1. Reemplácese cuadro contenido en resuelvo primero, 1.a), de resolución exenta Nº 261, de fecha 18 de febrero de 2021, referido a las Copropiedades seleccionadas correspondientes a Condominios de Vivienda Social, por el cuadro inserto a continuación:


2. Reemplácese filas 1, 2 y fila referida al Total, en tabla inserta en resuelvo primero, 1.b) de la resolución exenta Nº 261, de fecha 18 de febrero de 2021, en el que se individualiza a las Copropiedades seleccionadas insertas en Conjuntos Habitacionales intervenidas por el Programa de Recuperación de Barrios, por las filas que se informan a continuación:

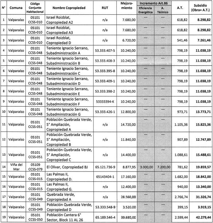
3. Reemplácese tabla inserta en el punto 1.c) de resuelvo primero, de la resolución exenta Nº 261, de fecha 18 de febrero de 2021, en el que se individualiza Copropiedades seleccionadas correspondientes a Condominios de Viviendas Económicas, por la tabla siguiente:

4. Reemplácese tabla de resumen de asignación de recursos, contenida en el punto 1.d) del resuelvo primero de la resolución exenta Nº 261, de fecha 18 de febrero de 2021, por la tabla que se indica a continuación:

5. Reemplácese el texto correspondiente al resuelvo 2 de la resolución exenta Nº 261, de fecha 18 de febrero de 2021, por el siguiente:
"2. Fíjase el número de postulantes seleccionados en la Región de Valparaíso de acuerdo a la distribución regional de recursos consignada en el resuelvo 10 de resolución exenta Nº 159, de fecha 12 de febrero del año 2021, citada en el visto h) de la presente resolución, según se indica en la siguiente tabla.".
6. Reemplácese fila 23 de la tabla inserta en el resuelvo 2, de la resolución exenta Nº 261, de fecha 18 de febrero de 2021, correspondiente a la Copropiedad Arturo Prat de la Comuna de La Ligua, y la fila referida al Total de la misma tabla, por la que se individualiza a continuación:

7. Rectifíquese montos y nóminas de beneficiarios de subsidios establecidas en resuelvo tercero de resolución exenta Nº 261, de fecha 18 de febrero de 2021, por anexos a) y b) adjuntos a la presente resolución, y que forman parte de la misma.
8. Reemplácese el texto contenido en resuelvo 4 de la resolución exenta Nº 261, de fecha 18 de febrero de 2021, por el siguiente:
"4. Impútese el monto total de 486.462,47 Unidades de Fomento asignados en esta resolución, de las cuales 449.723,58 Unidades de Fomento corresponden a subsidio para la ejecución de Obras, y 36.738,89 Unidades de Fomento que corresponden a Asistencia Técnica, a los recursos autorizados a la Región de Valparaíso, para el Programa de Mejoramiento de Viviendas y Barrios del año 2020, Capítulo III para Condominios Viviendas.".