ACUERDO ADOPTADO POR EL CONSEJO DEL BANCO CENTRAL DE CHILE EN SU SESIÓN ORDINARIA Nº 2420
Certifico que el Consejo del Banco Central de Chile, en su Sesión Ordinaria N° 2420, celebrada el 2 de septiembre de 2021, adoptó el siguiente Acuerdo:
2420-02-210902 – Modifica el Capítulo III.B.2.2 del Compendio de Normas Financieras del Banco Central de Chile, para permitir la transición gradual desde la regulación sobre medición y control de los riesgos de mercado de las empresas bancarias hacia la regulación dictada por la Comisión para el Mercado Financiero, de conformidad con el artículo 67 de la Ley General de Bancos y la Ley N° 21.130, de 2019.
1. Incorporar al principio del Capítulo III.B.2.2 del Compendio de Normas Financieras (CNF), luego de su título, el siguiente párrafo:
"En el contexto de implementación en Chile de Basilea III, la presente regulación será derogada gradualmente permitiendo la entrada en vigencia de la normativa que corresponde emitir en este ámbito a la Comisión para los Mercados Financieros (CMF). Los términos y condiciones de este proceso se detallan y explican en el artículo transitorio incorporado al final del presente Capítulo."
2. Incorporar la siguiente Disposición Transitoria en el Capítulo III.B.2.2 del CNF:
"DISPOSICIÓN TRANSITORIA
El BCCh regula la medición y control de los riesgos de mercado de los bancos, tanto del libro de banca como de negociación a través del Capítulo III.B.2.2 haciendo uso de su facultad para fijar límites a las relaciones activas y pasivas que deben observar las empresas bancarias desde el año 2005.
Por su parte, la Ley N° 21.130 de 2019 modernizó la Legislación Bancaria, adecuando la Ley General de Bancos (LGB), entre cuyos cambios se incluyó la determinación de activos ponderados por riesgo (APR) de las empresas bancarias necesarias para determinar requerimientos de patrimonio efectivo y capital básico, considerándose en la aprobación de dicha legislación de acuerdo a las recomendaciones y orientaciones de Basilea III elaborado por el Comité de Supervisión Bancaria del Banco de Pagos Internacionales.
Al efecto, los APR comprenden en su determinación los riesgos de crédito, de mercado y operacional, cuyas metodologías fueron establecidas por la Comisión para el Mercado Financiero (CMF) mediante norma de carácter general, previo acuerdo favorable del Consejo del Banco Central de Chile (BCCh), de acuerdo al artículo 67 de la LGB.
Adicionalmente, en la misma modificación legal, se incorporó el artículo 66 quinquies, que permite a la CMF a imponer requerimientos patrimoniales adicionales a los bancos, si es que, como resultado del proceso de supervisión, los riesgos no están suficientemente cubiertos (pilar 2 de Basilea III). Para ello, la CMF debe establecer los criterios y directrices que tomará en cuenta para la determinación de cargos adicionales mediante norma de carácter general.
Las regulaciones impartidas por la CMF que permitirán implementar esta nueva legislación en el ámbito de riesgos de mercado para fines de APR, se encuentran contenidas en el nuevo Capítulo 21-7 "Determinación de los APR de mercado" de su Recopilación Actualizada de Normas (RAN). Por su parte, la CMF estableció los requerimientos relacionados al pilar 2 de Basilea III, en el Capítulo 21-13 "Evaluación de la Suficiencia de Patrimonio Efectivo de los Bancos", de la misma RAN, cuya vigencia diferida se contempla en la respectiva normativa.
En este contexto legal y regulatorio, se ha considerado procedente adaptar en forma gradual la regulación del BCCh establecida en este Capítulo III.B.2.2, en forma consistente con la implementación progresiva de la mencionada normativa general impartida por la CMF.
Estas adaptaciones transitorias y criterios de derogación gradual y progresiva corresponden específicamente a las siguientes:
1) Desde la publicación del Acuerdo de Consejo del BCCh que disponga la incorporación de la presente disposición transitoria y hasta noviembre de 2021, inclusive, se aplicará el Capítulo III.B.2.2 sin modificaciones.
2) A contar del mes de diciembre de 2021, este Capítulo III.B.2.2 se aplicará parcialmente, considerando las siguientes adaptaciones específicas:
i. La definición de "Libro de Banca" contenida en el numeral 1-1 del Capítulo III.B.2.2, corresponderá a la contenida o que se contengan en el Capítulo 21-7 de la RAN de la CMF.
ii. Se derogarán los requerimientos sobre política de administración de riesgos de mercado (numerales 1.2 y 1.3 del Cap. III.B.2.2)
iii. Todas las disposiciones restantes del Capítulo III.B.2.2 (diferentes de los numerales 1.2 y 1.3) se aplicarán exclusivamente a la medición y control de riesgos de tasas de interés y del riesgo de reajustabilidad del Libro de Banca, quedando derogada su aplicación respecto a otras dimensiones comprendidas en el concepto de riesgos de mercado.
iv. Entrará en vigor una adaptación del Anexo N° 1 del Capítulo III.B.2.2, para su aplicación exclusiva a la medición y control de los riesgos de tasa de interés y riesgo de reajustabilidad para el Libro de Banca. Esta versión adaptada se encuentra contenida en el nuevo Anexo N° 1.1., que se incorpora en esta disposición transitoria, como parte de la misma.
v. Se derogará el Anexo N° 2, sobre estándares mínimos para el uso de modelos internos de medición de la exposición a los riesgos de mercado.
3) Considerando que a partir de abril de 2023 entrará en pleno vigor la regulación de la CMF sobre APR de mercado, en los términos indicados en los Capítulos 21-7 y 21-13 de la RAN, se dispone que el presente Capítulo III.B.2.2 se derogará íntegramente, dejando de regir a contar de abril de 2023.
4) Conjuntamente, a contar de la fecha precedentemente indicada, se derogarán el inciso segundo del numeral 2 y la mención al Capítulo III.B.2.2 que se contempla en el numeral 5 del Capítulo III.B.2 de este Compendio, ajustando su redacción conforme proceda.
En todo caso, se deja constancia que el plazo previsto para la derogación del Capítulo III.B.2.2 podrá ser prorrogada por períodos consecutivos de 6 meses, según lo requiera la CMF, a través de una solicitud formal al Banco Central de Chile para facilitar un proceso de implementación del marco de Capital de Basilea III en Chile, de conformidad con la LGB, que minimice eventuales efectos no deseados para la gestión del sistema bancario."
3. Reemplácese el Anexo 1 por el siguiente:
"ANEXO N°1
Aplicación en relación con disposición transitoria: Este Anexo se encontrará vigente hasta noviembre de 2021 de acuerdo a lo establecido en la disposición transitoria contenida en este Capítulo.
Desde diciembre de 2021 y mientras se encuentre vigente este período de transición, se aplicará el Anexo 1.1., contenido a continuación del Anexo N° 1.
Lo indicado, es sin perjuicio de la prórroga que pueda ser dispuesta por el Consejo del BCCh, respecto de la derogación gradual del Capítulo III.B.2.2, y sus Anexos, incluida la sustitución transitoria de estos, conforme lo pueda solicitar la CMF, en los términos previstos en la disposición transitoria.
METODOLOGÍA ESTANDARIZADA PARA LA MEDICIÓN DE LA EXPOSICIÓN A LOS RIESGOS DE MERCADO
1. Medición de la exposición al Riesgo de Tasas de Interés
Para efectos de medición de la exposición al riesgo de tasas de interés, las instituciones financieras deberán asignar los flujos correspondientes a las posiciones registradas en el activo y en el pasivo en bandas temporales. En esa asignación se deberá considerar en forma desagregada los intereses y la amortización del capital de acuerdo con lo establecido en los respectivos contratos, distinguiendo además según tipo moneda y tipo de tasa (fija o flotante). En el caso de operaciones pactadas a tasa flotante los flujos de intereses se incluirán en las correspondientes bandas temporales hasta el siguiente periodo de recálculo de la tasa, y la amortización del capital se incluirá en la banda temporal que corresponda a la fecha de ese recálculo.
Los flujos correspondientes a las posiciones en instrumentos derivados, excepto para el caso de opciones, deberán ser separados en los flujos asociados a los subyacentes respectivos y asignados a las bandas temporales que correspondan. Las posiciones en opciones se tratarán según lo establecido en el número 4 de este Anexo.
1.1 Medición de la exposición al Riesgo de Tasas de Interés del Libro de Negociación.
La exposición al riesgo de tasa de interés del libro de negociación corresponderá a la suma de los siguientes componentes, los que se calcularán utilizando los factores señalados en la Tabla 1 para cada moneda e índice de reajustabilidad:
i) La posición neta ponderada;
ii) El resultado de aplicar el factor
de ajuste vertical;
de ajuste vertical; iii) El resultado de aplicar los factores
de ajuste horizontal;
de ajuste horizontal; La posición neta ponderada corresponderá a:

donde:

El resultado de aplicar el factor de ajuste vertical corresponderá a:


La aplicación de los factores de ajuste horizontal (
y
según corresponda) deberá considerar, en primer lugar, las posiciones netas en cada una de las tres zonas definidas en la Tabla 1 y luego entre posiciones netas entre diferentes zonas. De esta forma, el resultado de aplicar los factores de ajuste horizontal corresponderá a la suma, por moneda, de los siguientes productos:
y
según corresponda) deberá considerar, en primer lugar, las posiciones netas en cada una de las tres zonas definidas en la Tabla 1 y luego entre posiciones netas entre diferentes zonas. De esta forma, el resultado de aplicar los factores de ajuste horizontal corresponderá a la suma, por moneda, de los siguientes productos: Las posiciones netas ponderadas compensadas en la Zona 1x
1
1 Las posiciones netas ponderadas compensadas en la Zona 2x
2
2______________________
(1) Se distinguen tres grupos de factores de sensibilidad: en pesos ($), en moneda chilena reajustable, UF e IVP (UR) y en monedas extranjeras (MX).
Las posiciones netas ponderadas compensadas en la Zona 3x
3
3 Las posiciones netas ponderadas compensadas entre las Zonas 1 y 2x
12
12 Las posiciones netas ponderadas compensadas entre las Zonas 2 y 3x
23
23 Las posiciones netas ponderadas compensadas entre las Zonas 1 y 3x
13
13 Tabla 1
Bandas Temporales, Factores de Sensibilidad y Factores de Ajuste Vertical y Horizontal para el Libro de Negociación

A la exposición al riesgo de tasas de interés del libro de negociación calculada de acuerdo con lo establecido en los párrafos precedentes, se deberá agregar, cuando corresponda, la exposición a los riesgos Gamma y Vega de las posiciones en opciones sobre tasas de interés e instrumentos de deuda registradas en dicho libro, los que se calcularan según lo dispuesto en los números 4.2.2 y 4.2.3 de este Anexo.
Asimismo, se deberá agregar, cuando corresponda, la exposición al riesgo de tasas de interés resultante de las posiciones compradas (o "largas") en las opciones señaladas en el párrafo anterior según lo dispuesto en el número 4.1 de este Anexo.
1.2. Medición de la exposición a los Riesgos de Tasas de Interés y de Reajustabilidad del Libro de Banca.
La medición de la exposición a los riesgos de tasa de interés y de reajustabilidad del libro de banca deberá considerar tanto el impacto de corto plazo sobre la capacidad de generación de intereses y reajustes netos y las comisiones sensibles a cambios en las tasas de interés, como el impacto de largo plazo sobre el valor económico de la institución financiera de movimientos adversos en las tasas de interés.
La exposición de corto plazo se medirá de acuerdo a la siguiente relación:

La exposición de largo plazo se medirá por la siguiente relación:

donde:

A la medición del impacto de largo plazo sobre el valor económico del patrimonio calculada de acuerdo con lo establecido en los párrafos precedentes, se deberá agregar, cuando corresponda, la exposición a los riesgos Gamma y Vega de las posiciones en opciones sobre tasas de interés e instrumentos de deuda registradas en el libro de banca, los que se calcularan según lo dispuesto en los números 4.2.2 y 4.2.3 de este Anexo.
Asimismo, se deberá agregar, cuando corresponda, la exposición al riesgo de tasas de interés resultante de las posiciones compradas (o "largas") en las opciones señaladas en el párrafo anterior según lo dispuesto en el número 4.1 de este Anexo.
Tabla 2
Bandas Temporales y Factores de Sensibilidad para el Libro de Banca

1.3 Consideraciones adicionales respecto de la medición de la exposición al riesgo de tasas de interés:
i) Los criterios para asignar los flujos correspondientes a las posiciones registradas en el activo y en el pasivo del libro de banca deberán ser establecidos por las propias instituciones financieras. En todo caso, dichos criterios deberán considerar todas las fuentes relevantes de riesgo asociadas a movimientos de las tasas de interés, así como la escala y complejidad de sus operaciones.
Asimismo, para asignar en las bandas temporales indicadas en la Tabla 2 los flujos correspondientes a operaciones sin plazo de vencimiento o cuyo plazo efectivo de vencimiento pueda diferir de su plazo contractual, tales como colocaciones a través de líneas de crédito, depósitos a la vista o en cuentas de ahorro a plazo, las instituciones financieras deberán modelar su plazo efectivo de vencimiento o de permanencia.
_______________________
(2) Se distinguen tres grupos de factores de sensibilidad: en pesos ($), en moneda chilena reajustable, UF e IVP (UR) y en monedas extranjeras (MX).
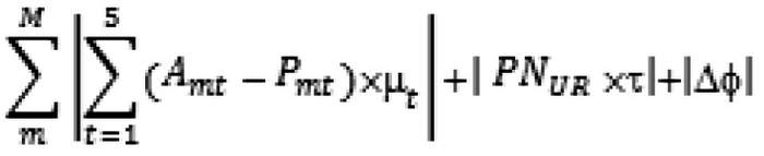
ii) En el cálculo de la posición neta en moneda chilena reajustable (PNUR) del libro de banca, correspondiente a la medición de la exposición de corto plazo del riesgo de reajustabilidad, se deberán incluir las siguientes cuentas o partidas registradas en el activo y en el pasivo sujetas a corrección monetaria:
a) Activo fijo físico e inversiones en sociedades.
b) Capital y reservas.
c) Otras cuentas o partidas del activo y del pasivo sujetas a corrección monetaria que defina la Comisión.
iii) Para el cálculo del menor ingreso por las comisiones sensibles a las tasas de interés
de la medición a la exposición de corto plazo, las instituciones deberán modelar este impacto considerando una variación uniforme de 200 puntos base sobre la estructura temporal de tasas de interés.
de la medición a la exposición de corto plazo, las instituciones deberán modelar este impacto considerando una variación uniforme de 200 puntos base sobre la estructura temporal de tasas de interés. iv) Las instituciones que registren posiciones suscritas (o "cortas") sobre opciones en instrumentos de deuda o tasas de interés, en el de banca, deberán incluir en la banda temporal respectiva el correspondiente delta ponderado de todas las posiciones registradas (cortas y largas), de acuerdo con lo establecido en el número 4.2.1 de este Anexo.
v) La Comisión, en el marco del proceso de evaluación de la gestión del riesgo financiero y de las operaciones de tesorería que realiza periódicamente o cuando lo estime conveniente, podrá evaluar la consistencia y relevancia de los criterios y supuestos utilizados en la asignación de los flujos y en la modelación del impacto de cambios en las tasas de interés sobre los ingresos por comisiones.
2. Medición de la Exposición al Riesgo de Monedas
La medición de la exposición al riesgo de monedas deberá considerar las posiciones netas pagaderas o reajustables en monedas extranjeras, incluido el oro, para todo el balance.
La posición neta en cada moneda deberá calcularse sumando:
- La posición neta efectiva o spot (incluyendo intereses devengados);
- La posición neta en derivados (que incluye todos los montos a recibir menos todos los montos para pagar, excepto aquellos asociados a posiciones en opciones);
- Cualquier otra posición del balance que pueda generar ganancias o pérdidas como resultado de cambios en el valor en moneda chilena de las monedas extranjeras, incluido el oro;
- La posición delta ponderada en opciones en monedas de acuerdo con lo establecido en el número 4.2.1 de este Anexo cuando corresponda.
De resultar una posición neta activa, se podrán deducir los siguientes montos:
a) El monto de capital básico que corresponda a capitales ingresados al país al amparo del D.L. No 600 y sus modificaciones y enterados con anterioridad al 31 de diciembre de 1998. Este monto deberá ser computado en la moneda que corresponda al capital ingresado.
b) Las utilidades retenidas, que, en caso de ser distribuidas, sean susceptibles de ser remesadas al exterior en conformidad al citado D.L. No 600, siempre que la Comisión haya certificado la calidad de remesables de tales utilidades. Estas utilidades deberán ser computadas en la misma moneda que el capital indicado en la letra a) anterior.
Para el cálculo de la exposición al riesgo de monedas, las instituciones financieras deberán ponderar la posición neta en cada moneda por el factor de sensibilidad
correspondiente
correspondientedefinido en la Tabla 3.
De acuerdo con lo señalado en los párrafos previos, la exposición al riesgo de monedas se medirá por la siguiente relación:

donde:

Es decir, la exposición al riesgo de monedas corresponderá a la suma de:
i) La mayor entre las sumas de las posiciones netas ponderadas activas o pasivas en moneda extranjera; más
ii) El valor absoluto de la posición neta ponderada (larga o corta) en oro.
A la exposición al riesgo de monedas calculada de acuerdo con lo establecido en los párrafos precedentes, se deberá agregar, cuando corresponda, la exposición a los riesgos Gamma y Vega de las posiciones en opciones sobre monedas, los que se calcularan según lo dispuesto en los números 4.2.2 y 4.2.3 de este Anexo.
Asimismo, se deberá agregar, cuando corresponda, la exposición al riesgo de monedas resultante de las posiciones compradas (o "largas") en las opciones señaladas en el párrafo anterior según lo dispuesto en el número 4.1 de este Anexo.
Tabla 3
Factores de Sensibilidad para el Cálculo del Riesgo de Monedas

3. Consideraciones adicionales respecto de la medición de los riesgos de mercado
Para la medición de las exposiciones al riesgo de tasas de interés, al riesgo de reajustabilidad y al riesgo de monedas, de acuerdo a la metodología definida en los números anteriores, se deberán aplicar los tipos de cambio de representación contable o aquellos que indique la Comisión, inclusive para los flujos asociados a posiciones en instrumentos derivados.
Los activos y pasivos expresados en moneda extranjera o reajustables por tipo de cambio y pagaderos en moneda nacional, deberán ser computados en las respectivas monedas extranjeras. No obstante, los activos y pasivos expresados en las antiguas monedas de los países que actualmente conforman la Unión Económica y Monetaria Europea deberán ser expresados en su equivalente en EUROS, conforme a sus respectivos tipos de cambio, y considerados como una sola moneda.
Asimismo, los activos y pasivos expresados en moneda chilena reajustables según la variación en la Unidad de Fomento o en el Índice de Valor Promedio se tratarán como un solo índice de reajustabilidad.
Sin perjuicio de lo anterior, las instituciones financieras deberán estar en condiciones de informar tanto los flujos asociados a la exposición al riesgo de tasas de interés, como las posiciones asociadas a la exposición al riesgo de monedas para aquellas señaladas en los párrafos anteriores.
4. Tratamiento de Opciones en la Metodología Estandarizada
Las instituciones financieras deberán utilizar los métodos que se señalan en este numeral para la medición de la exposición a los riesgos de mercado asociados a sus posiciones en opciones.
Aquellas instituciones financieras que solo registren posiciones compradas (o "largas") en opciones, podrán usar el Método Simplificado que se describe en el siguiente número 4.1. En todo caso, las instituciones financieras que registren posiciones suscritas (o "cortas") en opciones deberán necesariamente utilizar el Método Intermedio que se describe en el número 4.2.
4.1 Método Simplificado
En el Método Simplificado, la exposición a los riesgos de mercado de las posiciones largas en opciones corresponderá a la suma de las exposiciones individuales. Estas últimas se determinarán como el menor valor entre:
i) El valor razonable ("fair value") del instrumento subyacente asociado, multiplicado por los factores de sensibilidad definidos en las Tablas 1, 2 y 3 según corresponda; y
ii) El valor razonable de la opción.
La exposición a los riesgos de mercado determinados con el Método Simplificado deberá ser sumada a las mediciones de la exposición al riesgo de tasa de interés o de monedas, según corresponda.
4.2 Método Intermedio (Delta-Plus)
En el método intermedio, la exposición a los riesgos de mercado de las posiciones en opciones compradas o suscritas se calculará utilizando los factores de sensibilidad delta, gamma y vega, de acuerdo con lo establecido en los siguientes numerales:
4.2.1. Posición delta ponderada
La posición delta ponderada corresponde al valor del instrumento subyacente asociado, multiplicado por el factor delta correspondiente, que mide el cambio en el valor de la respectiva opción ante un cambio unitario en el valor del instrumento subyacente. Las instituciones financieras deberán incluir la posición delta ponderada en alguna de las bandas temporales de las Tablas 1 o 2 para las opciones sobre tasas de interés, o en la posición neta en la moneda extranjera correspondiente de acuerdo con lo señalado en el número 2 de este Anexo, para efectos del cálculo del riesgo de tasa de interés o del riesgo de monedas, según corresponda.
4.2.2. Riesgo "Gamma".
El riesgo "Gamma" corresponderá a la suma, en valor absoluto, de los "impactos gamma" netos negativos para las opciones sobre un mismo instrumento subyacente. Los impactos "gamma" netos (positivos o negativos) corresponden a la suma de los impactos gamma para cada opción, agrupados por bandas temporales y monedas, para el caso de opciones sobre tasas de interés, o agrupados por monedas, para el caso de opciones sobre monedas.
El impacto gamma para cada opción deberá computarse de la siguiente forma:
Impacto gamma = Gamma x (VS)2/2, donde Gamma es el cambio del factor delta ante un cambio unitario en el valor del subyacente, y VS es la variación en el valor del subyacente.
Para opciones sobre tasas de interés, cuyo subyacente es en un instrumento de deuda, la variación en el valor del subyacente se calculará aplicando los factores de sensibilidad establecidos en la Tabla 1 o 2 de este Anexo a los correspondientes flujos para las respectivas bandas temporales. Un cálculo equivalente se debe realizar cuando el subyacente es una tasa de interés, basado en este caso en los cambios en las tasas de interés definidos en la Tabla 1 o 2 según corresponda. Para opciones en monedas, la variación en el valor del subyacente se calculará aplicando el factor establecido en la Tabla 3 de este Anexo que corresponda a la respectiva moneda.
4.2.3. Riesgo "Vega"
El riesgo "Vega" corresponderá a la suma, en valor absoluto de los "impactos vega" para cada opción. Estos impactos se calcularán aplicando a la volatilidad del valor del subyacente asociado un cambio de 25%, positivo o negativo según sea la posición (corta o larga), sobre el factor vega correspondiente.
El factor vega correspondiente mide el cambio en el valor de la respectiva opción ante un cambio unitario en la volatilidad del valor del instrumento subyacente.
4.3 Otras consideraciones
Para el cálculo de los factores de sensibilidad delta, gamma y vega, así como de las volatilidades de los subyacentes que se utilicen en el cálculo del riesgo vega, las instituciones financieras deberán, previo informe a la Comisión, aplicar modelos basados en metodologías apropiadas para dicho objeto, y en concordancia con lo establecido en los numerales precedentes. Dicho organismo supervisor podrá evaluar los referidos modelos conforme a los criterios que establezca para tal efecto.
Para la definición del valor razonable ("fair value") se estará a lo que establezca la Comisión."
4. Incorpórese el siguiente Anexo 1.1 a continuación del Anexo 1:
"ANEXO N° 1.1
METODOLOGÍA ESTANDARIZADA PARA LA MEDICIÓN DE LA EXPOSICIÓN A LOS RIESGOS DE TASAS DE INTERÉS Y REAJUSTABILIDAD
Aplicación en relación con disposición transitoria: Este Anexo N° 1.1 regirá desde diciembre de 2021 y mientras permanezca vigente el presente Capítulo III.B.2.2 conforme a la disposición transitoria que el mismo contiene.
1. Lo indicado, es sin perjuicio de la prórroga que pueda ser dispuesta por el Consejo del BCCh, respecto de la derogación gradual del Capítulo III.B.2.2, y sus Anexos, incluida la sustitución transitoria de estos, conforme lo pueda solicitar la CMF, en los términos previstos en la disposición transitoria. Medición de la exposición al Riesgo de Tasas de Interés.
Para efectos de medición de la exposición al riesgo de tasas de interés, las instituciones financieras deberán asignar los flujos correspondientes a las posiciones registradas en el activo y en el pasivo bandas temporales. En esa asignación se deberá considerar en forma desagregada los intereses y la amortización del capital de acuerdo a lo establecido en los respectivos contratos, distinguiendo además según tipo moneda y tipo de tasa (fija o flotante). En el caso de operaciones pactadas a tasa flotante los flujos de intereses se incluirán en las correspondientes bandas temporales hasta el siguiente periodo de recálculo de la tasa, y la amortización del capital se incluirá en la banda temporal que corresponda a la fecha de ese recálculo.
Los flujos correspondientes a las posiciones en instrumentos derivados, excepto para el caso de opciones, deberán ser separados en los flujos asociados a los subyacentes respectivos y asignados a las bandas temporales que correspondan. Las posiciones en opciones se tratarán según lo establecido en el número 5 de este Anexo.
2. Medición de la exposición a los Riesgos de Tasas de Interés y de Reajustabilidad del Libro de Banca.
La medición de la exposición a los riesgos de tasa de interés y de reajustabilidad del libro de banca deberá considerar tanto el impacto de corto plazo sobre la capacidad de generación de intereses y reajustes netos y las comisiones sensibles a cambios en las tasas de interés, como el impacto de largo plazo sobre el valor económico de la institución financiera de movimientos adversos en las tasas de interés.
La exposición de corto plazo se medirá de acuerdo a la siguiente relación:

La exposición de largo plazo se medirá por la siguiente relación:

donde:

_______________________
(2) Se distinguen tres grupos de factores de sensibilidad: en pesos ($), en moneda chilena reajustable, UF e IVP (UR) y en monedas extranjeras (MX).
A la medición del impacto de largo plazo sobre el valor económico del patrimonio calculada de acuerdo a lo establecido en los párrafos precedentes, se deberá agregar, cuando corresponda, la exposición a los riesgos Gamma y Vega de las posiciones en opciones sobre tasas de interés e instrumentos de deuda registradas en el libro de banca, los que se calcularan según lo dispuesto en los números 5.2.2 y 5.2.3 de este Anexo.
Asimismo, se deberá agregar, cuando corresponda, la exposición al riesgo de tasas de interés resultante de las posiciones compradas (o "largas") en las opciones señaladas en el párrafo anterior según lo dispuesto en el número 5.1 de este Anexo.
Tabla 1
Bandas Temporales y Factores de Sensibilidad para el Libro de Banca

3. Consideraciones adicionales respecto de la medición de la exposición al riesgo de tasas de interés.
i) Los criterios para asignar los flujos correspondientes a las posiciones registradas en el activo y en el pasivo del libro de banca deberán ser establecidos por las propias instituciones financieras. En todo caso, dichos criterios deberán considerar todas las fuentes relevantes de riesgo asociadas a movimientos de las tasas de interés, así como la escala y complejidad de sus operaciones.
Asimismo, para asignar en las bandas temporales indicadas en la Tabla 1 los flujos correspondientes a operaciones sin plazo de vencimiento o cuyo plazo efectivo de vencimiento pueda diferir de su plazo contractual, tales como colocaciones a través de líneas de crédito, depósitos a la vista o en cuentas de ahorro a plazo, las instituciones financieras deberán modelar su plazo efectivo de vencimiento o de permanencia.
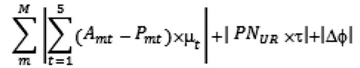
ii) En el cálculo de la posición neta en moneda chilena reajustable (PNUR) del libro de banca, correspondiente a la medición de la exposición de corto plazo del riesgo de reajustabilidad, se deberán incluir las siguientes cuentas o partidas registradas en el activo y en el pasivo sujetas a corrección monetaria:
a) Activo fijo físico e inversiones en sociedades.
b) Capital y reservas.
c) Otras cuentas o partidas del activo y del pasivo sujetas a corrección monetaria que defina la Comisión.
iii) Para el cálculo del menor ingreso por las comisiones sensibles a las tasas de interés
de la medición a la exposición de corto plazo, las instituciones deberán modelar este impacto considerando una variación uniforme de 200 puntos base sobre la estructura temporal de tasas de interés.
de la medición a la exposición de corto plazo, las instituciones deberán modelar este impacto considerando una variación uniforme de 200 puntos base sobre la estructura temporal de tasas de interés. iv) Las instituciones que registren posiciones suscritas (o "cortas") sobre opciones en instrumentos de deuda o tasas de interés, en el de banca, deberán incluir en la banda temporal respectiva el correspondiente delta ponderado de todas las posiciones registradas (cortas y largas), de acuerdo a lo establecido en el número 5.2.1 de este Anexo.
v) La Comisión, en el marco del proceso de evaluación de la gestión del riesgo financiero y de las operaciones de tesorería que realiza periódicamente o cuando lo estime conveniente, podrá evaluar la consistencia y relevancia de los criterios y supuestos utilizados en la asignación de los flujos y en la modelación del impacto de cambios en las tasas de interés sobre los ingresos por comisiones.
4. Consideraciones adicionales respecto de la medición de los riesgos de tasas de interés y reajustabilidad.
Para la medición de las exposiciones al riesgo de tasas de interés y al riesgo de reajustabilidad de acuerdo a la metodología definida en los números anteriores, se deberán aplicar los tipos de cambio de representación contable o aquellos que indique la Comisión, inclusive para los flujos asociados a posiciones en instrumentos derivados.
Los activos y pasivos expresados en moneda extranjera o reajustables por tipo de cambio y pagaderos en moneda nacional, deberán ser computados en las respectivas monedas extranjeras. No obstante, los activos y pasivos expresados en las antiguas monedas de los países que actualmente conforman la Unión Económica y Monetaria Europea deberán ser expresados en su equivalente en EUROS, conforme a sus respectivos tipos de cambio, y considerados como una sola moneda.
Asimismo, los activos y pasivos expresados en moneda chilena reajustables según la variación en la Unidad de Fomento o en el Índice de Valor Promedio se tratarán como un solo índice de reajustabilidad.
Sin perjuicio de lo anterior, las instituciones financieras deberán estar en condiciones de informar tanto los flujos asociados a la exposición al riesgo de tasas de interés, como las posiciones asociadas a la exposición al riesgo de monedas para aquellas señaladas en los párrafos anteriores.
5. Tratamiento de Opciones en la Metodología Estandarizada.
Las instituciones financieras deberán utilizar los métodos que se señalan en este numeral para la medición de la exposición a los riesgos de asociados a sus posiciones en opciones.
Aquellas instituciones financieras que solo registren posiciones compradas (o "largas") en opciones, podrán usar el Método Simplificado que se describe en el siguiente número 5.1. En todo caso, las instituciones financieras que registren posiciones suscritas (o "cortas") en opciones deberán necesariamente utilizar el Método Intermedio que se describe en el número 5.2.
5.1 Método Simplificado
En el Método Simplificado, la exposición a los riesgos de tasas de interés y reajustabilidad de las posiciones largas en opciones corresponderá a la suma de las exposiciones individuales. Estas últimas se determinarán como el menor valor entre:
i) el valor razonable ("fair value") del instrumento subyacente asociado, multiplicado por los factores de sensibilidad definidos en la Tabla 1; y
ii) el valor razonable de la opción.
La exposición a los riesgos de tasas de interés y reajustabilidad determinados con el Método Simplificado deberá ser sumada a las mediciones de la exposición al riesgo de tasa de interés.
5.2 Método Intermedio (Delta-Plus)
En el método intermedio, la exposición a los riesgos de tasas de interés y reajustabilidad de las posiciones en opciones compradas o suscritas se calculará utilizando los factores de sensibilidad delta, gamma y vega, de acuerdo a lo establecido en los siguientes numerales:
5.2.1. Posición delta ponderada
La posición delta ponderada corresponde al valor del instrumento subyacente asociado, multiplicado por el factor delta correspondiente, que mide el cambio en el valor de la respectiva opción ante un cambio unitario en el valor del instrumento subyacente. Las instituciones financieras deberán incluir la posición delta ponderada en alguna de las bandas temporales de la Tabla 1 para las opciones sobre tasas de interés, para efectos del cálculo del riesgo de tasa de interés.
5.2.2. Riesgo "Gamma".
El riesgo "Gamma" corresponderá a la suma, en valor absoluto, de los "impactos gamma" netos negativos para las opciones sobre un mismo instrumento subyacente. Los impactos "gamma" netos (positivos o negativos) corresponden a la suma de los impactos gamma para cada opción, agrupados por bandas temporales y monedas, para el caso de opciones sobre tasas de interés, o agrupados por monedas, para el caso de opciones sobre monedas.
El impacto gamma para cada opción deberá computarse de la siguiente forma:
Impacto gamma = Gamma x (VS)2/2, donde Gamma es el cambio del factor delta ante un cambio unitario en el valor del subyacente, y VS es la variación en el valor del subyacente.
Para opciones sobre tasas de interés, cuyo subyacente es en un instrumento de deuda, la variación en el valor del subyacente se calculará aplicando los factores de sensibilidad establecidos en la Tabla 1 de este Anexo a los correspondientes flujos para las respectivas bandas temporales. Un cálculo equivalente se debe realizar cuando el subyacente es una tasa de interés, basado en este caso en los cambios en las tasas de interés definidos en la Tabla 1.
5.2.3. Riesgo "Vega"
El riesgo "Vega" corresponderá a la suma, en valor absoluto de los "impactos vega" para cada opción. Estos impactos se calcularán aplicando a la volatilidad del valor del subyacente asociado un cambio de 25%, positivo o negativo según sea la posición (corta o larga), sobre el factor vega correspondiente.
El factor vega correspondiente mide el cambio en el valor de la respectiva opción ante un cambio unitario en la volatilidad del valor del instrumento subyacente.
5.3 Otras consideraciones
Para el cálculo de los factores de sensibilidad delta, gamma y vega, así como de las volatilidades de los subyacentes que se utilicen en el cálculo del riesgo vega, las instituciones financieras deberán, previo informe a la Comisión, aplicar modelos basados en metodologías apropiadas para dicho objeto, y en concordancia con lo establecido en los numerales precedentes. Dicho organismo supervisor podrá evaluar los referidos modelos conforme a los criterios que establezca para tal efecto.
Para la definición del valor razonable ("fair value") se utilizará lo que establezca la Comisión al respecto.".
5. Reemplácese el Anexo 2 por el siguiente:
"ANEXO N° 2
ESTÁNDARES MÍNIMOS PARA EL USO DE MODELOS INTERNOS DE MEDICIÓN DE LA EXPOSICIÓN A LOS RIESGOS DE MERCADO
Aplicación en relación con disposición transitoria: Este Anexo será derogado a partir de diciembre de 2021.
Lo indicado, es sin perjuicio de la prórroga que pueda ser dispuesta por el Consejo del BCCh, respecto de la derogación gradual del Capítulo III.B.2.2, y sus Anexos, incluida la sustitución transitoria de estos, conforme lo pueda solicitar la CMF, en los términos previstos en la disposición transitoria.
Los modelos internos para la medición de la exposición a los riesgos de mercado que utilicen las instituciones financieras autorizadas por la Comisión deberán estar basados en la metodología de "Valor en Riesgo" ("Value at Risk" o "VaR"). Estos modelos internos deberán ajustarse a los estándares mínimos que se establecen en los siguientes numerales y a los requerimientos que en esta materia establezca la Comisión.
1. Estándares mínimos
Los modelos internos para la medición de la exposición a los riesgos de mercado que utilicen la metodología de "Valor en Riesgo" deberán observar los siguientes estándares mínimos:
i) El valor en riesgo deberá ser calculado diariamente.
ii) Para calcular el valor en riesgo, deberá usarse el percentil 99, considerando el intervalo de confianza de un extremo de la distribución.
iii) Al calcular el valor en riesgo, el periodo de mantención mínimo será de 10 días hábiles. Sin perjuicio de lo anterior y excepto para las posiciones en opciones u otros instrumentos cuyas funciones de precios exhiben características no lineales, las instituciones financieras podrán utilizar valores en riesgo calculados para un periodo de mantención menor a 10 días, debiendo en todo caso escalarlos por la raíz cuadrada del múltiplo correspondiente.
iv) Los parámetros requeridos por el modelo deberán estimarse utilizando un periodo mínimo de observaciones de 250 días hábiles previos a la fecha de medición. Asimismo, para la estimación de esos parámetros se podrán aplicar métodos de ponderación u otros métodos que permitan una estimación más robusta o representativa.
v) Las bases de datos requeridas para la estimación de parámetros deberán mantenerse permanentemente actualizadas.
vi) Para la estimación del valor en riesgo, se podrán adoptar tanto enfoques paramétricos como enfoques no paramétricos (simulaciones históricas, simulaciones de Monte Carlo). En todo caso, estos enfoques deberán capturar todos los riesgos materiales a los que la institución esté expuesta.
vii) Se podrán reconocer correlaciones empíricas dentro de amplias categorías o factores de riesgo. En todo caso, la Comisión, en el marco del proceso de evaluación de la gestión del riesgo financiero y operaciones de tesorería que realiza, o cuando lo estime conveniente, podrá revisar la consistencia de la metodología empleada en la determinación de dichas correlaciones.
viii) Los modelos internos deberán capturar adecuadamente los riesgos asociados a posiciones en opciones. Los siguientes criterios serán aplicables a la medición del riesgo de estos instrumentos:
a) Los modelos internos utilizados deberán capturar las características no lineales del precio de las posiciones en opciones.
b) Se deberá aplicar un shock de precios mínimo de 10 días.
c) El modelo de medición de riesgo de las posiciones en opciones deberá incorporar el riesgo asociado a cambios en la volatilidad de las tasas o precios de los correspondientes subyacentes.
ix) La exposición a los riesgos de mercado calculada mediante modelos internos corresponderá al mayor de los siguientes valores:
a) el valor en riesgo del día anterior calculado de acuerdo a los parámetros especificados en este Anexo; o
b) el promedio de la medición diaria del valor en riesgo para cada uno de los 60 días hábiles precedentes, ponderado por un factor multiplicativo igual a 3,0. En todo caso, la Comisión, de acuerdo a la evaluación que efectúe de la calidad de la gestión de riesgos financieros y operaciones de tesorería de la institución y a los resultados obtenidos de las pruebas retrospectivas efectuadas sobre esos modelos, podrá establecer valores superiores para dicho factor.
2. Consideraciones sobre los factores de riesgos de mercado
Los modelos internos deberán incorporar un número suficiente de factores de riesgo que permitan capturar todos los riesgos de mercado materialmente relevantes. En todo caso, las instituciones financieras que utilicen modelos internos deberán observar los siguientes estándares:
a) Tasas de interés
Deberá disponerse de factores de riesgo por plazo y por moneda que permitan calcular adecuadamente la exposición del libro de negociación de la institución financiera. Asimismo, la estructura temporal de tasas de interés para cada moneda deberá modelarse utilizando alguno de los enfoques usados habitualmente para tales fines.
b) Monedas extranjeras y unidades o índices de reajustabilidad
Para las monedas extranjeras, incluido el oro, y las unidades o índices de reajustabilidad deberá disponerse de factores de riesgo que permitan calcular adecuadamente la exposición del balance de la institución financiera a las fluctuaciones en el valor de las mismas respecto a la moneda chilena, en tanto en ellas se mantengan posiciones relevantes.".
Santiago, 2 de septiembre de 2021.- Juan Pablo Araya Marco, Ministro de Fe.