AUTORIZA POSTERGACIÓN DE PERMISOS DE SUBDIVISIÓN, LOTEO O URBANIZACIÓN PREDIAL Y DE CONSTRUCCIONES POR PLAZO QUE INDICA
Núm. 1.799.- Puerto Varas, 7 de mayo de 2021.
Vistos:
a) Lo dispuesto en el Art. 117 de la Ley General de Urbanismo y Construcciones; y teniendo presentes las facultades que me confieren los artículos 5 letras d) y k), 6, 12 y 63 letra i) de la Ley 18.695, Orgánica Constitucional de Municipalidades.
b) La ley Nº 21.202 "Modifica diversos cuerpos legales con el objetivo de proteger los Humedales Urbanos" del Ministerio del Medio Ambiente y el procedimiento establecido en su artículo 3º.- "Desde la presentación de la petición de reconocimiento de la calidad de humedal urbano y hasta el pronunciamiento del Ministerio del Medio Ambiente, la municipalidad respectiva podrá postergar la entrega de permisos de subdivisión, loteo o urbanización predial y de construcciones en los terrenos en que se encuentren emplazados, dicha postergación se realizará utilizando, en lo que corresponda, el procedimiento establecido en el artículo 117 de la Ley General de Urbanismo y Construcciones".
c) El Reglamento de la ley Nº 21.202, que en su artículo 6°.- establece "La solicitud de reconocimiento de humedal urbano por parte de uno o más municipios se deberá presentar en la oficina de partes de la respectiva Seremi, mediante oficio dirigido al Ministro(a) del Medio Ambiente, debidamente firmada por el (la) Alcalde(sa) del municipio solicitante".
d) Nuestro Ord. Nº 0660, de fecha 26 de abril de 2021, a la Sra. Ministra del Medio Ambiente, solicitando la declaratoria de Humedal Urbano Quebrada Gramado.
e) El Ord. Nº 125/2021, de fecha 30 de abril de 2021, del Secretario Regional Ministerial del Medio Ambiente de Los Lagos que acoge a trámite la solicitud de declaración de humedal urbano Quebrada Gramado y adjunta resolución Nº 64.
f) la resolución exenta Nº 64, de fecha 30 de abril de 2021, del Secretario Regional Ministerial del Medio Ambiente de Los Lagos, que "Declara Admisible solicitud de reconocimiento de Humedal Urbano Quebrada Gramado".
g) El decreto Nº 1.565, de 15 de abril de 2021, que designa como Alcalde subrogante a don Ignacio Chávez Rosas.
Considerando:
a) Nuestro Ord. Nº 680, de fecha 3 de mayo de 2021, al Sr. Seremi de Vivienda y Urbanismo de Los Lagos, solicitando informe favorable para la Postergación de Permisos de Subdivisión, Loteo o Urbanización Predial y de Construcciones en Humedal Urbano Quebrada Gramado, por un plazo de 6 meses.
b) El oficio Ord. Nº 509, de fecha 7 de mayo de 2021, mediante el cual el Secretario Regional Ministerial de Vivienda y Urbanismo de Los Lagos, informa favorablemente la solicitud de Postergación de Permisos de Subdivisión, Loteo o Urbanización Predial y de Construcciones en Humedal Urbano Quebrada Gramado.
c) La necesidad de reconocer y proteger el Humedal Urbano Quebrada Gramado de nuestra comuna, de acuerdo a la ley Nº 21.202 "Modifica diversos cuerpos legales con el objetivo de proteger los Humedales Urbanos", del Ministerio del Medio Ambiente.
Decreto:
1. Autorízase la Postergación de Permisos de Subdivisión, Loteo o Urbanización Predial y de Construcciones por el plazo inicial de tres (03) meses de los terrenos ubicados dentro del polígono correspondiente al Humedal Urbano Quebrada que a continuación se describe:

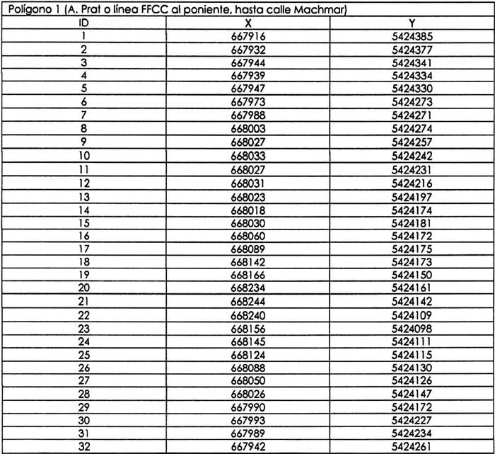
Tabla 1. Coordenadas geográficas del polígono 1 del humedal urbano Quebrada Gramado, con proyección UTM, Datum WGS84, Huso 18S.


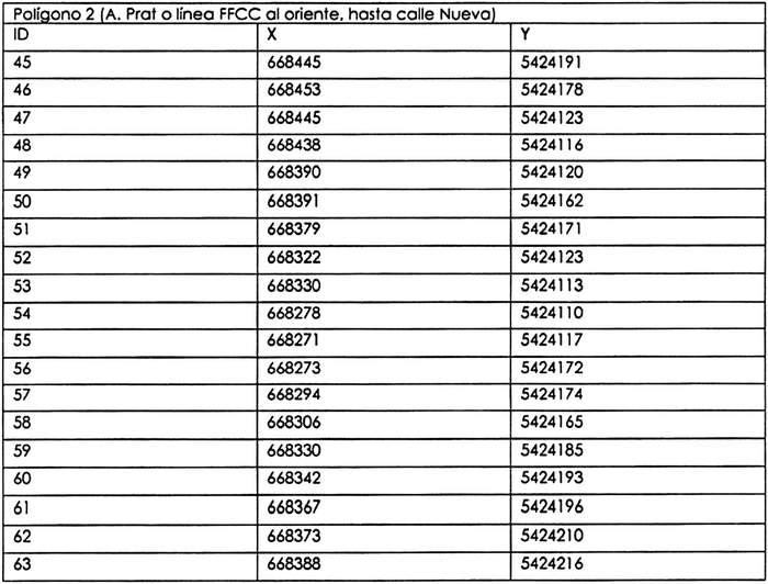
Tabla 2. Coordenadas geográficas del polígono 2 del humedal urbano Quebrada Gramado, con proyección UTM, Datum WGS84, Huso 18S.

Tabla 3. Coordenadas geográficas del polígono 3 del humedal urbano Quebrada Gramado, con proyección UTM, Datum WGS84, Huso 18S.

2. La postergación de Permisos de Subdivisión, Loteo o Urbanización Predial y de Construcciones en los polígonos señalados y para las condiciones establecidas en el punto 1 precedente se hará efectiva por el plazo inicial de tres (03) meses a partir de la publicación en el Diario Oficial del presente decreto.
3. Publíquese por una sola vez en el Diario Oficial y en algún diario de los de mayor circulación de la comuna.
4. Remítase copia de este decreto a la Secretaría Regional Ministerial de Vivienda y Urbanismo de Los Lagos.
Anótese, comuníquese, publíquese en el Portal de Transparencia y una vez hecho, archívese.- Ignacio Chávez, Alcalde (S) comuna de Puerto Varas.- Adriana Soto Nieto, Secretaria Municipal.