1. Modifícase la resolución exenta Nº 446 (V. y U.), de fecha 8 de abril de 2021 y sus modificaciones, en el sentido
a. Reemplazar la tabla inserta en su Resuelvo 2 por la siguiente:

b. Reemplazar el Resuelvo 5.3. por el siguiente:
"5.3. Para el presente llamado, el subsidio de habilitación establecido la letra h) del artículo 35, del DS Nº 49 (V. y U.), podrá alcanzar un monto único de 400 Unidades de Fomento en postulaciones individuales, mientras que, en postulaciones colectivas, el promedio del subsidio de habilitación, considerando todos los integrantes del grupo, será de hasta 400 Unidades de Fomento, pudiendo individualmente llegar hasta 600 Unidades de Fomento por beneficiario. No obstante, lo anterior, tratándose de postulaciones colectivas, mediante resolución del Director del Serviu se podrán ajustar los montos definitivos de habilitación con posterioridad a la selección, en función de modificaciones que surjan durante la ejecución del proyecto, manteniendo el promedio y monto máximo señalado en este mismo inciso.
Adicionalmente a las obras señaladas en el artículo mencionado en el inciso anterior, el subsidio de habilitación podrá utilizarse para financiar obras de urbanización tales como uniones domiciliarias, empalmes eléctricos o arranques de agua potable, rotura o reposición parcial o total de pavimentos, soluciones sanitarias especiales individuales o colectivas, obras especiales para la mitigación por zonas de inundación, y subestructuras que conecten la vivienda con sus fundaciones, obras de acceso a la vivienda, tales como escaleras exteriores y/o rampas, producto de la topografía, incluyendo su estructura y elementos complementarios, refuerzos estructurales respecto de predios vecinos, siempre y cuando existan informes y/o estudios, realizados por un profesional competente, que así lo determinen, o de acuerdo a lo requerido e indicado por el ltemizado Técnico de Construcción respectivo, obras de acceso a la vivienda, tales como escaleras exteriores y/o rampas, producto de la topografía, incluyendo su estructura y elementos complementarios.
Con todo, los montos mencionados reemplazarán al monto base e incremento mencionados en la letra h), del artículo 35 del DS Nº 49 (V. y U.), de 2011."
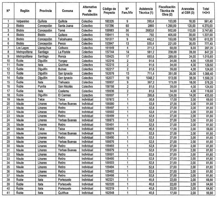
2. Apruébase la siguiente nómina de proyectos colectivos e individuales seleccionados, con su respectivo financiamiento total, para el otorgamiento de subsidios del Programa Habitacional Fondo Solidario de Elección de Vivienda, incluyendo los servicios de asistencia técnica y fiscalización técnica de obras, para proyectos de Construcción en Sitio Propio, modalidad de postulación colectiva, en las regiones de Valparaíso, Ñuble, Biobío, Los Lagos y Metropolitana y modalidad de postulación individual en la región de Maule y Ñuble; y para proyectos de pequeños condominios en las Regiones de Antofagasta y Metropolitana, correspondiente al proceso de selección cuyo cierre de postulación se efectuó el día 29 de abril de 2021, en el llamado efectuado por resolución exenta Nº 446 (V. y U.), de 2021:
Construcción en Sitio Propio

Pequeños Condominios

El detalle de los recursos comprometidos por concepto de subsidio base y subsidios complementarios para cada uno de los proyectos seleccionados en el presente Resuelvo y que por este acto se asignan, se informa en la nómina que se adjunta como anexo y forma parte integrante de la presente resolución.
3. El monto del subsidio asignado de conformidad con el cuadro del Resuelvo 2. de esta resolución comprende los siguientes montos por concepto de Servicios de Asistencia Técnica, de Labores de Fiscalización Técnica de Obra y pago de Aranceles al Conservador de Bienes Raíces:
Construcción en Sitio Propio

Pequeños Condominios

Dichos montos fueron calculados conforme a la resolución exenta Nº 1.875 (V. y U.), de 2015, mencionada en el visto d) de la presente resolución:
i. En el caso de los Servicios de Asistencia Técnica, los montos a pagar se determinan de acuerdo al número de familias que se benefician por esta resolución, conforme a lo establecido en el artículo 3, número 2 de la resolución exenta Nº 1.875 ya citada. En dicho monto, en los casos que correspondía, se incluyó el incremento relativo al área de "Elaboración de proyectos técnicos y contratación de obras", que se señala en el resuelvo 7.1 de la resolución exenta Nº 446 (V. y U.), de 2021. En el caso de los proyectos de Pequeños Condominios, se otorgó el monto establecido en el Resuelvo 7.2 de la resolución exenta Nº 446 (V. y U.), de 2021. Junto a ello, el monto total incluye los incrementos por concepto de Habilitación, Territorios Especiales y Localidades Aisladas, Discapacidad y Movilidad Reducida que determina la resolución exenta Nº 1.875 (V. y U.), de 2015;
Mediante resolución del Director del Serviu respectivo, se determinarán los montos definitivos de Asistencia Técnica, cuando corresponda otorgar los incrementos que la resolución exenta Nº 1.875 (V. y U.), de 2015, establece en las letras g.1), g.2), j) y k) del número 3 de su artículo 3º. En el caso de Pequeños Condominios, el Director deberá resolver el otorgamiento de las 5 UF adicionales que se establecen en el resuelvo 7.2 de la resolución exenta Nº 446 (V. y U.), de 2021, si es que dichos proyectos cumplen las condiciones ahí expresadas.
ii. Los montos a pagar por la Fiscalización Técnica de Obras se determinan de acuerdo a la totalidad de viviendas del proyecto, según el mecanismo expresado en el artículo 4º, número 17, de la resolución exenta Nº 1.875, ya citada.
4. Los recursos comprometidos en los Resuelvos 2. y 3. de la presente resolución, para los proyectos seleccionados en el concurso que se llamó por resolución exenta Nº 446 (V. y U.), de 2021, cuyo cierre de postulación se efectuó el día 29 de abril de 2021, se resumen en el siguiente cuadro para cada región del país, incluyendo la suma total de familias beneficiadas y Unidades de Fomento comprometidas, considerando los montos de subsidio de los proyectos, incluidos sus respectivos servicios de asistencia técnica y fiscalización técnica de obras, según alternativa de postulación:
