RECONOCE HUMEDAL URBANO HUMEDALES DE QUIRILLUCA
Núm. 772 exenta.- Santiago, 28 de julio de 2021.
Vistos:
Lo dispuesto en el artículo 70 letra z), de la ley N° 19.300, sobre Bases Generales del Medio Ambiente; en la ley N° 21.202, que Modifica diversos cuerpos legales con el objetivo de proteger los Humedales Urbanos; en el decreto supremo N° 15, de 2020, del Ministerio del Medio Ambiente, que establece Reglamento de la ley N° 21.202, que modifica diversos cuerpos legales con el objetivo de proteger los Humedales Urbanos; en la solicitud de reconocimiento de humedal urbano contenido en el oficio ordinario N° 1129/2021 de la I. Municipalidad de Puchuncaví, ingresado a la Seremi del Medio Ambiente de la Región de Valparaíso el 29 de enero de 2021; en la resolución N° 6, de 9 de abril de 2021, de la Secretaria Regional del Ministerio del Medio Ambiente de la Región de Valparaíso, que declara admisible solicitud de reconocimiento de Humedal Urbano al Humedal de Los Maitenes - Campiche y Humedales de Quirilluca presentada por la Municipalidad de Puchuncaví; en la resolución exenta N° 249, de 2020, del Ministerio del Medio Ambiente, que instruye medidas extraordinarias de visación de documentos del Ministerio del Medio Ambiente-Subsecretaría del Medio Ambiente a raíz de la alerta sanitaria por emergencia de salud pública de importancia internacional (ESPII) por brote de coronavirus (COVID-19); en el memorándum N° 235/2021 de la División de Recursos Naturales y Biodiversidad del Ministerio del Medio Ambiente; en los demás antecedentes que constan en el expediente administrativo; en la resolución N° 7, de 2019, de la Contraloría General de la República, que fija normas sobre exención del trámite de toma de razón; y,
Considerando:
1. Que el artículo 1° de la ley N° 21.202 establece que tiene por objeto proteger los Humedales Urbanos declarados por el Ministerio del Medio Ambiente, de oficio o a petición del municipio respectivo, entendiendo por tales todas aquellas extensiones de marismas, pantanos y turberas, o superficies cubiertas de aguas, sean estas de régimen natural o artificial, permanentes o temporales, estancadas o corrientes, dulce, salobres o saladas, incluidas las extensiones de agua marina, cuya profundidad en marea baja no exceda los seis metros y que se encuentren total o parcialmente dentro del límite urbano.
2. Que el procedimiento de declaración de Humedales Urbanos a solicitud de los municipios se encuentra regulado en el artículo 6 y siguientes del DS N° 15, de 2020, del Ministerio del Medio Ambiente, que establece Reglamento de la ley N° 21.202, que Modifica diversos cuerpos legales con el objetivo de proteger los Humedales Urbanos ("Reglamento").
3. Que, mediante el Oficio Ordinario N° 1129/2021, ingresado a oficina de partes de la Secretaría Regional Ministerial del Medio Ambiente de la Región de Valparaíso el 29 de enero de 2021, la Municipalidad de Puchuncaví solicitó el reconocimiento del Humedal Urbano denominado Humedales de Quirilluca, de Puchuncaví, Región de Valparaíso, con una superficie de 46,1 hectáreas, conformado por los humedales denominados Quirilluca 1 y Quirilluca 2, ubicados parcialmente dentro del límite urbano. Asimismo, en dicha solicitud acompañó la cartografía propuesta por la Municipalidad, entre otros antecedentes.
4. Que la información presentada por la Municipalidad para la identificación del respectivo humedal se encuentra en el oficio ordinario N° 307, del 17 de marzo 2021, documento denominado "Ingreso Inf. complementaria Quirilluca. Dicho documento y todos aquellos que se han tenido en consideración para la presente declaración se encuentran contenidos en el expediente respectivo, publicado en el siguiente enlace: https://humedaleschile.mma.gob.cl/wp-content/uploads/2021/07 /Expediente- Humedales- de-Quirilluca.zip.
5. Que, mediante la resolución N° 6, de 9 de abril de 2021, la Secretaría Regional Ministerial del Medio Ambiente de la Región de Valparaíso declaró admisible la solicitud de reconocimiento de Humedal Urbano Humedales de Quirilluca presentada por la Municipalidad de Puchuncaví, de conformidad al artículo 9° del Reglamento.
6. Que, en cumplimiento de lo dispuesto en el artículo 9° del Reglamento, con la publicación en el Diario Oficial del listado de solicitudes de reconocimiento de Humedales Urbanos declaradas admisibles en el mes anterior, con fecha 3 de mayo de 2021, comenzó el transcurso del plazo de 15 días hábiles para la recepción de antecedentes adicionales. Cabe señalar que se consideró como información pertinente aquella relacionada con las circunstancias que habilitan a este Ministerio para declarar un determinado humedal como Humedal Urbano de conformidad a lo dispuesto en el artículo 1° de la ley N° 21.202, esto es, que corresponda efectivamente a un humedal y que se encuentre, total o parcialmente, ubicado dentro del límite urbano. Por lo tanto, luego de su análisis técnico, se estima que en dicha etapa no se recibieron antecedentes adicionales pertinentes respecto del Humedal Urbano Humedales de Quirilluca, según da cuenta la denominada "Ficha Análisis Técnico Reconocimiento Humedal Urbano a Solicitud de la Municipalidad de Puchuncaví" ("Ficha Técnica").
7. Que el artículo 8° del Reglamento dispone que la delimitación de los humedales deberá considerar al menos uno de los siguientes criterios: (i) la presencia de vegetación hidrófita; (ii) la presencia de suelos hídricos con mal drenaje o sin drenaje; y/o (iii) un régimen hidrológico de saturación ya sea permanente o temporal que genera condiciones de inundación periódica.
8. Que, como consecuencia del análisis técnico, contenido en la Ficha Técnica, para la declaratoria, fue necesario ajustar la cartografía presentada por la Municipalidad de Puchuncaví dando paso a la cartografía oficial del Humedal Urbano, en atención al cumplimiento de los criterios de delimitación de presencia de vegetación hidrófita y de un régimen hidrológico de saturación ya sea permanente o temporal que genera condiciones de inundación periódica.
9. Que, de este modo, el Humedal Urbano denominado Humedales de Quirilluca, según consta en la Ficha Técnica, es un humedal natural, palustre permanente, comprendidos por los humedales denominados Quirilluca 1 y Quirilluca 2, este último fragmentado por la denominada ruta F30E que da lugar a dos polígonos, ubicado en la comuna de Puchuncaví, región de Valparaíso, que posee una superficie aproximada de 34,5 hectáreas y que se ubica parcialmente dentro del límite urbano.
10. Que mediante memorándum 235/2021, de 12 de julio de 2021, la División de Recursos Naturales y Biodiversidad solicitó la declaración del Humedal Urbano Humedales de Quirilluca.
Resuelvo:
1° Declárese como Humedal Urbano, para efectos de lo dispuesto en la ley N° 21.202, el humedal denominado Humedal Urbano Humedales de Quirilluca, cuya superficie aproximada es de 34,5 hectáreas, ubicado en la comuna de Puchuncaví, Región de Valparaíso.
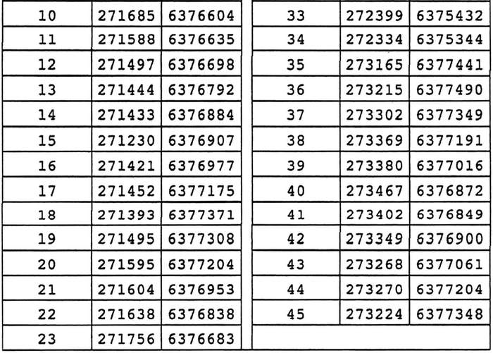
2° Establézcase los límites del Humedal Urbano Humedales de Quirilluca, representados en la cartografía oficial, y que se detallan en coordenadas referenciales UTM según Datum WGS 84, huso 19 sur y son las siguientes:


Para todos los efectos legales, la cartografía oficial, autorizada por el Subsecretario del Medio Ambiente como ministro de fe, forma parte integrante del presente decreto y puede ser consultada en las dependencias del Ministerio del Medio Ambiente, así como en el siguiente enlace: https:// humedaleschile.mma.gob.cl/wp-content/upload/2021/07/Cartografia-H.U-Humedales-de-Qulicura.pdf
3° Publíquese la presente resolución en el Diario Oficial y en la página eléctronica del Ministerio del Medio Ambiente.
Anótese, comuníquese, publíquese y archívese.- Carolina Schmidt Zaldívar, Ministra del Medio Ambiente.
Lo que transcribo para Ud. para los fines que estime pertinentes.- Javier Naranjo Solano, Subsecretario del Medio Ambiente.