecha de autorización de la primera Puesta en Servicio de las Instalaciones Existentes, conforme a lo señalado en el artículo 1.10.1 de las Bases de Licitación, letra A) o B) según corresponda (el mes en que se autoriza la primera Puesta en Servicio de las Instalaciones Existentes es m = 1) y actualizado al mes anterior de dicha Puesta en Servicio Provisoria de las Instalaciones Existentes (m = 0).
ITC : Corresponde al monto total de los Ingresos por Pasajero Embarcado solicitado por el Grupo Licitante Adjudicatario "Consorcio Austral de Aeropuertos" en su Oferta Económica, según se indica en el artículo 3.2 de las Bases de Licitación, por un valor de UF 3.887.400 (tres millones ochocientas ochenta y siete mil cuatrocientas Unidades de Fomento).
El valor de VPIm conforme lo dispuesto en el artículo 1.7.6.1 de las Bases de Licitación, se calculará mensualmente, en UF, de acuerdo a la siguiente relación:

donde:

IMi : Ingresos por concepto de tarifa por pasajeros embarcados (en UF) en el mes "i" de concesión, contado desde la fecha de autorización de la primera Puesta en Servicio de las Instalaciones Existentes, conforme a lo señalado en 1.10.1 letra A) o B), según corresponda, sobre la base de la información señalada en 1.8.2 número 5) letra g), ambos artículos de las Bases de Licitación.
ITPi : Se refiere al parámetro "ITPi" cuyo valor se definirá en conformidad a lo señalado en el artículo 1.12 de las Bases de Licitación.
CR : Saldo de la Cuenta de Reserva para Inversiones Menores No Contempladas señalada en 1.10.14, en caso de existir, cuando falten 6 (seis) meses para el término del contrato de concesión establecido en 1.7.6 o para el Plazo Máximo de la Concesión indicado en 1.7.6.2; o bien al momento en que se produzca la calificación del DGC referida a la cláusula de extinción señalada en 1.13.1.4, en caso que esto suceda; todos artículos de las Bases de Licitación.
n : Mes en que el MOP paga a la Sociedad Concesionaria el monto IND por concepto de extinción anticipada de la concesión de acuerdo a lo señalado en 1.13.1.4, o mes en que se complete al menos el 90% (noventa por ciento) del monto de ITC solicitado por el Grupo Licitante Adjudicatario "Consorcio Austral de Aeropuertos" en su Oferta Económica, según lo establecido en 3.1 y 3.2, todos artículos de las Bases de Licitación, lo que suceda primero.
rF : Tasa Fija, que corresponde a 0,02 (2% real anual). Este valor aplicará únicamente para la determinación del VPIm definido en el presente número y no aplicará para ningún otro efecto.
0 : Premio por Riesgo Anual, que corresponde a 0,02 (2% real anual). Este valor aplicará únicamente para la determinación del VPIm definido en el presente número y no aplicará para ningún otro efecto.
Si transcurrido el plazo máximo de la concesión de 384 (trecientos ochenta y cuatro) meses contados desde el inicio del plazo de la concesión establecido en 1.7.5, esto es, desde la fecha de publicación en el Diario Oficial del presente decreto supremo de Adjudicación de la Concesión, no se hubiere cumplido la relación (1) del presente numeral, la concesión se extinguirá por cumplimiento de dicho plazo máximo, de acuerdo a lo señalado en 1.7.6.2 y 1.13.1.6, todos artículos de las Bases de Licitación.
8.- De acuerdo a lo establecido en el artículo 1.7.7.3 de las Bases de Licitación, la persona jurídica nacional o extranjera con experiencia en operación de aeropuertos, deberá mantener, al menos, un 25% (veinticinco por ciento) de participación directa en el capital o de las acciones suscritas y pagadas con derecho a voto de la Sociedad Concesionaria durante toda la vigencia del Contrato de Concesión. Con todo, una vez cumplida la mitad del plazo señalado en el artículo 1.7.6 de las Bases de Licitación, la Sociedad Concesionaria podrá solicitar al Ministerio de Obras Públicas una autorización para la sustitución de la persona jurídica con experiencia en operación de aeropuertos por una nueva, que deberá cumplir los mismos requisitos de participación en la Sociedad Concesionaria y experiencia en operación de aeropuertos que hayan registrado un tráfico no inferior al número total de pasajeros transportados en el Aeropuerto Presidente Carlos Ibáñez del Campo en el año precedente al año de la solicitud de sustitución. Dicha autorización deberá contar, en forma previa a su perfeccionamiento, con un informe favorable de la Dirección General de Aeronáutica Civil, la cual tendrá un plazo de 20 (veinte) días para remitir dicho informe desde que haya sido requerido por el Inspector Fiscal.
9.- De acuerdo a lo señalado en 1.8.10, el Ministerio de Obras Públicas, a más tardar al inicio de la Puesta en Servicio Provisoria de las Instalaciones Existentes del Aeropuerto Presidente Carlos Ibáñez del Campo señalada en la letra a) del 1.9.7, ambos artículos de las Bases de Licitación, entregará al Adjudicatario o bien al Concesionario, según sea el caso, la infraestructura, instalaciones y/o equipamiento preexistente de dicho aeropuerto en el estado en que se encuentre. Este acto se efectuará mediante anotación del Inspector Fiscal en el Libro de Explotación de la Obra.
De la misma manera, a más tardar al inicio de la Puesta en Servicio Provisoria de las Instalaciones Existentes del Aeródromo Balmaceda señalada en la letra b) del artículo 1.9.7 de las Bases de Licitación, el Ministerio de Obras Públicas entregará al Adjudicatario o bien al Concesionario, según sea el caso, la infraestructura, instalaciones y/o equipamiento preexistente de dicho aeródromo en el estado en que se encuentre. Este acto se efectuará mediante anotación del Inspector Fiscal en el Libro de Explotación de la Obra.
Desde la fecha señalada en el Libro de Explotación de la Obra, el Concesionario será responsable de mantener y conservar, según los Estándares Técnicos establecidos en las Bases de Licitación, todas las obras, infraestructura, instalaciones y/o equipamiento que se encuentren o utilicen en el Área de Concesión.
Para apoyar este traspaso de la infraestructura, instalaciones y/o equipamiento y a modo de referencia, el Inspector Fiscal hará entrega al Adjudicatario o bien al Concesionario, según sea el caso, mediante anotación en el Libro de Explotación de la Obra, del Inventario de la Infraestructura Preexistente del Aeropuerto Presidente Carlos Ibáñez del Campo y del Aeródromo Balmaceda en el Área de Concesión, según corresponda.
10.- De conformidad con lo establecido en 1.9 la Etapa de Construcción comenzará junto con la Puesta en Servicio Provisoria de las Instalaciones Existentes del Aeropuerto Presidente Carlos Ibáñez del Campo señalada en el artículo 1.9.7 letra a) o con la Puesta en Servicio Provisoria de las Instalaciones Existentes del Aeródromo Balmaceda señalada en el artículo 1.9.7 letra b), la primera que ocurra, y finalizará junto con la Puesta en Servicio Provisoria de la Totalidad de las Obras señalada en la letra d) del referido 1.9.7, ambos artículos de las Bases de Licitación.
Por su parte, de conformidad a lo señalado en el artículo 1.9.22 de las Bases de Licitación, el inicio de la Etapa de Construcción de las Obras de Ampliación y Mejoramiento del Aeropuerto Presidente Carlos Ibáñez del Campo comenzará una vez que el Inspector Fiscal notifique a la Sociedad Concesionaria, mediante anotación en el Libro de Construcción de la Obra, que se ha cumplido cualquiera de las siguientes situaciones, la primera que ocurra:
. Que la cantidad de pasajeros embarcados en el Aeropuerto Presidente Carlos Ibáñez del Campo, en el año móvil anterior sea igual o superior a 600.000 (seiscientos mil), de acuerdo a la información que será proporcionada por el Concesionario según lo establecido en el artículo 1.8.2 número 5 letra n) de las Bases de Licitación.
. Que el valor del VPIm calculado según lo señalado en 1.7.6.1 sea superior al 60% del ITC solicitado por el Grupo Licitante adjudicatario "Consorcio Austral de Aeropuertos" en su Oferta Económica, según se indica en 3.2, ambos artículos de las Bases de Licitación.
. Que hayan transcurrido 240 (doscientos cuarenta) meses desde el inicio de la concesión señalado en el artículo 1.7.5 de las Bases de Licitación.
Las etapas de Construcción antes señaladas comprenderán:
a) La elaboración de la totalidad de los estudios y proyectos definitivos que se requieran, según lo establecido en los artículos 1.9.2.1 y 2.7 de las Bases de Licitación.
b) La construcción de las Obras de la Concesión señaladas en el artículo 2.5, de acuerdo a los Estándares Técnicos y plazos exigidos en las Bases de Licitación.
Se entenderá por Obras de la Concesión la totalidad de la obra gruesa, instalaciones (incluido el suministro del equipamiento) y la totalidad de las terminaciones y obras complementarias objeto de la concesión.
c) El uso y goce sobre bienes nacionales de uso público o fiscales destinados a desarrollar la obra entregada en concesión.
d) El uso y goce sobre bienes nacionales de uso público o fiscales destinados a áreas de servicios conforme a lo estipulado en el artículo 32º de la Ley de Concesiones.
11.- La Sociedad Concesionaria, de acuerdo a lo dispuesto en los artículos 1.9.1, 1.9.2 y 1.9.22 letra d) de las Bases de Licitación, deberá elaborar los Proyectos de Ingeniería Definitiva de las obras incluidas en las Bases de Licitación, en los anteproyectos que forman parte de su Oferta Técnica, de manera tal que se ajusten a los Estándares Técnicos establecidos en el respectivo Anteproyecto Referencial entregado por el Ministerio de Obras Públicas, en las Bases de Licitación y en los demás documentos que forman parte del Contrato de Concesión, debiendo considerar las pautas y normas vigentes de la Dirección de Aeropuertos del Ministerio de Obras Públicas y de la Dirección General de Aeronáutica Civil. Las obras correspondientes no podrán ejecutarse en tanto los proyectos de ingeniería de detalle respectivos no se encuentren aprobados por el Inspector Fiscal. Será exclusivamente responsabilidad del Concesionario fiscalizar el correcto desarrollo de los proyectos de cada una de las especialidades.
12.- De acuerdo a lo establecido en los artículos 1.9.10 y 1.9.22 letra b) de las Bases de Licitación, durante el tiempo que dure la ejecución de las obras, el Concesionario será el responsable de mantener operables, a su entero cargo y costo, todas las actividades y servicios que se realizan en las actuales instalaciones existentes del aeropuerto, en particular, los Servicios Aeronáuticos y No Aeronáuticos obligatorios que pudieran verse afectados por la construcción de las obras. Para tales efectos, el Concesionario deberá dar cumplimiento al Reglamento de Servicio de la Obra que se encuentre aprobado conforme a lo establecido en los artículos 1.8.17 y 1.10.4 de las Bases de Licitación. Tales servicios no podrán interrumpirse salvo una autorización expresa por parte del Director General de Concesiones de Obras Públicas ante una solicitud fundada de parte del Concesionario.
Adicionalmente, para el mantenimiento del servicio de las actuales instalaciones, el Concesionario deberá realizar y habilitar todas las obras provisorias que se requieran una vez que los proyectos respectivos sean aprobados por el Inspector Fiscal.
Para facilitar la operatividad normal del aeropuerto, existirá un Comité de Gestión de la Concesión para el Aeropuerto Presidente Carlos Ibáñez del Campo y un Comité de Gestión de la Concesión para el Aeródromo Balmaceda, de acuerdo a lo señalado en el artículo 1.8.16 de las Bases de Licitación.
En conformidad a lo dispuesto en 1.10.10 punto A.10, tratándose del Aeropuerto Presidente Carlos Ibáñez del Campo de Punta Arenas, mientras no entre en vigencia la actualización del Reglamento de Servicio de la Obra -en particular el Manual de Operación y los Mecanismos de Asignación de los Servicios Aeronáuticos y No Aeronáuticos-, conforme a lo señalado en 1.10.4 y 2.9.2, regirán el Reglamento de Servicio de la Obra, el Manual de Operación y los Mecanismos de Asignación de los Servicios Aeronáuticos y No Aeronáuticos, entregados al Adjudicatario o bien al Concesionario, según sea el caso, conforme a lo señalado en 1.8.17, todos artículos de las Bases de Licitación, los que para todos los efectos legales se entenderán plenamente vigentes para las instalaciones preexistentes de dicho aeropuerto dentro del Área de Concesión.
En caso de discrepancias entre lo establecido en los documentos señalados en el párrafo anterior y las Bases de Licitación, primará lo dispuesto en estas últimas. Asimismo, en todo aspecto no previsto en dichos documentos, tendrá plena aplicación lo establecido en las Bases de Licitación.
13.- De acuerdo a lo establecido en el artículo 1.10 de las Bases de Licitación, la Etapa de Explotación comenzará junto con la Puesta en Servicio Provisoria de las Instalaciones Existentes señalada en el artículo 1.9.7 letra a) o b) de las Bases de Licitación, la primera que ocurra y se extenderá hasta el término de la concesión. Esta etapa comprende lo siguiente:
a) La prestación del Servicio Básico para el que fue construida la obra, dentro del Área de Concesión definida en el artículo 2.4 de las Bases de Licitación. Se entiende por Servicio Básico:
a.1. La prestación y explotación de los Servicios Aeronáuticos y No Aeronáuticos de acuerdo a lo señalado en los artículos 1.10.4, 1.10.9.1, 1.10.9.2, 1.10.9.3, 1.10.10 y 1.10.11 de las Bases de Licitación y a lo presentado por el Grupo Licitante Adjudicatario en su Oferta.
a.2. La conservación y aseo de la obra, manteniéndola en óptimas condiciones de uso.
Las labores de conservación que son de exclusiva responsabilidad, cargo y costo del Concesionario corresponden a la conservación preventiva y correctiva de la infraestructura, instalaciones y equipamiento, nuevo y preexistente, que se entrega al Concesionario para su operación y explotación. Las labores de aseo se refieren al aseo permanente del Área de Concesión.
Todo lo anterior, según se explicita en las Bases de Licitación y el Área de Concesión definida conforme el artículo 2.4 de las citadas Bases.
b) El cobro de tarifas a los usuarios de los Servicios Comerciales, Aeronáuticos y No Aeronáuticos.
c) La ejecución de las obras que deben construirse una vez que la obra haya sido puesta en servicio, si procede.
d) El uso y goce sobre bienes nacionales de uso público o fiscales en los que se desarrolle la obra entregada en concesión, de acuerdo a lo expresado en las letras precedentes de este número.
e) El uso y goce sobre bienes nacionales de uso público o fiscales destinados a áreas de servicio conforme a lo estipulado en el artículo 32º de la Ley de Concesiones.
f) El cobro de la tarifa por pasajero embarcado, el que se materializará a través de un pago de la Dirección General de Aeronáutica Civil a la Sociedad Concesionaria, conforme a lo establecido en el artículo 1.14.1.1 de las Bases de Licitación.
14.- El Concesionario deberá realizar todas las obras necesarias para prestar los Servicios Aeronáuticos y No Aeronáuticos exigidos en las Bases de Licitación, lo establecido en los anteproyectos que formen parte de su Oferta Técnica y las obras que no hayan sido proyectadas en los mismos, pero que son requeridas para efectos de la ejecución de las obras contempladas en las referidas Bases, de acuerdo a lo establecido en el artículo 2.5 de las Bases de Licitación. A continuación, se presenta una enumeración no taxativa de las obras a ejecutar por el Concesionario:
Aeropuerto Presidente Carlos Ibáñez del Campo:
a) Ampliación y remodelación del Edificio Terminal de Pasajeros. Incluye la provisión e instalación de 5 (cinco) nuevos Puentes de Embarque.
Las nuevas áreas del Edificio Terminal deberán disponer de las facilidades necesarias para atender a la totalidad de pasajeros y usuarios del aeropuerto. Todo el equipamiento y mobiliario asociado a las nuevas áreas deberá ser provisto por el Concesionario, de acuerdo a las especificaciones contenidas en el Anteproyecto Referencial entregado por el Ministerio de Obras Públicas.
b) Construcción Nuevo Edificio Terminal de Carga.
c) Construcción de Instalaciones Aeronáuticas DGAC:
. Edificio Administrativo.
. Edificio Logístico.
. Subestación Eléctrica Aeronáutica (incluye equipamiento).
. Edificio Casino.
. Edificio ARO.
. Pasillo Conector Edificios DGAC.
. Caniles.
. Globo Sonda.
. Nueva Caldera.
. Puesto de Control de Acceso para Carga.
. Puesto de Control de Acceso para Instalaciones Aeronáuticas DGAC.
d) Ampliación plataforma aviación comercial.
e) Construcción camino aeronáutico.
f) Ampliación y modificación de la vialidad vehicular y peatonal de circulación interior del aeropuerto.
g) Ampliación y redistribución del área de estacionamientos vehiculares. Construcción estacionamientos taxis, buses, minibuses, custodia, rent a car, servicios públicos, sociedad concesionaria, carga y DGAC.
h) Estar de Taxis.
i) Nuevas instalaciones eléctricas y ayudas visuales asociadas a las nuevas obras.
j) Renovación, modificación y ampliación del sistema de abastecimiento de agua potable.
k) Renovación, modificación y ampliación del sistema de alcantarillado.
l) Renovación, modificación y ampliación de la red de gas.
m) Nuevo sistema de drenaje y obras de saneamiento.
n) Nuevo colector aguas servidas. La obtención de los permisos para acceder a las áreas Fuerza Aérea de Chile será de exclusiva gestión y responsabilidad de la Dirección General de Aeronáutica Civil.
o) Desarme y/o demolición, reubicación o reinstalación de obras preexistentes para dar cabida a las nuevas obras del proyecto.
p) Obras y/o trabajos complementarios: paisajismo, señalética, iluminación, zonas de circulación peatonal, cerco de seguridad del Aeropuerto.
q) Otras obras, definidas en el Anteproyecto Referencial entregado por el Ministerio de Obras Públicas.
Aeródromo Balmaceda:
a) Construcción de nuevo Edificio Terminal de Pasajeros e instalación de 5 (cinco) nuevos Puentes de Embarque. Se proyecta un edificio terminal de nueva construcción, en dos niveles.
Las nuevas áreas del Edificio Terminal deberán disponer de las facilidades necesarias para atender a la totalidad de pasajeros y usuarios del aeródromo. Todo el equipamiento y mobiliario asociado a las nuevas áreas deberá ser provisto por el Concesionario, de acuerdo a las especificaciones contenidas en el Anteproyecto Referencial entregado por el Ministerio de Obras Públicas.
b) Nueva Subestación Eléctrica.
c) Construcción de nueva vialidad de acceso y salida del nuevo terminal de pasajeros teniendo en consideración el funcionamiento del Complejo Fronterizo Huemules, a fin de no generar brechas de seguridad en la circulación.
d) Construcción de nuevos estacionamientos expresos, según lo siguiente:
. Zona A conformada por un edificio cubierto con capacidad estructural para expansión en altura hasta cuatro plantas.
. Zona B conformada por un estacionamiento en superficie, ubicado al norte del actual Terminal de Carga, en forma adyacente a la actual planta de combustible aeronáutico.
e) Construcción de estacionamientos para uso de minibuses o buses incluyendo zona de espera frente al terminal.
f) Remodelación y/o mejoramiento del Edificio Terminal actual para albergar el Terminal de Carga y las siguientes Instalaciones Aeronáuticas DGAC: Oficina ARO, RAMP, Oficina Logística, Oficina Comercial, recintos técnicos, patio cerrado para vehículos DGAC, oficinas DGAC para revisión de carga aérea, espacios para operadores de aviación general y/o corporativa, servicios higiénicos, entre otras.
g) Construcción de la Instalación Aeronáutica DGAC denominada Puesto de Control de Acceso DGAC incluyendo portones de acceso y cerco perimetral.
h) Construcción de un nuevo acceso vial hacia el Área de Movimiento de Aeronaves.
i) Ampliación de la plataforma comercial de aeronaves hacia el Oriente, con una nueva área de estacionamiento destinada a aeronaves comerciales.
j) Adaptación y rehabilitación de actual plataforma comercial para la aviación general con puestos para aeronaves clave A y B.
k) Construcción de nueva calle de rodaje de acceso y circulación en plataforma.
l) Remodelación y rehabilitación de calle de acceso actual en plataforma.
m) Instalación de estanque de abastecimiento de agua potable y sistema de extinción de incendios, cercana al cuartel SSEI.
n) Nuevas instalaciones eléctricas y ayudas visuales asociadas a las nuevas obras de plataformas y calles de rodaje.
o) Ampliación de la vialidad vehicular de circulación interior del aeródromo.
p) Remodelación de las actuales vías de acceso y de circulación del aeródromo.
q) Remodelación del área de estacionamientos públicos existente.
r) Nuevo sistema de abastecimiento de agua potable.
s) Nuevo sistema de alcantarillado.
t) Nuevo colector aguas servidas.
u) Desarme y/o demolición, reubicación o reinstalación de obras preexistentes para dar cabida a las nuevas obras del proyecto.
v) Obras y/o trabajos complementarios: paisajismo, señalética, iluminación, estacionamientos para funcionarios, zonas de circulación peatonal, cerco de seguridad del Aeródromo.
w) Otras obras, definidas en el Anteproyecto Referencial entregado por el Ministerio de Obras Públicas.
15.- Conforme a lo señalado en el artículo 1.4.3 de las Bases de Licitación, el Presupuesto Oficial Estimado de la Obra es de UF 3.965.000 (tres millones novecientas sesenta y cinco mil Unidades de Fomento), cantidad que no incluye Impuesto al Valor Agregado (IVA). Este valor es referencial y considera el valor nominal de las obras del Contrato de Concesión, incluyendo todos los costos del proyecto, gastos generales y utilidades, pagos de la Sociedad Concesionaria durante la Etapa de Construcción y los costos para la elaboración del Proyecto de Ingeniería Definitiva.
16.- Conforme a lo señalado en 1.14.4, para efectos de lo dispuesto en el DL Nº 825 de 1974 y sus modificaciones posteriores, y en especial el artículo 16º, letras c) y h), en el Contrato de Concesión se imputará un 40% (cuarenta por ciento) de los ingresos de explotación para pagar el precio del servicio de construcción y el 60% (sesenta por ciento) restante de dichos ingresos para pagar el precio del servicio de conservación, reparación y explotación, salvo el período comprendido entre la Puesta en Servicio Provisoria de las Instalaciones Existentes señaladas en 1.9.7 letra a) o b), la primera que ocurra y el primer inicio de la construcción de las obras que se autorice conforme lo señalado en 1.9.3 o 1.9.22, en donde se imputará el 100% (cien por ciento) de dichos ingresos para pagar el servicio de conservación, reparación y explotación. Como ingresos de explotación, el Concesionario percibirá los pagos de la Dirección General de Aeronáutica Civil por concepto de Tarifa por Pasajero Embarcado y los ingresos por la explotación de los Servicios Comerciales, Aeronáuticos y No Aeronáuticos.
En los aspectos relativos a la declaración y pago del Impuesto a la Renta, el Concesionario se deberá regir por lo dispuesto en el DL Nº 824 de 1974 y sus modificaciones, especialmente por las introducidas por la ley Nº19.460 y las demás normas que correspondan.
17.- Las obligaciones y derechos del Grupo Licitante Adjudicatario o bien de la Sociedad Concesionaria, según sea el caso, son las establecidas en los cuerpos legales citados en el presente decreto supremo y la normativa legal vigente que le sea aplicable, en las Bases de Licitación y en las Ofertas Técnica y Económica presentadas por el Grupo Licitante Adjudicatario "Consorcio Austral de Aeropuertos", en la forma aprobada por el Ministerio de Obras Públicas.
Sin perjuicio de lo anterior, y en forma no taxativa, se indican como obligaciones y derechos los siguientes:
OBLIGACIONES:
i. Constituir legalmente la sociedad, de nacionalidad chilena, prometida en su Oferta Técnica, de acuerdo a lo establecido en el artículo 1.7.3 de las Bases de Licitación, dentro del plazo máximo de 60 (sesenta) días contados desde la publicación en el Diario Oficial del presente decreto supremo de Adjudicación del Contrato de Concesión. Asimismo, y dentro del mismo plazo, el Adjudicatario procederá a suscribir ante Notario 4 (cuatro) transcripciones del presente decreto supremo, en señal de aceptación de su contenido, debiendo protocolizar ante el mismo Notario 1 (uno) de los ejemplares, según lo exigido en el artículo 1.7.4 de las Bases de Licitación.
ii. Al otorgarse la escritura de constitución de la Sociedad Concesionaria se deberá suscribir íntegramente el capital de la sociedad, que no podrá ser inferior a $13.500.000.000 (trece mil quinientos millones de pesos) y pagarse, al menos, la suma de $6.750.000.000 (seis mil setecientos cincuenta millones de pesos), debiendo individualizar con su correspondiente porcentaje, a todas las personas naturales o jurídicas que suscribirán el 100% (cien por ciento) de dicho capital. El saldo del capital deberá pagarse en el plazo máximo de 12 (doce) meses contados desde la fecha de la escritura pública de constitución de la sociedad. Una vez que el Inspector Fiscal haya anotado en el Libro de Construcción de la Obra el inicio de la Etapa de Construcción de las Obras y Mejoramiento del Aeropuerto Presidente Carlos Ibáñez del Campo, de acuerdo a lo señalado en la letra a) del artículo 1.9.22 de las Bases de Licitación, la Sociedad Concesionaria deberá aumentar el capital social en un monto de $13.500.000.000 (trece mil quinientos millones de pesos), debiendo pagar la suma de $6.750.000.000 (seis mil setecientos cincuenta millones de pesos) en el plazo de 30 (treinta) días contados desde la fecha en que se haya consignado el inicio de las Obras de Ampliación y Mejoramiento del Aeropuerto Presidente Carlos Ibáñez del Campo, y el saldo restante dentro de los 12 (doce) meses siguientes a dicho pago. La Sociedad Concesionaria deberá ajustarse a la normativa vigente en la materia para la definición del número de acciones en que será dividido el aumento de capital con indicación de sus series y privilegios si los hubiere y si las acciones tienen o no valor nominal. El pago del capital social deberá acreditarse en todo caso mediante certificado bancario. Todo lo anterior de acuerdo a lo dispuesto en el artículo 1.7.3 de las Bases de Licitación.
iii. La Sociedad Concesionaria, dentro del plazo de 60 (sesenta) días contados desde su constitución, deberá haber solicitado su inscripción en el Registro correspondiente de la Comisión para el Mercado Financiero (CMF), de acuerdo a la normativa vigente, lo que deberá acreditar ante el Inspector Fiscal con el certificado respectivo, de conformidad a lo dispuesto en el último párrafo artículo 1.7.3 de las Bases de Licitación.
iv. El Concesionario deberá entregar, al momento de la constitución de la Sociedad Concesionaria, un certificado emitido por los auditores externos y una opinión legal de un abogado de la plaza, para acreditar que la Sociedad Concesionaria y sus accionistas se ajustan a la limitación establecida en el artículo 1.7.3 de las Bases de Licitación, relacionada con el pronunciamiento contenido en la resolución Nº 25/2008 de 27 de marzo de 2008 del Tribunal de Defensa de la Libre Competencia, en concordancia con el Dictamen Nº 1004 de 25 de abril de 1997 de la Comisión Preventiva Central. Lo anterior es sin perjuicio de las atribuciones del Tribunal de Defensa de la Libre Competencia contenidas en el decreto ley Nº 211 de 1973, cuyo texto refundido, coordinado y sistematizado fue fijado por el DFL Nº1 del año 2004, del Ministerio de Economía, Fomento y Reconstrucción, actual Ministerio de Economía, Fomento y Turismo.
v. De conformidad con lo establecido en el artículo 1.7.7.2 de las Bases de Licitación, el Concesionario será siempre responsable del cumplimiento cabal, íntegro y oportuno del Contrato de Concesión, de la correcta ejecución de los proyectos y de las obras, de la operación de la concesión, así como del cumplimiento de los Niveles de Servicio y Estándares Técnicos establecidos en las Bases de Licitación para las diferentes etapas y condiciones de la concesión, durante toda su vigencia y del cumplimiento de todas las obligaciones establecidas en el Contrato de Concesión, sin perjuicio de las funciones de dirección y control que corresponden al Ministerio de Obras Públicas.
vi. Conforme a lo señalado en el artículo 1.8.12.1 de las Bases de Licitación, el Ministerio de Obras Públicas ha sometido al Sistema de Evaluación de Impacto Ambiental las Declaraciones de Impacto Ambiental denominadas "Proyecto por concesión Mejoramiento y Ampliación del Aeropuerto Presidente Carlos Ibáñez del Campo, XIIª Región" de agosto de 2008 y "Ampliación y Mejoramiento Aeropuerto Presidente Carlos Ibáñez del Campo de Punta Arenas" de septiembre de 2017, las que han sido puestas a disposición del Grupo Licitante, al igual que sus Adendas, junto a las Resoluciones de Calificación Ambiental Nº 70 (exenta) de 20 de marzo de 2009 y Nº 120 (exenta) de 25 de septiembre de 2018. Asimismo, el Ministerio de Obras Públicas ha sometido al Servicio de Evaluación de Impacto Ambiental la Declaración de Impacto Ambiental denominada "Ampliación y Mejoramiento Aeródromo Balmaceda" de enero de 2019, la que ha sido puesta a disposición del Grupo Licitante, al igual que sus Adendas, junto a la resolución de Calificación Ambiental Nº 89 de 30 de diciembre de 2019. Todos documentos que forman parte de las Bases de Licitación conforme a lo señalado en su artículo 1.4.2.
Estos documentos contienen una serie de medidas y exigencias que, junto con las medidas y exigencias establecidas en las Bases de Licitación, constituyen el conjunto de obligaciones, compromisos y medidas ambientales mínimas obligatorias a cumplir por parte del Adjudicatario o bien la Sociedad Concesionaria, según sea el caso, durante las Etapas de Construcción y Explotación de la Concesión. En efecto, una vez publicado el presente decreto supremo de Adjudicación del Contrato de Concesión en el Diario Oficial, todas las medidas, exigencias y condiciones definidas en las Resoluciones de Calificación Ambiental, se entenderán que forman parte integrante del contenido del presente decreto supremo de Adjudicación.
A efectos de la presentación y evaluación del proyecto ante el Servicio de Evaluación de Impacto Ambiental, se entenderá que su titular es el Director General de Concesiones de Obras Públicas. No obstante, una vez constituida la Sociedad Concesionaria de acuerdo a lo señalado en el artículo 1.7.3 de las Bases de Licitación, esta será la única responsable ante la Autoridad Ambiental competente y cualquier otra autoridad pública del cumplimiento de las obligaciones y exigencias ambientales que se impongan a este proyecto y de la normativa ambiental vigente.
La implementación de las medidas y/o exigencias establecidas en las Bases de Licitación, en las Declaraciones de Impacto Ambiental y sus Adendas, y las Resoluciones de Calificación Ambiental indicadas en el artículo 1.4.2 de las Bases de Licitación, serán de exclusiva responsabilidad, cargo y costo de la Sociedad Concesionaria no pudiendo, en caso alguno, eximirse de esta obligación, debiendo dar cumplimiento a la normativa ambiental vigente.
Una vez constituida legalmente la Sociedad Concesionaria se procederá al cambio de titularidad de las Resoluciones de Calificación Ambiental Nº 70 (exenta) de 20 de marzo de 2009, Nº 120 (exenta) de 25 de septiembre de 2018 y Nº 89 (exenta) de 30 de diciembre de 2019 antes señaladas, de acuerdo a la normativa ambiental vigente y conforme las instrucciones que, para tales efectos, se encuentren vigentes o dicte la autoridad ambiental competente. Para efectos de su formalización, el Director General de Concesiones de Obras Públicas informará a la autoridad ambiental, con copia a la Sociedad Concesionaria, dicho cambio de titularidad mediante el envío formal de las Bases de Licitación aprobadas por el Ministerio de Obras Públicas, del presente decreto supremo de Adjudicación de la Concesión, debidamente suscrito y protocolizado por el Concesionario, y de las resoluciones de las cuales se solicita el cambio de titularidad. Por medio de la suscripción del presente decreto supremo de Adjudicación del Contrato de Concesión, el Concesionario acepta la calidad de nuevo Titular, siendo responsable del cumplimiento de las obligaciones ambientales impuestas al proyecto y de la normativa vigente.
En caso que el Adjudicatario o la Sociedad Concesionaria, según sea el caso, proponga cualquier alternativa de modificación del proyecto, nuevas obras o cualquier otra actividad asociada al proyecto objeto de la concesión, conforme a lo establecido en las Bases de Licitación, deberá realizar la consulta de pertinencia de ingreso al Sistema de Evaluación de Impacto Ambiental y someter a aprobación una Declaración de Impacto Ambiental o un Estudio de Impacto Ambiental, según corresponda, de acuerdo a lo indicado en la Ley Nº19.300 "Sobre Bases Generales del Medio Ambiente" y en el Reglamento del Sistema de Evaluación de Impacto Ambiental, con sus respectivas modificaciones. En caso que proceda dicho ingreso, la elaboración de la Declaración de Impacto Ambiental o Estudio de Impacto Ambiental y de sus Adendas si las hubiera, así como su tramitación y el cumplimiento de todas las medidas de mitigación, compensación o reparación y/o exigencias que emanen de la(s) respectiva(s) resolución(es) de Calificación Ambiental serán de exclusiva responsabilidad, cargo y costo del Adjudicatario o bien de la Sociedad Concesionaria, según corresponda, en calidad de titular de la respectiva Declaración de Impacto Ambiental o Estudio de Impacto Ambiental ante la autoridad ambiental respectiva.
Por otra parte, sin perjuicio de todas las exigencias establecidas en 1.8.12, será obligación de la Sociedad Concesionaria de acuerdo a lo dispuesto en 1.9.22 letra f), ambos artículos de las Bases de Licitación, verificar el estado de la Resolución de Calificación Ambiental Nº 120 (exenta) de 25 de septiembre de 2018 que califica ambientalmente el proyecto "Ampliación y Mejoramiento Aeropuerto Presidente Carlos Ibáñez del Campo de Punta Arenas", debiendo actualizar a su entero cargo, costo y responsabilidad dicha Resolución de Calificación Ambiental en caso que corresponda, en conformidad a la normativa ambiental vigente. Con todo, en caso que la autoridad ambiental competente declare la caducidad de la resolución antes mencionada, la elaboración de la nueva Declaración de Impacto Ambiental o el nuevo Estudio de Impacto Ambiental, según corresponda, y de sus Adendas si las hubiera, así como su oportuna tramitación y el cumplimiento de todas las medidas de mitigación, compensación o reparación y/o exigencias que emanen de la respectiva Resolución de Calificación Ambiental serán de exclusiva responsabilidad, cargo y costo de la Sociedad Concesionaria en calidad de titular de la respectiva Declaración de Impacto Ambiental o Estudio de Impacto Ambiental ante la autoridad ambiental.
vii. Conforme a lo establecido en los artículos 1.8.17 y 1.8.18 de las Bases de Licitación, el Adjudicatario o bien el Concesionario, según sea el caso, deberá someterse a un Período de Transición para tomar conocimiento del funcionamiento de las instalaciones existentes del Aeropuerto Presidente Carlos Ibáñez del Campo y del Aeródromo Balmaceda, respectivamente.
El Período de Transición del Aeropuerto Presidente Carlos Ibáñez del Campo comenzará el día siguiente a la publicación en el Diario Oficial del presente decreto supremo de Adjudicación de la concesión, y culminará el día anterior a la fecha de Puesta en Servicio Provisoria de las Instalaciones Existentes señalada en el artículo 1.9.7 letra a) de las Bases de Licitación. Las actividades y/o requisitos mínimos que debe cumplir el Adjudicatario o bien el Concesionario, según sea el caso, durante este Período de Transición son los siguientes:
1. Someterse y participar activamente, de acuerdo a las instrucciones del Inspector Fiscal, a un programa de talleres de inducción y/o capacitación que será impartido por el Concesionario en ejercicio, respecto de la operación de las instalaciones existentes y servicios del aeropuerto.
2. Someter a la aprobación del Inspector Fiscal la Garantía de Explotación de las Instalaciones Existentes, según lo señalado en 1.8.3.2 letra a) y acompañar todos los documentos exigidos en las Bases de Licitación para la autorización de la Puesta en Servicio Provisoria de las Instalaciones Existentes señalada en 1.10.1 letra A) tales como Pólizas de Seguro de Responsabilidad Civil por Daños a Terceros y de Seguro por Catástrofe según lo señalado en 1.8.7 y 1.8.8, respectivamente; todos artículos de las Bases de Licitación.
3. Efectuar, cuando procedan, las correcciones requeridas por el Ministerio de Obras Públicas a las propuestas de pólizas de seguro para la Etapa de Explotación, y contratar las pólizas de seguro conforme al texto aprobado por el Ministerio de Obras Públicas con la anticipación debida para poder entregarlas al Ministerio de Obras Públicas en los plazos previstos en los artículos 1.8.7 y 1.8.8 de las Bases de Licitación.
El Período de Transición del Aeródromo Balmaceda comenzará el día siguiente a la publicación en el Diario Oficial del presente decreto supremo de Adjudicación de la concesión, y culminará el día anterior a la fecha de Puesta en Servicio Provisoria de las Instalaciones Existentes señalada en el artículo 1.9.7 letra b) de las Bases de Licitación. Las actividades y/o requisitos mínimos que debe cumplir el Adjudicatario o bien el Concesionario, según sea el caso, durante este Período de Transición son los siguientes:
1. Someterse y participar activamente, de acuerdo a las instrucciones del Inspector Fiscal, a un programa de talleres de inducción y/o capacitación que será impartido por la Dirección General de Aeronáutica Civil, respecto de la operación de las instalaciones existentes y servicios del aeródromo.
2. Someter a la aprobación del Inspector Fiscal la Garantía de Explotación de las Instalaciones Existentes, según lo señalado en 1.8.3.2 letra a) y acompañar todos los documentos exigidos en las Bases de Licitación para la autorización de la Puesta en Servicio Provisoria de las Instalaciones Existentes señalada en el artículo 1.10.1 letra B), tales como Pólizas de Seguro de Responsabilidad Civil por Daños a Terceros y de Seguro por Catástrofe según lo señalado en 1.8.7 y 1.8.8, respectivamente; todos artículos de las Bases de Licitación.
3. Efectuar, cuando procedan, las correcciones requeridas por el Ministerio de Obras Públicas a las propuestas de pólizas de seguro para la Etapa de Explotación, y contratar las pólizas de seguro conforme al texto aprobado por el Ministerio de Obras Públicas con la anticipación debida para poder entregarlas al Ministerio de Obras Públicas en los plazos previstos en los artículos 1.8.7 y 1.8.8 de las Bases de Licitación.
viii. La Sociedad Concesionaria deberá construir, conservar y explotar las obras descritas en las Bases de Licitación, en los Anteproyectos Referenciales "Ampliación y Mejoramiento Aeropuerto Presidente Carlos Ibáñez del Campo de Punta Arenas" y "Ampliación y Mejoramiento Aeródromo Balmaceda de Balmaceda" entregados por el Ministerio de Obras Públicas y en los demás documentos que forman parte del Contrato de Concesión, en la forma, modo y plazos señalados en dichos documentos.
ix. De acuerdo a lo establecido en el artículo 1.10.9 de las Bases de Licitación, el Concesionario deberá dar cumplimiento a las exigencias establecidas para cada uno de los servicios señalados en 1.10.9.1, 1.10.9.2 y 1.10.9.3, según corresponda, conforme a las disposiciones contenidas en 1.10.10 y cumplir las exigencias y programas establecidos en 1.10.16, todos artículos de las Bases de Licitación. El Concesionario será responsable de las condiciones de prestación y explotación de cada uno de los servicios comprendidos en las Bases de Licitación, que permitan dar cumplimiento a los Estándares Técnicos y Niveles de Servicio exigidos en virtud del Contrato de Concesión, no pudiendo argumentar el incumplimiento de las exigencias y programas asociados a un servicio aludiendo a la Conservación de la Infraestructura, Equipamiento y las Instalaciones de acuerdo a lo establecido en el artículo 2.9.3 de las Bases de Licitación.
x. Cuidar el Área de Concesión, sus obras y los bienes afectos a la Concesión, según lo señalado en el artículo 1.8.11 de las Bases de Licitación.
xi. De conformidad con lo establecido en el artículo 1.10.14 de las Bases de Licitación, a más tardar a los 120 (ciento veinte) días contados desde la fecha de Puesta en Servicio Provisoria de las Instalaciones Existentes del Aeropuerto Presidente Carlos Ibáñez del Campo o del Aeródromo Balmaceda, la primera que ocurra, el Concesionario deberá generar una única Cuenta de Reserva para Inversiones Menores No Contempladas por un monto único y total de UF 80.000 (ochenta mil Unidades de Fomento), cantidad que no incluye IVA, y que podrá enterarse hasta en un máximo de 5 (cinco) cuotas anuales de UF 16.000 (dieciséis mil Unidades de Fomento) cada una. Dicha cuenta deberá abrirse, al menos, con la cantidad de UF 16.000 (dieciséis mil Unidades de Fomento), correspondiente a la primera cuota. Las cuotas restantes deberán incorporarse a la cuenta a más tardar el último día hábil del mes de enero de cada año siguiente.
xii. De conformidad con lo señalado en el artículo 1.14.2 de las Bases de Licitación, la Sociedad Concesionaria deberá realizar los siguientes pagos al Ministerio de Obras Públicas, sin perjuicio de otros pagos establecidos en las Bases de Licitación:
a) Pagos por concepto de Administración y Control del Contrato de Concesión.
La Sociedad Concesionaria deberá realizar pagos anuales desde el inicio de la Concesión señalado en el artículo 1.7.5 de las Bases de Licitación hasta su extinción, por un monto anual de UF 15.000 (quince mil Unidades de Fomento). El primer pago deberá ser efectuado el último día hábil del mes de inicio de la Concesión antes señalado, mientras que los restantes pagos deberán efectuarse el último día hábil del mes de enero de cada año. La última cuota deberá ser pagada el último día hábil del mes de enero del año en que se produzca la extinción de la concesión, cuyo monto será proporcional a la cantidad de meses que transcurran en dicho año hasta el término del plazo de la concesión, y será calculado en razón de UF 1.250 (mil doscientas cincuenta Unidades de Fomento) al mes.
b) Pago por Estudios.
La Sociedad Concesionaria deberá pagar la suma de UF 40.000 (cuarenta mil Unidades de Fomento) por concepto de estudios realizados por el Ministerio de Obras Públicas para la obra objeto de la concesión. Dicha cantidad deberá ser pagada al Ministerio de Obras Públicas dentro del plazo máximo de 90 (noventa) días contados desde la fecha de publicación en el Diario Oficial del presente decreto supremo de Adjudicación de la Concesión.
xiii. Contratar los seguros de Responsabilidad Civil por Daños a Terceros y por Catástrofe, de acuerdo a lo señalado en los artículos 1.8.7 y 1.8.8, respectivamente, de las Bases de Licitación.
DERECHOS:
i. Explotar las obras del Aeropuerto Presidente Carlos Ibáñez del Campo a contar de la autorización de Puesta en Servicio Provisoria de las Instalaciones Existentes del Aeropuerto Presidente Carlos Ibáñez del Campo hasta el término de la concesión, todo ello de conformidad a lo señalado en los artículos 1.9.7 letra a) y 1.10 de las Bases de Licitación.
ii. Explotar las obras del Aeródromo Balmaceda a contar de la autorización de Puesta en Servicio Provisoria de las Instalaciones Existentes del Aeródromo Balmaceda hasta el término de la concesión, todo ello de conformidad a lo señalado en los artículos 1.9.7 letra b) y 1.10 de las Bases de Licitación.
iii. Cobrar tarifas a los usuarios por los Servicios Comerciales, Aeronáuticos y No Aeronáuticos en conformidad a lo señalado en los artículos 1.10 letra b) y 1.10.9 de las Bases de Licitación.
iv. Percibir de la Dirección General de Aeronáutica Civil un pago mensual por concepto de Tarifa por Pasajero Embarcado, de acuerdo al procedimiento establecido en el artículo 1.14.1.1 de las Bases de Licitación.
Se deberá calcular el monto del pago al Concesionario para el mes vencido. Este monto se obtendrá multiplicando la cantidad de Pasajeros Embarcados durante dicho mes por la Tarifa por Pasajero Embarcado que sea aplicable en el mes respectivo.
Para estos efectos, el valor de la Tarifa Base por Pasajero Embarcado (P0), expresado en pesos al 31 de diciembre de 2018, que la Dirección General de Aeronáutica Civil pagará al Concesionario, será el valor de P 0= $3.950 (tres mil novecientos cincuenta pesos chilenos).
La Tarifa por Pasajero Embarcado se reajustará según la variación del Índice de Precios al Consumidor, de acuerdo a lo estipulado en el artículo 1.14.1.1.1 de las Bases de Licitación.
v. Percibir de la Dirección General de Aeronáutica Civil, por concepto de Subsidio Fijo a la Construcción con el objeto de aportar directamente al financiamiento de las obras del Aeropuerto Presidente Carlos Ibáñez del Campo, 8 (ocho) cuotas sucesivas, cada una por un monto de UF 166.000 (ciento sesenta y seis mil Unidades de Fomento), de acuerdo a lo establecido en el artículo 1.14.1.2 de las Bases de Licitación.
18.- Las garantías que deberá entregar el Concesionario por construcción y explotación de las obras, conforme a lo establecido en los artículos 1.8.3.1 y 1.8.3.2 de las Bases de Licitación, se indican a continuación:
GARANTÍA DE CONSTRUCCIÓN:
A más tardar 30 (treinta) días antes del respectivo inicio de las obras, la Sociedad Concesionaria deberá entregar separadamente tanto para el Aeropuerto Presidente Carlos Ibáñez del Campo como para el Aeródromo Balmaceda, la Garantía de Construcción, la cual deberá estar vigente durante toda la construcción de las obras y podrá estar constituida por hasta 10 (diez) boletas de garantía bancaria, todas de igual monto, o bien por una póliza de seguro de garantía para concesiones de obras públicas según lo dispuesto en el artículo 1.8.3.3 de las Bases de Licitación.
Cada Garantía de Construcción deberá ser emitida en la ciudad de Santiago de Chile por un Banco o una Compañía de Seguros de la plaza, según corresponda, a nombre del Director General de Concesiones de Obras Públicas y su glosa o materia asegurada deberá ser: "Para garantizar el cumplimiento de las obligaciones durante la Etapa de Construcción del Aeropuerto Presidente Carlos Ibáñez del Campo que forma parte de la obra pública fiscal denominada "Red Aeroportuaria Austral" o "Para garantizar el cumplimiento de las obligaciones durante la Etapa de Construcción del Aeródromo Balmaceda que forma parte de la obra pública fiscal denominada Red Aeroportuaria Austral", según corresponda.
Cada Garantía de Construcción deberá tener una vigencia mínima de 24 (veinticuatro) meses contados desde la fecha de inicio de la construcción de las obras y, en todo caso, deberá estar vigente hasta las Puestas en Servicio Provisorias de la Totalidad de las Obras señaladas en la letra d) del artículo 1.9.7 y en la letra i) del artículo 1.9.22, ambos de las Bases de Licitación, según corresponda, más 3 (tres) meses, sin perjuicio que el Concesionario hubiere entregado la Garantía de Explotación de las Obras correspondiente señalada en la letra b) del artículo 1.8.3.2 de las Bases de Licitación.
Cada garantía deberá ser pagadera a la vista por un monto total de UF 87.000 (ochenta y siete mil Unidades de Fomento).
Otorgada la autorización de la respectiva Puesta en Servicio Provisoria de la Totalidad de las Obras señalada en la letra d) del artículo 1.9.7 o en la letra i) del artículo 1.9.22, ambos de las Bases de Licitación, y una vez que hayan sido entregados los documentos exigidos por el Contrato de Concesión para finalizar la respectiva Etapa de Construcción, según lo dispuesto en el Reglamento de la Ley de Concesiones y en el artículo 1.10.1 punto c.3) de las Bases de Licitación, el Ministerio de Obras Públicas devolverá la Garantía de Construcción correspondiente, siempre que se haya recibido la Garantía de Explotación de las Obras a entera conformidad del Ministerio de Obras Públicas, de acuerdo al procedimiento establecido en el artículo 1.8.3.2 letra b) de las Bases de Licitación.
GARANTÍA DE EXPLOTACIÓN:
a) Garantía de Explotación de las Instalaciones Existentes
A más tardar 10 (diez) días antes de la Puesta en Servicio Provisoria de las Instalaciones Existentes señalada en el artículo 1.9.7 letra a) de las Bases de Licitación, el Adjudicatario o el Concesionario, según corresponda, deberá entregar para la aprobación del Ministerio de Obras Públicas la Garantía de Explotación de las Instalaciones Existentes del Aeropuerto Presidente Carlos Ibáñez del Campo, la cual podrá estar constituida por hasta 10 (diez) boletas de garantía bancarias, todas de igual monto; deberá ser emitida en la ciudad de Santiago de Chile por un Banco de la plaza a nombre del Director General de Concesiones de Obras Públicas; y su glosa deberá ser: "Para garantizar el cumplimiento de las obligaciones durante la Etapa de Explotación de las Instalaciones Existentes del Aeropuerto Presidente Carlos Ibáñez del Campo que forma parte de la obra pública fiscal denominada Red Aeroportuaria Austral".
Con todo, una vez aprobada la garantía por parte del Ministerio de Obras Públicas y autorizada la Puesta en Servicio Provisoria de las Instalaciones Existentes del Aeropuerto Presidente Carlos Ibáñez del Campo, el Concesionario podrá reemplazar las boletas de garantía bancaria por una Póliza de Seguro de Garantía para Concesiones de Obras Públicas según lo dispuesto en el artículo 1.8.3.3 de las Bases de Licitación, cuyo plazo de vigencia deberá ser el mismo señalado en el párrafo cuarto de la presente letra a).
Por otro lado, conjuntamente con la solicitud al Director General de Concesiones de Obras Públicas de autorización de la Puesta en Servicio Provisoria de las Instalaciones Existentes del Aeródromo Balmaceda señalada en el artículo 1.10.1 letra B) de las Bases de Licitación, el Concesionario entregará al Ministerio de Obras Públicas la Garantía de Explotación de las Instalaciones Existentes del Aeródromo Balmaceda, la cual podrá estar constituida por hasta 10 (diez) boletas de garantía bancarias, todas de igual monto, o bien, por una póliza de seguro de garantía para concesiones de obras públicas según lo dispuesto en el artículo 1.8.3.3 de las Bases de Licitación; ser emitida en la ciudad de Santiago de Chile por un Banco o Compañía de Seguros de la plaza, según corresponda, a nombre del Director General de Concesiones de Obras Públicas; y su glosa debe decir: "Para garantizar el cumplimiento de las obligaciones durante la Etapa de Explotación de las Instalaciones Existentes del Aeródromo Balmaceda que forma parte de la obra pública fiscal denominada Red Aeroportuaria Austral".
Cada garantía deberá ser pagadera a la vista, por un monto total de UF 24.000 (veinticuatro mil Unidades de Fomento), y tendrá un plazo de vigencia mínima de 24 (veinticuatro) meses, sin perjuicio que cada una de ellas deberá estar siempre vigente hasta la autorización de la Puesta en Servicio Provisoria de la Totalidad de las Obras que corresponda, de acuerdo a lo señalado en el artículo 1.10.1 letra C) de las Bases de Licitación.
Cada Garantía de Explotación de las Instalaciones Existentes deberá encontrarse aprobada por el Ministerio de Obras Públicas, previamente a su respectiva Puesta en Servicio, para lo cual el Concesionario estará obligado a efectuar las correcciones que fueren requeridas por el Inspector Fiscal en forma previa.
La Garantía de Explotación de las Instalaciones Existentes respectiva, será devuelta en el plazo de 30 (treinta) días contados desde la fecha en que se autorice la Puesta en Servicio Provisoria de la Totalidad de las Obras que corresponda.
b) Garantía de Explotación de las Obras
Conjuntamente con la primera solicitud al Director General de Concesiones de Obras Públicas de autorización de Puesta en Servicio Provisoria de las Obras para el Aeropuerto Presidente Carlos Ibáñez del Campo o para el Aeródromo Balmaceda, señalada en el artículo 1.10.1 letra C) de las Bases de Licitación, el Concesionario entregará al Ministerio de Obras Públicas la Garantía de Explotación de las Obras que corresponda.
Cada garantía podrá estar constituida por hasta 10 (diez) boletas de garantía bancarias, todas de igual monto, o bien, por una póliza de seguro de garantía para concesiones de obras públicas según lo dispuesto en el artículo 1.8.3.3 de las Bases de Licitación.
Cada Garantía de Explotación de las Obras deberá ser emitida en la ciudad de Santiago de Chile por un Banco o una Compañía de Seguros de la plaza, según corresponda, a nombre del Director General de Concesiones de Obras Públicas, y su glosa o materia asegurada deberá ser: "Para garantizar el cumplimiento de las obligaciones durante la Etapa de Explotación de las Obras del Aeropuerto Presidente Carlos Ibáñez del Campo que forma parte de la obra pública fiscal denominada Red Aeroportuaria Austral" o "Para garantizar el cumplimiento de las obligaciones durante la Etapa de Explotación de las Obras del Aeródromo Balmaceda que forma parte de la obra pública fiscal denominada Red Aeroportuaria Austral", según corresponda.
Cada garantía deberá ser pagadera a la vista, por un monto total de UF 34.000 (treinta y cuatro mil Unidades de Fomento).
Cada Garantía de Explotación de las Obras deberá estar vigente hasta la extinción de la Concesión conforme lo señalado en el artículo 1.7.6 de las Bases de Licitación, más 12 (doce) meses; no obstante, el Concesionario podrá optar por entregar una garantía cuya vigencia sea menor, de conformidad con lo dispuesto en el artículo 35º del Reglamento de la Ley de Concesiones, con un plazo no inferior a 3 (tres) años, y renovarlas antes de su término de vigencia, siempre que ello sea aceptado por el Director General de Concesiones de Obras Públicas y sea entregada 90 (noventa) días antes del vencimiento del anterior. Para ello, el Concesionario deberá solicitar por escrito al Director General de Concesiones de Obras Públicas la autorización requerida. Dentro de los 30 (treinta) días posteriores a la fecha de recepción en la Oficina de Partes de la Dirección General de Concesiones de dicha solicitud, el Director General de Concesiones de Obras Públicas comunicará por escrito su decisión de rechazo o aceptación de la solicitud. En este último caso el plazo de la última garantía será el que reste del período de explotación más 12 (doce) meses.
La Sociedad Concesionaria deberá entregar una Garantía de Explotación Adicional que tendrá como finalidad asegurar el cumplimiento de las condiciones en que el Estado recibirá la concesión, las que se indican en el artículo 1.13.2 de las Bases de Licitación. Dicha garantía será entregada cuando falten 12 (doce) meses para la extinción de la concesión según lo indicado en 1.7.6 o según lo indicado en 1.7.6.2, ambos artículos de las Bases de Licitación, lo que ocurra primero. Dicha garantía podrá estar constituida por hasta 10 (diez) boletas de garantía bancarias, todas del mismo monto, o bien, por una póliza de seguro de garantía para concesiones de obras públicas según lo dispuesto en el artículo 1.8.3.3 de las Bases de Licitación. Deberá ser emitida en la ciudad de Santiago de Chile por un Banco o una Compañía de Seguros de la plaza, según corresponda, a nombre del Director General de Concesiones de Obras Públicas, pagadera a la vista, por un monto total de UF 68.000 (sesenta y ocho mil Unidades de Fomento). La glosa y/o materia de dichos documentos será la siguiente: "Para asegurar el cumplimiento de las condiciones en las que el Estado recibirá la Concesión, de acuerdo a lo establecido en las Bases de Licitación de la obra pública fiscal denominada Red Aeroportuaria Austral". El plazo de vigencia de esta garantía adicional será de 3 (tres) años.
La Garantía de Explotación de las Obras será devuelta en el plazo de 30 (treinta) días contados desde que el Inspector Fiscal certifique que el Concesionario ha cumplido con todas las obligaciones contraídas con el Ministerio de Obras Públicas. La Garantía de Explotación Adicional será devuelta por el Ministerio de Obras Públicas dentro del plazo de 30 (treinta) días siguientes al término de vigencia de la misma.
19.- Conforme a lo señalado en el artículo 1.14.6 de las Bases de Licitación, el Estado y la Sociedad Concesionaria realizarán los pagos que correspondan en virtud del Contrato de Concesión, en los plazos previstos en las Bases de Licitación. Asimismo, de acuerdo a lo señalado en el artículo 1.14.5 de las Bases de Licitación, en caso que se produzcan retrasos, dichos pagos devengarán por cada día de retraso un interés real equivalente a la tasa de interés TAB UF base 360 publicada por la Asociación de Bancos e Instituciones Financieras, vigente el día de retraso, dividida por 360, sin capitalización de intereses. En caso que la tasa de interés TAB UF base 360 dejare de existir, se aplicará la tasa equivalente. El pago de intereses por parte del Concesionario será adicional a la aplicación de las multas que correspondan. No obstante lo anterior, el retraso injustificado de los pagos que la Sociedad Concesionaria tenga que realizar al Estado dará derecho a éste al cobro de la correspondiente garantía conforme a lo señalado en el artículo 1.8.3 letra k) de las Bases de Licitación.
20.- Las multas que procedan se aplicarán conforme a lo estipulado en las Bases de Licitación; a lo dispuesto en el DS MOP Nº 900 de 1996, que fija el texto refundido, coordinado y sistematizado del DFL MOP Nº164 de 1991, Ley de Concesiones de Obras Públicas; y en el DS MOP Nº 956 de 1997, Reglamento de la Ley de Concesiones, y sus respectivas modificaciones.
21.- La Dirección General de Concesiones de Obras Públicas será el servicio del Ministerio de Obras Públicas que fiscalizará el Contrato de Concesión en sus diversos aspectos.
Anótese, tómese razón y publíquese.- SEBASTIÁN PIÑERA ECHENIQUE, Presidente de la República.- Alfredo Moreno Charme, Ministro de Obras Públicas.
Lo que transcribo a Ud. para su conocimiento.- Saluda Atte. a Ud., Cristóbal Leturia Infante, Subsecretario de Obras Públicas.