OTORGA CONCESIÓN DE SERVICIO PÚBLICO DE TRANSMISIÓN DE DATOS A LA EMPRESA VTR COMUNICACIONES SPA
Santiago, 21 de julio de 2021.- Con esta fecha se ha decretado lo que sigue:
Núm. 136.
Vistos:
a) El decreto ley Nº 1.762, de 1977, que creó la Subsecretaría de Telecomunicaciones, en adelante "la Subsecretaría".
b) La Ley Nº 18.168, Ley General de Telecomunicaciones, en adelante "la Ley".
c) El decreto supremo Nº 103, de 2008, del Ministerio de Transportes y Telecomunicaciones, que faculta al Ministro de Transportes y Telecomunicaciones para firmar "Por orden de la Presidenta de la República".
d) El decreto supremo Nº 353, de 2001, del Ministerio de Transportes y Telecomunicaciones, Reglamento del Fondo de Desarrollo de las Telecomunicaciones, y sus modificaciones.
e) La resolución Nº 7, de 2019, de la Contraloría General de la República, que Fija Normas sobre Exención del Trámite de Toma de Razón.
f) La resolución afecta Nº 16, de fecha 12.02.2013, de la Subsecretaría, que aprueba las Bases Generales para Concursos Públicos para la Asignación de Proyectos y sus respectivos Subsidios, correspondientes al Programa Anual de Proyectos Subsidiables del Fondo de Desarrollo de las Telecomunicaciones.
g) La resolución afecta Nº 2, de fecha 20.04.2020, de la Subsecretaría, que aprueba las Bases Específicas para el Concurso Público "Conectividad para la Educación 2030", Código: FDT-2019-04, modificada mediante resolución afecta Nº 4, de fecha 08.07.2020, de la misma Subsecretaría.
h) Las Sesiones LV y LIX, del Consejo de Desarrollo de las Telecomunicaciones, de fechas 29.01.2019 y 15.01.2020, respectivamente que autorizan el llamado a Concurso Público del literal g) de los Vistos y fija el monto máximo de subsidio para la asignación del mismo.
i) La resolución exenta Nº 1.003, modificada por la resolución exenta Nº 1.201, ambas de 2020 y de la Subsecretaría, que aprueba el Informe de Respuestas a las Consultas y Aclaraciones formuladas a las Bases Generales y Específicas del Concurso Público de los literales f) y g) de los Vistos, respectivamente.
j) Los ingresos Subtel Nº 187.252, Nº 186.713, Nº 187.256 y Nº 186.770, todos de fecha 05.08.2020, por los cuales VTR Comunicaciones SpA presenta su Propuesta al Concurso Público del literal g) de los Vistos, para la Zona 16.
k) Los ingresos Subtel Nº 249.556, Nº 249.557 y Nº 249.558, todos de fecha 05.08.2020, por los cuales GTD Manquehue S.A. da respuesta a los primeros requerimientos aclaratorios formulados por Subtel a su Propuesta del literal j) de los Vistos.
l) Los ingresos Subtel Nº 278.137, Nº 278.164, ambos de fecha 06.11.2020 y Nº283.766 de fecha 13.11.2020, por los cuales VTR Comunicaciones SpA da respuesta a los segundos requerimientos aclaratorios formulados por Subtel a su Propuesta del literal j) y los ingresos Subtel del literal k), ambos de los Vistos, correspondientes a los "Set A" y "Set B", respectivamente.
m) El oficio Ord. Nº 19.852/GFDT Nº 449 de fecha 18.12.2020, de la Subsecretaría, por el cual se comunica a VTR Comunicaciones SpA la adjudicación de su Propuesta de los literales j), k) y l) de los Vistos, para la Zona 16 del Concurso Público del literal g) de los Vistos.
Considerando:
a) Lo solicitado por la interesada mediante ingresos Subtel Nºs. 2.601 y 2.812, ambos de fecha 07.01.2021, para la Zona 16, del Concurso Público "Conectividad para la Educación 2030", Código: FDT-2019-04, cuya Propuesta consta de los ingresos Subtel señalados en los literales j), k) y l) de los Vistos.
b) El Acta de fecha 10.12.2020, correspondiente a la LXIII Sesión del Consejo de Desarrollo de las Telecomunicaciones, que resolvió adjudicar el Concurso Público "Conectividad para la Educación 2030", Código: FDT-2019-04, y su respectivo Subsidio, para la Zona 16, a VTR Comunicaciones SpA.
c) La resolución exenta Nº 433, de fecha 01.03.2021, de la Subsecretaría, que asigna el Proyecto "Conectividad para la Educación 2030", Código: FDT-2019-04, para la Zona 16, a VTR Comunicaciones SpA.
d) El oficio Ord. Nº 6.049/GFDT Nº 139 de fecha 26.04.2021, de la Subsecretaría, por el cual se comunica a VTR Comunicaciones SpA la aprobación del Plan de Despliegue Ajustado y el Informe de Detalle de Asignaciones Internas, para la Zona 16.
Decreto:
Otórgase concesión de Servicio Público de Transmisión de Datos, a la empresa VTR Comunicaciones SpA, RUT Nº 76.114.143-0, Avenida Apoquindo Nº 4800, piso 14, comuna de Las Condes, Región Metropolitana de Santiago, en adelante la concesionaria, en el sentido que se indica en los numerandos siguientes.
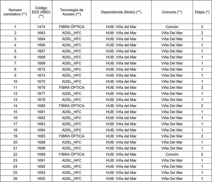
1. Autorízase a la concesionaria a instalar, operar y explotar los sistemas que a continuación se indican, a fin de proveer el Servicio de Conectividad en los Establecimientos Educacionales Subvencionados (EES) de la Región de Valparaíso, que pertenezcan a la Zona 16, adjudicada a ella en el marco del Concurso Público "Conectividad para la Educación 2030", Código: FDT-2019-04, en los términos que exigen las Bases de Concurso y el Proyecto Comprometido y asignado, así como lo que en definitiva sea autorizado.




(*) En número de referencia a la Etapa corresponde a la fase en cuyo plazo máximo deberá prestar el Servicio de Conectividad en los EES que pertenecen a la Zona 16 conforme a lo indicado en el resuelvo octavo de la resolución exenta Nº 433, de fecha 01.03.2021, de la Subsecretaría de Telecomunicaciones.
(**) Durante todo el Periodo de Obligatoriedad de las Exigencias de las Bases, la base de EES que pertenezcan a la Zona 16 podrá ser modificada incorporando nuevos EES o dando de baja algunos de ellos, producto de las aperturas, cierres traslados recesos, renuncias o fusiones de EES, lo cual se reflejará en el Reporte de Operaciones previsto en el numeral 7.2 del Anexo Nº 7 de las Bases Específicas del Concurso.
1.1 Instalar, operar y explotar los siguientes tramos de Fibra Óptica, correspondientes a la red de transporte, según se indica a continuación:

(*) Los nodos anteriormente individualizados corresponden a puntos de concentración ubicados en determinados EES y, desde este punto se derivan enlaces de Fibra Óptica hacia los demás EES según su ubicación geográfica y según la tecnología declarada en la tabla del numeral primero del presente decreto.
2 Instalar, operar y explotar los siguientes Nodos de Fibra Óptica, correspondientes a la red de acceso, según se indica a continuación:

1.3 Las interconexiones a las redes públicas existentes, serán a través de medios propios o de terceros debidamente autorizados.
2. La Zona de servicio comprenderá las comunas de Concón, Puchuncaví, Quintero y Viña del Mar, todas de la Región de Valparaíso.
3. El Servicio objeto de la presente concesión deberá prestarse con estricto apego a la normativa de calidad que al efecto contemple la ley Nº 18.168, sus modificaciones y demás normas reglamentarias y/o técnicas vigentes, como asimismo aquellas que exigencias de calidad, operación y supervisión del Servicio de Conectividad para los EES que pertenezcan a la Zona 16 descritas en la resolución exenta Nº 433, de 2020, de la Subsecretaría de Telecomunicaciones.
4. Para la supervisión del Servicio de Conectividad en los EES que pertenezcan a la Zona 16, la concesionaria utilizará un NOC propio cuya identificación corresponde a la indicada en la siguiente tabla.

5. El Periodo de Obligatoriedad de las Exigencias de las Bases terminará el 31 de diciembre de 2029, durante este periodo, la concesionaria deberá cumplir con las exigencias de las Bases de Concurso, lo comprometido en la Propuesta y con los términos de la asignación, todos indicados en los literales f), g), i), j), k) y l) de los Vistos y los literales c) y d) del Considerando, respectivamente.
6. La concesionaria en su carácter de Beneficiaria deberá desplegar e instalar todos los elementos comprometidos en el Proyecto Técnico respectivo y necesarios para dar inicio al Servicio de Conectividad, obteniendo la respectiva Alta de Servicio en todos los EES de la Zona adjudicada que pertenezcan a cada una de las Etapas de dicha Zona dentro de los plazos que se señalan a continuación, los cuales se computarán en días corridos desde la publicación en el Diario Oficial del presente decreto, y previa recepción conforme de las obras e instalaciones asociadas a la misma por parte de la Subsecretaría.

(*) EES según Etapa declarada en la tabla del numeral primero del presente decreto.
7. El monto de Subsidio máximo anual asignado para el Proyecto Concursable adjudicado es el siguiente:

El pago del subsidio máximo anual asignado se realizará con posterioridad al cumplimiento de los hitos de Alta de Servicio de acuerdo con las Etapas de inicio del Servicio de Conectividad y conforme la disponibilidad presupuestaria del año de operación respectivo. Asimismo, tal pago se realizará de acuerdo con el Subsidio mensual calculado para cada Zona asignada, el cual se pagará de forma mensualizada y en función de los EES pertenecientes a la Zona respectiva respecto de los cuales se provea efectivamente el Servicio de Conectividad comprometido.
8. Apruébese el Proyecto Comprometido, base de la solicitud presentada por la concesionaria, conforme a las disposiciones técnico-legales que rigen el servicio de telecomunicaciones concedido. La documentación respectiva quedará archivada en la Subsecretaría.
9. El período de vigencia de la presente concesión será de 30 años, contados desde la publicación de presente decreto en el Diario Oficial.
10. Es obligación de la concesionaria el conocimiento y cumplimiento de las disposiciones legales, reglamentarias y técnicas que regulan el servicio de telecomunicaciones concesionado, en lo que le sea aplicable. Asimismo, lo establecido en las Bases de Concurso, lo comprometido en la Propuesta y con los términos de la asignación, todos indicados en los literales f), g), i), j), k) y l) de los Vistos y los literales c) y d) del Considerando, respectivamente.
Anótese, tómese razón, comuníquese, notifíquese a la interesada y publíquese en el Diario Oficial.- Por orden del Presidente de la República, Gloria Hutt Hesse, Ministra de Transportes y Telecomunicaciones.
Lo que transcribo para su conocimiento.- Saluda atentamente a Ud., Francisco Miranda Olivos, Jefe División Concesiones (S).
CONTRALORÍA GENERAL DE LA REPÚBLICA
División de Infraestructura y Regulación
Cursa con alcances el decreto Nº 136, de 2021, del Ministerio de Transportes y Telecomunicaciones
Nº E129455/2021.- Santiago, 13 de agosto de 2021.
Esta Contraloría General ha dado curso al instrumento del rubro, que otorga concesión de servicio público de transmisión de datos a la empresa VTR Comunicaciones SpA, sin embargo, es del caso indicar en relación a lo señalado en el literal k) de los vistos del documento en estudio, que fue esa empresa la que dio respuesta a los requerimientos aclaratorios ahí indicados, y no la que se menciona en dicho literal.
Además, cabe hacer presente que la resolución exenta Nº 433 de la Subsecretaría de Telecomunicaciones, indicada en el numeral 3 del acto examinado, es del año 2021, y que se advierte un error en el orden de la numeración del punto 1 del acto examinado.
Saluda atentamente a Ud., por orden del Contralor General de la República, Juan Carlos Lillo Valenzuela, Subjefe de División.
A la señora
Ministra de Transportes y Telecomunicaciones
Presente.