MODIFICA RESOLUCIÓN Nº 72 EXENTA, DE 5 DE MARZO DE 2020, QUE ESTABLECE DISPOSICIONES TÉCNICAS PARA LA IMPLEMENTACIÓN DE LA LEY Nº 21.185, MODIFICADA POR RESOLUCIONES CNE Nº 114 Y Nº 340 EXENTAS, AMBAS DE 2020, Y RESOLUCIONES Nº 115 Y Nº 186 EXENTAS, AMBAS DE 2021, Y FIJA TEXTO REFUNDIDO DE LA MISMA
Núm. 342 exenta.- Santiago, 9 de septiembre de 2021.
Vistos:
1) Lo dispuesto en el artículo 9º letra h) del DL Nº 2.224 de 1978, que crea el Ministerio de Energía y la Comisión Nacional de Energía, en adelante e indistintamente "la Comisión", modificado por la ley Nº 20.402 que crea el Ministerio de Energía;
2) Lo dispuesto en el DFL Nº 4/20.018, que fija el texto refundido, coordinado y sistematizado del DFL Nº 1 del Ministerio de Minería, de 1982, Ley General de Servicios Eléctricos, y sus modificaciones posteriores, en adelante "Ley";
3) Lo dispuesto en la ley Nº 21.185, que crea un mecanismo transitorio de estabilización de precios de energía eléctrica para clientes sujetos a regulación de tarifas en adelante, "Ley Nº 21.185";
4) Lo establecido en la ley Nº 21.194, que rebaja la rentabilidad de las empresas de distribución y perfecciona el proceso tarifario de distribución eléctrica;
5) La señalado en la Ley Nº 19.880, que establece bases de los procedimientos administrativos que rigen los actos de los órganos de la administración del Estado, en adelante, "Ley Nº 19.880";
6) Lo establecido en la resolución exenta Nº 72 de la Comisión, de 5 de marzo de 2020, que establece disposiciones técnicas para la implementación de la ley Nº 21.185, en adelante indistintamente "resolución exenta CNE Nº 72";
7) Lo establecido en la resolución exenta Nº 114 de la Comisión, de 9 de abril de 2020, que aclara y rectifica resolución exenta CNE Nº 72, que establece disposiciones técnicas para la implementación de la ley Nº 21.185;
8) Lo establecido en la resolución exenta Nº 340 de la Comisión, de 3 de septiembre de 2020, que modifica resolución exenta Nº 72, que establece disposiciones técnicas para la implementación de la ley Nº 21.185, modificada por la resolución exenta CNE Nº 114 de 2020;
9) Lo establecido en la resolución exenta Nº 115 de la Comisión, de 15 de abril de 2021, que modifica resolución exenta Nº 72, que establece disposiciones técnicas para la implementación de la ley Nº 21.185, modificada por resoluciones exentas CNE Nº 114 y Nº 340, ambas de 2020;
10) Lo establecido en la resolución exenta Nº 186 de la Comisión, de 11 de junio de 2021, que modifica resolución exenta Nº 72, que establece disposiciones técnicas para la implementación de la ley Nº 21.185, modificada por resoluciones exentas CNE Nº 114 y Nº 340 de 2020 y Nº 115 de 2021; y,
11) La resolución Nº 7, de 2019, de Contraloría General de la República.
Considerando:
a) Que, con fecha 2 de noviembre de 2019, se publicó en el Diario Oficial la ley Nº 21.185 que crea un mecanismo transitorio de estabilización de precios de energía eléctrica para clientes sujetos a regulación de tarifas;
b) Que, en virtud de lo señalado en el artículo 2º de la ley Nº 21.185, la Comisión Nacional de Energía dictó la resolución exenta CNE Nº 72, que establece disposiciones técnicas para la implementación de la ley Nº 21.185, la que fue modificada mediante resoluciones exentas CNE Nº 114 y Nº 340, ambas de 2020, y resoluciones exentas Nº 115 y Nº 186, ambas de 2021, en adelante "resolución exenta Nº 72";
c) Que, con motivo de la implementación de la resolución exenta Nº 72, se ha evidenciado la necesidad de incorporar algunas modificaciones relacionadas con la contabilización de determinados ítems del balance por distribuidora que debe contener el informe técnico elaborado por la Comisión, particularmente con montos asociados a los mecanismos de equidad tarifaria residencial y reconocimiento de generación local, así como, el debido reconocimiento de los montos asociados a las transferencias entre distribuidoras a las que se refiere el artículo 12º de la referida resolución;
d) Que, dadas las sucesivas modificaciones de la resolución exenta Nº 72, mediante el presente acto se fijará el texto refundido de la misma, con el objeto de contar con un documento autocontenido y otorgar claridad a los interesados; y,
e) Que, dada la naturaleza de las modificaciones señaladas en los considerandos anteriores, a juicio de esta Comisión resulta procedente aplicar lo dispuesto en el artículo 62º de la ley Nº 19.880 que establece que, en cualquier momento, la autoridad administrativa que dictó el acto podrá, de oficio, aclarar puntos dudosos y rectificar errores de copia, de referencia, y en general los puramente materiales que aparecieren de manifiesto en el acto administrativo.
Resuelvo:
Artículo primero: Modifícase la resolución exenta CNE Nº 72 de la Comisión, de 5 de marzo de 2020, que establece disposiciones técnicas para la implementación de la ley Nº 21.185, modificada por las resoluciones exentas Nº 114, de 9 de abril de 2020, Nº 340, de 3 de septiembre de 2020, Nº 115, de 15 de abril de 2021; y, Nº 186, de 11 de junio de 2021, en el siguiente sentido:
1) Elimínase el literal e) del inciso quinto del artículo 12º, pasando los antiguos literales f) y g) a ser e) y f), respectivamente.
2) Incorpóranse los siguientes nuevos literales g) y h) al inciso segundo del artículo 17º:
g) Adicionar o descontar los saldos resultantes de la reliquidación asociada a los factores de equidad tarifaria residencial a los que se refiere el inciso tercero del artículo 9º de la resolución exenta Nº 556, de 6 de octubre de 2017, que establece mecanismo de reliquidación de las diferencias de facturación entre empresas concesionarias de distribución a que se refiere el artículo 191º de la Ley General de Servicios Eléctricos; y,
h) Adicionar o descontar los saldos resultantes del mecanismo de reliquidación asociado a la aplicación del factor CD RGL al que se refiere el Decreto PNP respectivo.
Artículo segundo: Fíjase texto refundido de la resolución exenta CNE Nº 72 de la Comisión, de 5 de marzo de 2020, que establece disposiciones técnicas para la implementación de la ley Nº 21.185, modificada por las resoluciones exentas Nº 114, de 9 de abril de 2020, Nº 340, de 3 de septiembre de 2020, Nº 115, de 15 de abril de 2021; y, Nº 186, de 11 de junio de 2021, y por el presente acto administrativo, conforme a lo indicado a continuación:
Artículo 1º.- La presente resolución tiene por objeto establecer las reglas necesarias para la implementación del mecanismo de estabilización de precios establecido en la ley Nº 21.185, en adelante "Mecanismo de Estabilización".
Para dichos efectos, la presente resolución precisa los procedimientos y criterios para determinar los precios a nivel de generación necesarios para la aplicación de dicho mecanismo durante toda la vigencia del mismo.
Asimismo, establece las reglas bajo las cuales los pagos de los precios de nudo de largo plazo deben ser efectuados por las empresas concesionarias de distribución a sus respectivos suministradores durante la vigencia del Mecanismo de Estabilización.
En todo aquello que no sea regulado expresamente por la presente resolución se continuará aplicando la normativa contenida en el decreto supremo Nº 86, la resolución Nº 703, o el reglamento que reemplace dichos instrumentos.
Artículo 2º.- Los precios promedio que las Distribuidoras deban traspasar a sus clientes sujetos a fijación de precios serán fijados mediante los procedimientos y reglas que establece el decreto supremo Nº 86 y la resolución Nº 703, con los ajustes que establece la ley Nº 21.185 y la presente resolución.
De este modo, durante la vigencia del Mecanismo de Estabilización, los pagos que las Distribuidoras deberán realizar a sus respectivos suministradores deberán regirse por las medidas y condiciones fijadas en la presente resolución.
Por su parte, las Distribuidoras deberán traspasar mensualmente a todos sus clientes finales sujetos a fijación de precios, los precios de generación que resulten de la aplicación del Mecanismo de Estabilización durante toda la vigencia del mismo.
Artículo 3º.- Para los efectos de la presente resolución, los siguientes términos tendrán el significado y alcance que se indica a continuación:
a) Artículo: Si no se indica otra referencia, se refiere a un artículo de la presente resolución.
b) Comisión: Comisión Nacional de Energía.
c) Distribuidoras: Concesionarias de servicio público de distribución.
d) Contrato: Contrato de suministro de energía para el servicio público de distribución a que se refiere el inciso primero del artículo 7º de la Ley Eléctrica, suscrito entre las Distribuidoras y sus Suministradores.
e) Coordinador: Coordinador Independiente del Sistema Eléctrico Nacional, de acuerdo con lo establecido en el artículo 212-1 de la Ley Eléctrica.
f) Decreto 20T: Decreto supremo Nº 20T del Ministerio de Energía, de 2018, que fija precios de nudo promedio en el Sistema Eléctrico Nacional, de acuerdo al artículo 158º de la Ley Eléctrica y fija ajustes y recargos por aplicación del mecanismo de equidad tarifaria residencial.
g) Decretos PNP: Decretos dictados semestralmente por el Ministerio de Energía, que fijan los precios de nudo promedio a que se refiere el artículo 158º la Ley Eléctrica.
h) Déficit Semestral de las Distribuidoras: Suma de los montos que no pudieron ser recaudados por las Distribuidoras, de conformidad a los balances de las Distribuidoras a que se refiere el artículo 17º.
i) Diferencias por Compras: Monto de dinero determinado por el Coordinador para cada Contrato, de conformidad a lo establecido en el artículo 17º de la resolución Nº 703.
j) Diferencias de Facturación: Diferencias de facturación de aquellos contratos que no están sujetos al Mecanismo de Estabilización, de modo que deben ser pagadas en el periodo semestral siguiente al que se originaron, y calculadas de conformidad a lo establecido en el artículo 14º.
k) Excedente Semestral de las Distribuidoras: Suma de los montos de exceso de recaudación por parte de las Distribuidoras, según los balances de las Distribuidoras, calculado de conformidad a lo establecido en el artículo 17º.
l) Exceso de Saldo del Sistema: Monto de Saldos que ha superado el límite de 1.350 millones de dólares establecido en la ley Nº 21.185, calculado de conformidad al artículo 15º. El valor de Exceso de Saldos del Sistema será igual a cero mientras no se contabilice que los Saldos han superado el referido límite.
m) Factor de Ajuste: Corresponde a un factor que se aplica a los precios de energía y potencia que las Distribuidoras pagarán a sus Suministradores. Dicho factor busca asegurar que la facturación de los contratos de suministro sea coherente con la recaudación esperada en razón del PEC o PEC Ajustado de la correspondiente Distribuidora.
n) Factor de Ajuste de Energía: Corresponde al Factor de Ajuste aplicable al precio de la Energía.
o) Factor de Ajuste de Potencia: Corresponde al Factor de Ajuste aplicable al precio de la Potencia.
p) IPC: Índice de Precios al Consumidor que fija el Instituto Nacional de Estadísticas.
q) Ley Eléctrica: DFL Nº 4 del Ministerio de Economía, Fomento y Reconstrucción, de 2006, que fija el texto refundido, coordinado y sistematizado del DFL Nº 1 de Minería de 1982, Ley General de Servicios Eléctricos, y sus modificaciones posteriores.
r) Mecanismo de Estabilización: Mecanismo de estabilización de precios establecido en la ley Nº 21.185, cuya vigencia está señalada en el artículo 4º.
s) PEC, o Precio Estabilizado a Cliente Regulado: Corresponde a los niveles de precio que establece el Decreto 20T.
t) PEC Ajustado: Corresponde a los niveles de precios del PEC debidamente ajustados por IPC según se define en el artículo 5º. Asimismo, dicho precio también puede ser aumentado en un factor superior al IPC para los casos regulados en los artículos 15º y 20º
u) PNP: Precio de Nudo Promedio.
v) Resolución Nº 703: Resolución exenta Nº 703 de la Comisión, de 2018, que modifica resolución exenta Nº 778, que establece plazos, requisitos y condiciones para la fijación de precios de nudo promedio, de fecha 15 de noviembre de 2016, modificada por resoluciones exentas Nº 203 y Nº 558, ambas de 2017, y fija texto refundido de la misma.
w) Saldos: Corresponde a las diferencias de facturación originadas por la aplicación del Mecanismo de Estabilización calculados conforme a lo dispuesto en el artículo 13º.
x) Suministrador: Empresas de generación que abastecen los consumos de clientes sometidos a regulación de precios de una Distribuidora en virtud de un contrato de suministro suscrito con dicha Distribuidora.
y) TD o Transferencias entre Distribuidoras: Son aquellas transferencias que tienen por objeto mantener la coherencia de la recaudación de cada Distribuidora con respecto al pago que deben efectuar a sus Suministradores y son calculadas de conformidad a lo establecido en el artículo 12º.
Artículo 4º.- El Mecanismo de Estabilización regirá a partir de la publicación de la ley Nº 21.185 hasta se paguen todos los Saldos originados por aplicación del mismo, lo que deberá verificarse, a más tardar, el 31 de diciembre de 2027.
Artículo 5º.- En el período comprendido entre el 1 de julio de 2019 y el 31 de diciembre de 2020, los precios que las Distribuidoras podrán traspasar a sus clientes regulados corresponderán a los niveles de precios de nudo de energía y potencia promedio en nivel de distribución para cada Concesionaria contenidos en el Decreto 20T. Dichos precios se denominarán Precio Estabilizado a Cliente Regulado, en adelante "PEC".
En el período comprendido entre el 1 de enero de 2021 y hasta el término de la vigencia del Mecanismo de Estabilización, los precios que las Distribuidoras podrán traspasar a sus clientes regulados corresponderán al "PEC Ajustado", el cual se determinará como el PEC indexado por IPC. A estos efectos, el valor del IPC a utilizar en cada fijación semestral corresponderá al valor mensual del referido índice del cuarto mes anterior al de inicio de vigencia de las tarifas correspondientes. Para el caso del valor base del IPC, éste corresponderá al valor mensual del mes de enero de 2021.
Artículo 6º.- Sin perjuicio de lo señalado en el artículo anterior, durante la vigencia del Mecanismo de Estabilización, el PEC o PEC Ajustado, según corresponda, podrá ser incrementado en los siguientes casos:
a) En caso que los Saldos contabilizados hayan superado el monto de los 1.350 millones de dólares de los Estados Unidos de América o que se prevea que en el siguiente período tarifario los Saldos superarán el monto de los 1.350 millones de dólares de los Estados Unidos de América, el incremento del PEC o PEC Ajustado se realizará de conformidad a lo dispuesto en el artículo 15º.
b) En caso que se prevea que los pagos proyectados no lograrán cubrir la totalidad de los Saldos, el incremento del PEC Ajustado se realizará de conformidad a lo dispuesto en el artículo 20º.
Artículo 7º.- Durante la vigencia del Mecanismo de Estabilización, el informe técnico preliminar señalado en el artículo 5º de la resolución Nº 703 deberá contener, al menos, la siguiente información:
a) Los precios de nudo de largo plazo actualizados de cada Distribuidora;
b) Las fórmulas de indexación de los precios de nudo de largo plazo;
c) Los precios de nudo promedio de cada Distribuidora;
d) Los precios estabilizados a clientes regulados, calculado conforme a lo dispuesto en el artículo 5º y en el artículo 6º;
e) Los Factores de Ajuste aplicables a los precios de nudo de largo plazo de energía y potencia, calculados conforme a lo dispuesto en el artículo 11º;
f) Los Saldos originados por la aplicación del Mecanismo de Estabilización, identificando al Suministrador acreedor de dichos Saldos y la Distribuidora deudora correspondientes, calculados conforme a lo dispuesto en el artículo 13º;
g) Las transferencias entre Distribuidoras, calculadas conforme a lo dispuesto en el artículo 12º;
h) El factor de intensidad para cada comuna, de conformidad a lo establecido en el literal d) del artículo 10º; e,
i) Los factores de equidad tarifaria residencial, de conformidad a lo dispuesto en el literal c) del artículo 10º.
Artículo 8º.- Durante la vigencia del Mecanismo de Estabilización, los contenidos mínimos de los Decretos PNP a que se refiere el artículo 11º de la resolución Nº 703 serán los siguientes:
a) Los precios, en pesos chilenos, que las Distribuidoras pagarán a sus Suministradores por sus respectivos Contratos, calculados conforme a lo dispuesto en el artículo 11º;
b) Los Saldos, identificando al Suministrador acreedor de dichos Saldos y Distribuidora deudora correspondiente, contabilizados en dólares de los Estados Unidos de América, y calculados conforme a lo dispuesto en el artículo 13º;
c) Los precios de nudo promedio, en pesos chilenos, a traspasar por las Distribuidoras a sus clientes sujetos a fijación de precios, correspondientes a los precios estabilizados a clientes regulados, calculados conforme a lo dispuesto en el artículo 5º y artículo 6º;
d) Las transferencias entre Distribuidoras, resultantes de los cálculos realizados conforme a lo dispuesto en el artículo 12º;
e) Los factores de equidad tarifaria residencial, de conformidad a lo dispuesto en el literal c) del artículo 10º; y
f) Las condiciones de aplicación de los precios de nudo promedio, así como el período de vigencia de los mismos.
Artículo 9º.- Las diferencias de facturación resultantes de la aplicación de los niveles de precios fijados en el respectivo Contrato, respecto de aquellos establecidos en el Decreto PNP correspondiente, serán recogidas en los Saldos y su reconocimiento en las tarifas traspasables a los clientes regulados deberá ajustarse al Mecanismo de Estabilización.
Artículo 10º.- Con el fin de mantener la debida coherencia del Mecanismo de Estabilización, y durante toda su vigencia, se aplicarán las siguientes reglas especiales respecto del informe técnico semestral de precios de nudo:
a) No se calculará el ajuste o recargo del precio de nudo promedio de energía, a que se refiere el inciso segundo del artículo 157º de la Ley Eléctrica, siendo sustituido por los ajustes incorporados por el Mecanismo de Estabilización.
b) No se aplicarán los cálculos de Ajuste por Armonización Tarifaria ni Cargo de Armonización Tarifaria a que se refieren los artículos 18º y 19º de la resolución Nº 703, sin perjuicio de lo señalado en la presente resolución.
c) No se recalcularán los factores de equidad tarifaria residencial dispuestos por el mecanismo señalado en el inciso segundo del artículo 191º de la Ley Eléctrica, manteniéndose los mismos factores de equidad tarifaria residencial establecidos en el decreto 20T, salvo por la entrada en vigencia de un nuevo decreto que fije el valor agregado de distribución de acuerdo al artículo 190º de la Ley Eléctrica.
d) No se recalcularán los factores de intensidad para cada comuna y los descuentos según porcentaje de aporte, de conformidad a lo establecido en el inciso cuarto y quinto del artículo 157º de la Ley Eléctrica, manteniendo los mismos establecidos en el informe técnico definitivo que dio origen al decreto 20T.
Artículo 11º.- Durante la vigencia del Mecanismo de Estabilización, los precios de energía y potencia que las Distribuidoras pagarán en cada facturación mensual a sus Suministradores, considerarán la aplicación de factores de ajustes de energía y de potencia que permita asegurar que la facturación de los Contratos sea coherente con la recaudación esperada en razón del PEC o PEC Ajustado de la correspondiente Distribuidora.
El Factor de Ajuste de Energía será calculado por la Comisión, de acuerdo a lo siguiente:
i. Para aquellos períodos tarifarios anteriores al 1 de julio de 2023:

ii. Para aquellos períodos tarifarios posteriores al 30 de junio de 2023:

Donde:
fe: Factor único de ajuste de los precios de energía de los Contratos. Dicho factor será mayor o igual a cero.
Re PEC Recaudación proyectada a precios de energía PEC, determinada como la suma de la energía de las compras esperadas, a nivel de subestación primaria de distribución, de las diferentes Distribuidoras durante el semestre de vigencia de las tarifas, valorizadas a los precios PEC o PEC Ajustado, según corresponda, respectivos de cada Distribuidora, en moneda nacional. Dicha variable será mayor o igual a cero.:
Re C21: Pago proyectado de energía de los Contratos que inician su suministro a partir de 2021, determinado como la suma de la energía de las compras esperadas, a nivel de punto de compra, de las diferentes Distribuidoras asociadas a los Contratos que inician su suministro a partir del año 2021, durante el semestre de vigencia de las tarifas, valorizadas a los precios de nudo de largo plazo de energía de sus respectivos Contratos, en moneda nacional. Dicha variable será mayor o igual a cero.
DefD: Déficit Semestral de las Distribuidoras, calculado de conformidad a lo establecido en el artículo 17º, en moneda nacional. Dicha variable será mayor o igual a cero.
DFC21: Suma de las Diferencias de Facturación de los Contratos que inician su suministro a partir de 2021, calculada de conformidad a lo establecido en el artículo 14º, en moneda nacional. Dicha variable podrá ser un valor positivo o negativo.
Re PNLP: Pago proyectado de energía de los Contratos que inician su suministro antes de 2021, determinado como la suma de la energía de las compras esperadas, a nivel de punto de compra, de las diferentes Distribuidoras asociadas a los Contratos que inician su suministro con anterioridad al año 2021, durante el semestre de vigencia de las tarifas, valorizadas a los precios de nudo de largo plazo de energía de sus respectivos Contratos, en moneda nacional. Dicha variable será mayor o igual a cero.
ES: Exceso de Saldos del Sistema, sobre el límite de 1.350 millones de dólares establecido en la ley Nº 21.185, calculado de conformidad a lo establecido en el inciso final del artículo 15º, en moneda nacional. Dicha variable será mayor o igual a cero.
De conformidad a lo anterior, los precios de energía que las Distribuidoras pagarán a sus Suministradores por sus respectivos Contratos corresponderán al precio de nudo de largo plazo de energía del respectivo Contrato, multiplicado por el Factor de Ajuste de Energía señalado en el inciso anterior, y convertido a moneda nacional de acuerdo al tipo de cambio dispuesto en el artículo 6º de la resolución Nº 703.
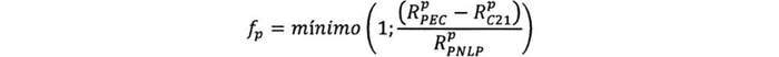
Asimismo, la Comisión calculará un Factor de Ajuste de Potencia de acuerdo a lo siguiente:
i. Para aquellos períodos tarifarios anteriores al 1 de julio de 2023:

ii. Para aquellos períodos tarifarios posteriores al 30 de junio de 2023:

Donde:
fp: Factor único de ajuste de los precios de potencia de los contratos de suministro. Dicho factor será mayor o igual a cero.
Rp PEC: Recaudación proyectada a precios de potencia PEC, determinada como la suma de la potencia de las compras esperadas, a nivel de subestación primaria de distribución, de las diferentes Distribuidoras durante el semestre de vigencia de las tarifas, valorizadas a los precios PEC o PEC Ajustado de potencia, según corresponda, respectivos de cada Distribuidora, en moneda nacional. Dicha variable será mayor o igual a cero.
Rp C21: Pago esperado de potencia a los Contratos que inician su suministro a partir de 2021, determinado como la suma de las potencias de compras esperadas, a nivel de punto de compra, de las diferentes Distribuidoras asociadas a los Contratos que inician su suministro a partir del año 2021, durante el semestre de vigencia de las tarifas, valorizadas a los precios de nudo de largo plazo de potencia de sus respectivos Contratos, en moneda nacional. Dicha variable será mayor o igual a cero.
RP PNLP: Pago proyectado de potencia a los Contratos que inician su suministro antes de 2021, determinado como la suma de las potencias de compras esperadas, a nivel de punto de compra, de las diferentes Distribuidoras asociadas a los Contratos que inician su suministro con anterioridad al año 2021, durante el semestre de vigencia de las tarifas, valorizadas a los precios de nudo de largo plazo de potencia de sus respectivos Contratos, en moneda nacional. Dicha variable será mayor o igual a cero.
Para efectos de lo anterior, las compras esperadas de potencia serán estimadas en el informe técnico a partir de las correspondientes compras esperadas de energía de los respectivos suministros. De conformidad a lo señalado, los precios de potencia que las Distribuidoras pagarán a sus Suministradores por sus respectivos Contratos corresponderán al precio de nudo de largo plazo de potencia del respectivo Contrato, multiplicado por el Factor de Ajuste de Potencia señalado en el inciso anterior, y convertido a moneda nacional de acuerdo al tipo de cambio dispuesto en el artículo 6º de la resolución Nº 703.
Respecto de aquellos contratos cuyo inicio de suministro sea a partir del año 2021, el Factor de Ajuste de energía y potencia será igual a uno.
Artículo 12º.- Las transferencias entre Distribuidoras, en adelante "TD", tienen por objetivo mantener la coherencia de la recaudación de cada Distribuidora con respecto al pago que deben efectuar a sus Suministradores.
Para cada Distribuidora, los TD se calculan de acuerdo a la siguiente expresión:

Donde:
PEC: PEC o PEC Ajustado, según corresponda, de la Distribuidora.
PNLPajustado: Precios que la Distribuidora deberán pagar a su Suministrador por su Contrato "j" en el Punto de Compra "i", de conformidad a lo dispuesto en el artículo 11º.j,i
EPC j,i: Compras esperadas de energía de la Distribuidora por el respectivo Contrato "j" en el Punto de Compra "i".
Edownload Compras esperadas de energía de la Distribuidora a nivel de subestación primaria.
NPC: Número total de Puntos de Compra desde los que se abastece la Distribuidora.
NC: Número total de Contratos que abastecen la Distribuidora.
En consecuencia, las Distribuidoras que cuenten con un TD positivo, deberán realizar transferencias a las Distribuidoras que cuenten con un TD negativo, de conformidad a la metodología del presente artículo.
Las reliquidaciones entre Distribuidoras a que den origen los cargos señalados en este artículo, serán calculadas por el Coordinador a partir del siguiente mecanismo de reliquidación:
Cada Distribuidora deberá pagar los montos asociados a la aplicación de TD, establecido en el respectivo decreto de precios de nudo promedio, considerando lo siguiente:
a) Para cada Distribuidora y a partir de los volúmenes de energía facturados para el suministro de clientes regulados, deberá calcular el monto asociado a la valorización producto de la aplicación de TD correspondientes, de acuerdo a la siguiente expresión.

Donde:
VTD: Valorización de monto asociado a la aplicación de TD por la Distribuidora, en pesos chilenos.
TD: TD de la distribuidora, en pesos chilenos por kilowatt-hora.
EFACTAT: Energía facturada a clientes regulados finales en el nivel de alta tensión de distribución del sector "i" de la Distribuidora, en kilowatt-hora.i
EINYAT: Lectura de inyecciones de energía a la red de distribución por clientes regulados finales, que dispongan de un Equipamiento de Generación, en el nivel de alta tensión de distribución del sector "i" de la Distribuidora, en kilowatt-hora.i
EFACTBT: Energía facturada a clientes regulados finales en el nivel de baja tensión de distribución del sector "i" de la Distribuidora, en kilowatt-hora.i
EINYBT: Lectura de inyecciones de energía a la red de distribución por clientes regulados finales, que dispongan de un Equipamiento de Generación, en el nivel de baja tensión de distribución del sector "i" de la Distribuidora, en kilowatt-hora.i
PEAT: Factor de expansión de pérdidas de energía en alta tensión, indicado en el decreto que fija fórmulas tarifarias aplicables a los suministros sujetos a precios regulados, efectuados por las empresas concesionarias de distribución vigente al momento de elaboración del informe técnico preliminar.
PEBT: Factor de expansión de pérdidas de energía en baja tensión, indicado en el decreto que fija fórmulas tarifarias aplicables a los suministros sujetos a precios regulados, efectuados por las empresas concesionarias de distribución vigente al momento de elaboración del informe técnico preliminar.
NSN: Cantidad de sectores de transmisión zonal de la concesionaria.
Cuando la energía facturada esté conformada por fracciones de tiempo en que se hayan incluido distintos TD, el monto valorizado se determinará a partir de la proporción de días en los cuales se encuentre vigente el TD que en cada caso corresponda.
b) El Coordinador deberá validar la información entregada por las Distribuidoras. Asimismo, deberá determinar la totalidad de los VTD positivos y de los VTD negativos del sistema.
c) La totalidad de los VTD positivos del sistema deberá ser transferida a las Distribuidoras con TD negativos a prorrata de los respectivos VTD negativos. Sin perjuicio de lo anterior, en caso de que la totalidad de los VTD positivos del sistema sea superior a la totalidad de los VTD negativos del sistema, el monto total a transferir por las Distribuidoras, será igual al total de VTD negativos del sistema, y se asignarán a prorrata de los respectivos VTD positivos de las respectivas Distribuidoras.
d) El Coordinador deberá emitir un informe preliminar dentro de los 15 primeros días corridos de cada mes, respecto del mes anterior de facturación, con los montos de transferencias determinados de acuerdo al presente artículo, el cual podrá ser observado por las Distribuidoras. El Coordinador deberá emitir un informe definitivo a más tardar el día 25 de cada mes. Las Distribuidoras deberán hacer efectiva la reliquidación, procediendo a realizar el pago correspondiente, a más tardar 3 días hábiles contados desde la determinación de los montos a reliquidar por el Coordinador en el informe definitivo. Asimismo, deberán informar al Coordinador los pagos recibidos o realizados con ocasión de dicha reliquidación, conforme al formato que para ello establezca el Coordinador.
e) El Coordinador deberá informar a la Comisión y a la Superintendencia, dentro de los 5 días corridos siguientes al informe definitivo al que hace referencia la letra d) anterior, el detalle de los resultados de las reliquidaciones indicadas en la letra c) anterior y los volúmenes de energía determinados de acuerdo a la letra a) de este artículo.
f) Conjuntamente con el envío de la información a que hace referencia la letra anterior, el Coordinador deberá informar a la Comisión los volúmenes de energía y potencia asociados a los Contratos, de acuerdo a los formatos que ésta establezca.
El Coordinador deberá informar periódicamente a la Comisión y a la Superintendencia el monto de las reliquidaciones entre Distribuidoras.
Estas reliquidaciones no afectarán las obligaciones de las Distribuidoras de pagar íntegramente a sus Suministradores, los precios de energía y potencia establecidos en el decreto PNP correspondiente según lo dispuesto en la letra a) del artículo 8º.
Artículo 13º.- El informe técnico a que se refiere el artículo 7º deberá incluir un cálculo, para cada Contrato, de las diferencias originadas por la aplicación del Mecanismo de Estabilización. Las referidas diferencias, en adelante los "Saldos", deberán ser incorporados, a su vez, en los Decretos PNP semestrales.
La contabilización de Saldos deberá considerar las diferencias que se produzcan, a partir del mes de noviembre de 2019, tanto para energía como para potencia, entre el precio que hubiera aplicado de conformidad a las condiciones del correspondiente Contrato y el precio establecido en el decreto PNP respectivo.
Dichas diferencias se medirán como el producto entre las compras reales del período mensual correspondiente, a nivel de punto de compra, y la diferencia entre el precio de nudo de largo plazo vigente al momento de facturación y el precio establecido en el Decreto PNP vigente al momento de la aplicación de la tarifa, de conformidad a lo establecido en la letra a) del artículo 8, o artículo 11º letra b) de la resolución Nº 703, según corresponda, convertido en dólares de los Estados Unidos de América, de acuerdo al promedio mensual del dólar observado del respectivo mes de facturación publicado por el Banco Central de Chile. El valor resultante de dichas diferencias podrá ser positivo o negativo.
Adicionalmente, la contabilización de Saldos de cada Contrato, deberá considerar el Saldo total del período semestral anterior. En caso de que, para un Contrato, el Saldo contabilizado en un período semestral resulte negativo, esto es, montos adeudados a favor de la Distribuidora, el Informe Técnico procederá a registrar la devolución de tales montos a la correspondiente Distribuidora, de modo que dicha transferencia sea incorporada en la contabilización de Saldos del período semestral del señalado Contrato, ajustándose éste a cero. Asimismo, el Informe Técnico considerará dicha transferencia en el balance de la Distribuidora a que se refiere el artículo 17º. Lo anteriormente señalado no será aplicable para el caso de contabilización de Saldos asignables a sistemas medianos. El Coordinador, en un plazo de 5 días hábiles desde la publicación del decreto PNP respectivo, emitirá un cuadro de pago en consideración a lo establecido en el Informe Técnico respecto de las señaladas transferencias, convertido en moneda nacional de acuerdo con el dólar observado de los Estados Unidos de América publicado por el Banco Central de Chile del día hábil siguiente a la publicación decreto PNP antes referido. Los Suministradores deberán proceder al pago indicado en el cuadro de pago recién señalado a las respectivas Distribuidoras, dentro de los 6 días hábiles siguientes contados desde la publicación del referido cuadro de pagos. El siguiente balance de la Distribuidora incorporará las diferencias que se produzcan entre los montos en moneda nacional considerados previamente como transferencias en el correspondiente Informe Técnico y el monto en moneda nacional efectivamente pagado por el Suministrador.
A su vez, la contabilización de Saldos deberá incorporar adicionalmente: i) las diferencias de facturación a que se refiere el artículo 13º de la resolución Nº 703 que no hayan sido pagadas a la fecha de publicación de la ley Nº 21.185, y; ii) las Diferencias por Compras a que hace referencia el artículo 17º de la resolución Nº 703 que no hayan sido pagadas por las facturaciones de AAT a la fecha de publicación de la ley Nº 21.185.
Para tales efectos, dichos montos serán determinados al 31 de octubre de 2019, considerando los reajustes e intereses que les correspondía aplicar de acuerdo a la normativa vigente a dicha fecha, convertidos a dólares de acuerdo al promedio mensual del dólar observado de los Estados Unidos de América publicado por el Banco Central de Chile para el mes de octubre de 2019.
Asimismo, la contabilización de Saldos deberá adicionar la suma total de las Diferencias por Compras del correspondiente Contrato para una ventana de tiempo de 6 meses correspondiente al mismo semestre del año anterior al de la vigencia de la respectiva fijación tarifaria. Aquellas serán determinadas por el Coordinador de conformidad a lo dispuesto en el artículo 17º de la resolución Nº 703, ajustadas a una misma base monetaria conforme las variaciones mensuales del IPC y convertidos en dólares de acuerdo al tipo de cambio establecido en el artículo 6º de la resolución Nº 703.
La contabilización de Saldos de cada Contrato deberá descontar el pago de Saldos producto de lo dispuesto en el artículo 18º, convertido en dólares de acuerdo con el dólar observado de los Estados Unidos de América publicado por el Banco Central de Chile del sexto día hábil siguiente al día de publicación del Cuadro de Pago de Saldos referido en el inciso tercero del artículo 18º.
Los decretos PNP semestrales deberán detallar: i) los Saldos totales acumulados de cada Contrato, y; ii) los Saldos generados en el periodo semestral anterior. En ambos casos, los montos se informarán en dólares de los Estados Unidos de América, identificando la Distribuidora y el Suministrador del respectivo contrato.
El registro y pago del Saldo será independiente que haya vencido el período de suministro o haya terminado anticipadamente el Contrato por cualquier causa.
Los Saldos contabilizados para cada contrato deberán ser totalmente pagados al Suministrador por la correspondiente Distribuidora del respectivo Contrato antes del término de la vigencia del Mecanismo de Estabilización señalado en el artículo 4º.
Los Saldos podrán ser cedidos por los Suministradores, de acuerdo a lo establecido en las normas de derecho común.
En el caso de traspasos de excedentes del artículo 88 del decreto supremo Nº 106 del Ministerio de Energía, de 2015, la contabilización de Saldos se aplicará las siguientes reglas:
a) La Distribuidora deficitaria adquiere la obligación de pago de los Saldos resultantes de su convenio de traspaso de excedentes, tal como si se tratara de un contrato de suministro suscrito entre la Distribuidora deficitaria con el correspondiente Suministrador.
b) La Distribuidora excedentaria del convenio de traspaso de excedentes no tendrá responsabilidades en el pago de los Saldos originados en la facturación de tales traspasos de excedentes del Contrato.
Artículo 14º.- Para el caso de los Contratos que inicien suministro a partir del año 2021, al no estar afectos al Mecanismo de Estabilización, no se considerarán para la contabilización de Saldos a que se refiere el artículo 13º precedente.
Para dichos Contratos, el informe técnico a que se refiere el artículo 5º de la resolución Nº 703, deberá calcular las diferencias de facturación de energía y potencia entre la aplicación de los niveles de precios fijados en el respectivo Contrato y aquellos establecidos en el decreto PNP correspondiente vigente al momento de la aplicación de la tarifa. Para tal efecto, se considerarán las ventas reales en los puntos de compra. A estas diferencias se les denominarán "Diferencias de Facturación".
Las Diferencias de Facturación serán contabilizadas en moneda nacional. Así los precios de nudo de largo plazo del Contrato serán convertidos a moneda nacional, de acuerdo al promedio mensual del dólar observado de los Estados Unidos de América del respectivo mes de facturación publicado por el Banco Central de Chile.
Adicionalmente, las Diferencias de Facturación incorporarán las Diferencias por Compras del correspondiente contrato para una ventana de tiempo de 6 meses correspondiente al mismo semestre del año anterior al de la vigencia de la respectiva fijación tarifaria, determinadas por el Coordinador de conformidad a lo dispuesto en el artículo 17º de la resolución Nº 703, ajustadas a una misma base monetaria conforme las variaciones mensuales del Índice de Precios al Consumidor publicado por el Instituto Nacional de Estadísticas.
Las Diferencias de Facturación considerarán los reajustes e intereses correspondientes de acuerdo en la normativa vigente.
Las Diferencias de Facturación serán pagadas o descontadas por la Concesionaria a los correspondientes Suministradores durante un período de 6 meses siguientes a la publicación del decreto tarifario semestral. Si las Diferencias de Facturación resultan en un abono para el Suministrador, éste se deberá pagar en cuotas iguales mensuales, las cuales no podrán superar las seis cuotas. Si las Diferencias de Facturación resultan en un descuento para el Suministrador, éste deberá ser descontado en la facturación en una única cuota.
Artículo 15°. No Resolución 514 EXENTA,
ENERGÍA
Art. primero N° 1
D.O. 06.05.2022se podrán incrementar los montos de los Saldos a partir de julio de 2023. En tal caso, la Comisión deberá determinar el incremento a los PEC Ajustado de energía necesario para incrementar el pago a los Suministradores sin requerir mayor aumento en los Saldos.
ENERGÍA
Art. primero N° 1
D.O. 06.05.2022se podrán incrementar los montos de los Saldos a partir de julio de 2023. En tal caso, la Comisión deberá determinar el incremento a los PEC Ajustado de energía necesario para incrementar el pago a los Suministradores sin requerir mayor aumento en los Saldos.
Asimismo, si antes de la fecha señalada anteriormente, los Saldos de los Suministradores superaran un monto acumulado de 1.350 millones de dólares, la Comisión determinará un PEC Ajustado que signifique no incrementar dichos Saldos.
Para tales efectos, los informes técnicos cuyos correspondientes períodos tarifarios sean anteriores al 1° de julio de 2023, deberán incluir una proyección de la acumulación y pago de Saldos del correspondiente período tarifario.
En caso de que se estime una acumulación total de Saldos superior a 1.350 millones de dólares durante el período tarifario, el informe técnico deberá calcular el factor único de incremento de los PEC o PEC Ajustado de energía
, el cual se determinará a partir de la
, el cual se determinará a partir de lasiguiente expresión:

Donde:
LS: Límite de Saldos, correspondiente a los 1.350 millones de dólares de los Estados Unidos de América, convertidos a moneda nacional de acuerdo al tipo de cambio dispuesto en el artículo 6° de la resolución N° 703.
SA: Saldo total acumulado del sistema, convertidos a moneda nacional de acuerdo al tipo de cambio dispuesto en el artículo 6° de la resolución N° 703. Dicha variable será mayor o igual a cero.
Re/SSMM : Pago proyectado de energía a las empresas operadoras de los sistemas medianos, determinado como la suma de las energías de las compras esperadas, a nivel de punto de compra, de las diferentes Distribuidoras pertenecientes a sistemas medianos, durante el semestre de vigencia de las tarifas, valorizadas a los correspondientes precios de nudo de energía del decreto tarifario vigente a que se refiere el artículo 178° de la Ley Eléctrica de los respectivos sistemas medianos, en moneda nacional. Dicha variable será mayor o igual a cero.PNLP
Rp/SSMM : Pago proyectado de potencia a las empresas operadoras de los sistemas medianos, determinado como la suma de las potencias de las compras esperadas, a nivel de punto de compra, de las diferentes Distribuidoras pertenecientes a sistemas medianos, durante el semestre de vigencia de las tarifas, valorizadas a los correspondientes precios de nudo de potencia del decreto tarifario vigente a que se refiere el artículo 178° de la Ley Eléctrica de los respectivos sistemas medianos, en moneda nacional. Dicha variable será mayor o igual a cero.PNLP
R Ajustado: Recaudación proyectada en los sistemas medianos a los precios de energía, determinada como la suma de la energía de las compras esperadas, a nivel de subestación primaria de distribución, de los diferentes sistemas medianos durante el semestre de vigencia de las tarifas, valorizadas a los precios de nudo de energía contenidos en la resolución exenta de la Comisión N° 282, de fecha 30 de abril de 2019, ajustados según corresponda, respectivos de cada sistema mediano, en moneda nacional. Dicha variable será mayor o igual a cero.e/SSMM PNLP
R Ajustado: Recaudación proyectada en los sistemas medianos a precios de potencia, determinada como la suma de la potencia de las compras esperadas, a nivel de subestación primaria de distribución, de los sistemas medianos durante el semestre de vigencia de las tarifas, valorizadas a los precios de nudo de potencia contenidos en la resolución exenta de la Comisión N° 282, de fecha 30 de abril de 2019, ajustados según corresponda, respectivos de cada sistema mediano, en moneda nacional. Dicha variable será mayor o igual a cero.p/SSMM PNLP
El referido informe redefinirá los valores de PEC o PEC Ajustado, según corresponda, de acuerdo al factor único de incremento señalado anteriormente.
Adicionalmente, el referido informe deberá recalcular los factores de ajuste de energía y potencia para el período tarifario a que hace referencia el artículo 11°, de acuerdo a lo siguiente:

Por su parte, de acuerdo a lo señalado en el artículo 11°, aquellos informes técnicos cuyos correspondientes períodos tarifarios sean posteriores al 30 de junio de 2023, el Factor de Ajuste de Energía y el Factor de Ajuste de Potencia serán iguales a 1, de modo de evitar la acumulación de Saldos.
Adicionalmente, dichos informes técnicos deberán incluir una proyección de la acumulación y pago de Saldos del correspondiente período tarifario. En caso de que se estime una acumulación total de Saldos superior a 1.350 millones de dólares de los Estados Unidos de América durante el período tarifario, el referido informe deberá calcular el factor único de incremento de los PEC Ajustado de energía aplicable en el correspondiente período tarifario
, el cual se determinará a partir de la siguiente expresión:
, el cual se determinará a partir de la siguiente expresión:
El referido informe redefinirá los valores de PEC Ajustado, de acuerdo al incremento del factor único de incremento señalado anteriormente.
En caso que la contabilización de Saldos efectuada por el informe técnico, determinara que la acumulación total de Saldos ha superado el límite de Saldos de 1.350 millones de dólares de los Estados Unidos de América, el referido informe considerará las adecuaciones necesarias del Factor de Ajuste de la Energía o del PEC o PEC Ajustado, según corresponda, con el fin de recaudar los montos necesarios para pagar el exceso de Saldos sobre el señalado límite. Para tales efectos, el informe técnico determinará el "Exceso de Saldos del Sistema" como la diferencia entre Saldo total acumulado y el límite de Saldos de 1.350 millones de dólares de los Estados Unidos de América, convertido a moneda nacional de acuerdo al tipo de cambio dispuesto en el artículo 6° de la resolución N° 703. El valor de Exceso de Saldos del Sistema así determinado será considerado en las ecuaciones definidas en el presente artículo y en el artículo 11°. El pago del Exceso de Saldos del Sistema resultante se realizará de conformidad a lo establecido en el artículo 18°.
Artículo 16º.- La contabilización de Saldos no devengará interés. Excepcionalmente, a partir del 1 de enero de 2026, los Saldos devengarán un interés que será calculado por la Comisión igual a la tasa Libor de seis meses, o la tasa equivalente que la reemplace, más un spread correspondiente al riesgo país a la fecha de aplicación. El referido spread será determinado a partir de la diferencia entre la tasa de interés de un bono soberano de la República de Chile y la tasa de interés de un bono del Tesoro de los Estados Unidos de América, ambos emitidos en dólares de Estados Unidos de América, para plazos y condiciones similares.
Los señalados intereses serán adicionados al monto de Saldos a que se refiere el artículo 13º. La adición de los intereses señalados en los montos de Saldos no se encontrará limitada por la restricción al incremento de Saldos a partir de julio de 2023 a que se refiere el artículo 15º.
Artículo 17º.- El informe técnico a que se refiere el artículo 5º de la resolución Nº 703 deberá incluir, además, un balance por cada Distribuidora asociado a las compras y retiros de energía y potencia.
En dicho balance se deberá considerar:
a) Adicionar las compras reales a nivel de subestación primaria de distribución, valorizadas a los precios PEC o PEC Ajustados, según corresponda;
b) Descontar las compras reales en los puntos de compra, valorizados a los precios que las Distribuidoras pagan a sus Suministradores por sus respectivos contratos, establecidos en el Decreto PNP semestral de acuerdo a la letra a) del artículo 8º;
c) Adicionar o descontar las transferencias producto de la aplicación de los TD, según si la Distribuidora contaba con un TD negativo o TD positivo, respectivamente;
d) Descontar el déficit del balance del período anterior de la correspondiente Distribuidora;
e) Adicionar o descontar las transferencias recibidas o realizadas a otras Distribuidoras, respectivamente, producto de la ejecución de las instrucciones de pago mandatadas por el balance del período anterior. En el caso que la referida instrucción de pago no se encuentre ejecutada, se deberán adicionar o descontar las transferencias que se originen del balance establecido en el informe técnico del periodo anterior y el balance del período tarifario siguiente deberá considerar las diferencias que se produzcan entre dicho valor contabilizado y el valor efectivamente ejecutado;
f) Descontar las transferencias realizadas a Suministradores producto de la ejecución de las instrucciones de pago mandatadas en el período anterior en virtud del pago de Saldos a que se refiere el artículo 18º. En Resolución 514 EXENTA,
ENERGÍA
Art. primero N° 2
D.O. 06.05.2022el caso que la referida instrucción de pago no se encuentre ejecutada, se deberán adicionar o descontar las transferencias que se originen del balance establecido en el informe técnico del periodo anterior y el balance del período tarifario siguiente deberá considerar las diferencias que se produzcan entre dicho valor contabilizado y el valor efectivamente ejecutado.
ENERGÍA
Art. primero N° 2
D.O. 06.05.2022el caso que la referida instrucción de pago no se encuentre ejecutada, se deberán adicionar o descontar las transferencias que se originen del balance establecido en el informe técnico del periodo anterior y el balance del período tarifario siguiente deberá considerar las diferencias que se produzcan entre dicho valor contabilizado y el valor efectivamente ejecutado.
g) Adicionar las multas y garantías cobradas a los Suministradores en virtud de los contratos de suministro o a los oferentes de los procesos de licitación de suministro;
h) Adicionar o descontar los saldos resultantes de la reliquidación asociada a los factores de equidad tarifaria residencial a los que se refiere el inciso tercero del artículo 9º de la resolución exenta Nº 556, de 6 de octubre de 2017, que establece mecanismo de reliquidación de las diferencias de facturación entre empresas concesionarias de distribución a que se refiere el artículo 191º de la Ley General de Servicios Eléctricos; e,
i) Adicionar o descontar los saldos resultantes del mecanismo de reliquidación asociada a la aplicación del factor CD RGL, al que se refiere el Decreto PNP respectivo.
Las Distribuidoras que cuenten con un balance positivo deberán realizar transferencias a las Distribuidoras que cuenten con un balance negativo. Para estos efectos, el Coordinador establecerá un cuadro de pago de acuerdo a lo establecido en el informe técnico, en un plazo de 5 días hábiles desde la publicación del Decreto PNP respectivo.
En caso que la suma total de los balances negativos sea superior a la suma total de los balances positivos, el cuadro de pagos considerará que las Distribuidoras que cuenten con balance positivo realizarán transferencias por la totalidad de su balance positivo a las Distribuidoras con balance negativo, a prorrata de los respectivos balances negativos.
En el referido caso, la diferencia neta entre la suma total de los balances negativos y la suma total de los balances positivos, se denominará "Déficit Semestral de las Distribuidoras" y será considerado en la determinación de precios del Mecanismo de Estabilización, de modo tal que se estime su pago durante el siguiente período semestral. Una vez determinado el Déficit Semestral de las Distribuidoras, éste será reajustado de acuerdo al interés corriente para operaciones no reajustables en moneda nacional de más de 90 días y para montos superiores a las 5.000 unidades de fomento vigente. Todos los montos considerados serán reajustados por IPC, según corresponda.
El Déficit Semestral de las Distribuidoras será considerado en la determinación de los Factores de Ajuste aplicable a los precios de energía y potencia contenido en el mismo informe técnico de precios de nudo promedio en que dicho déficit ha sido determinado.
En caso que la suma total de los balances positivos sea igual o superior a la suma total de los balances negativos, el cuadro de pagos considerará que el monto total a transferir por parte de cada Distribuidoras con balance positivo será igual una fracción de éste, correspondiente a la razón entre la suma total de los balances negativos de las Distribuidoras y la suma total de los balances positivos de las Distribuidoras.
Adicionalmente, la asignación de tales transferencias entre las distintas Distribuidoras con balances negativos será a prorrata de los respectivos balances negativos. La diferencia neta entre la suma total de los balances positivos y la suma total de los balances negativos, se denominará "Excedente Semestral de las Distribuidoras" y será destinado al pago de los Saldos, de acuerdo a lo señalado en el artículo 18º.
Artículo 18º.- En caso de que el resultado de los balances definido de acuerdo al artículo 17º muestre la existencia de un Excedente Semestral de las Distribuidoras, un monto equivalente a dicho excedente será pagado al conjunto de Suministradores que cuenten con Saldos según el registro señalado en el artículo 13º, a prorrata del monto de Saldos de cada Suministrador, por parte de las Distribuidoras de sus correspondientes contratos. El pago de cada Suministrador de acuerdo a lo señalado anteriormente deberá irse imputando al pago de Saldos de manera cronológica, pagándose de los Saldos más antiguos a los más nuevos.
Para tales efectos, el informe técnico determinará en excedente de cada Distribuidora como la porción en la que contribuye cada Distribuidora en el Excedente Semestral de las Distribuidoras. Cada Distribuidora deberá transferir su excedente entre las distintas Distribuidoras, a prorrata del Saldo total adeudado por éstas.
Los pagos a Suministradores por concepto de Saldos según lo señalado en el presente artículo se realizarán en moneda nacional, siendo definidos en un "Cuadro de Pago de Saldos" que determinará el Coordinador en consideración a lo establecido en el informe técnico de precio de nudo promedio. Dicho Cuadro de Pago de Saldos deberá ser comunicado por el Coordinador en un plazo de 5 días hábiles desde la publicación del Decreto PNP respectivo.
Las transferencias entre Distribuidoras definidas en el presente artículo complementarán el cuadro de pago de transferencias entre Distribuidoras elaborado por el Coordinador a que se refiere el artículo 17º.
Los pagos de Saldos señalados en el presente artículo se realizarán a los Suministradores, o a quien éstos lo hayan cedido, aun cuando haya vencido el período de suministro del Contrato que dio origen a la contabilización de Saldos o aun cuando aquel haya terminado anticipadamente el Contrato por cualquier causa. De conformidad a lo anterior, una vez reconocidos los Saldos en el correspondiente Decreto PNP semestral, estas deudas son independientes de los Contratos que les dieron origen. Para estos efectos, con ocasión del Cuadro de Pago de Saldos, los Suministradores deberán informar a las Distribuidoras los montos de dicho cuadro que corresponden al Suministrador y a quienes éste haya cedido Saldos. Para estos efectos, con ocasión del Cuadro de Pago de Saldos, los Suministradores deberán informar a las Distribuidoras los montos que en dicho cuadro corresponden pagar al Suministrador y los que corresponden pagar a quienes éste haya cedido sus Saldos.
El Coordinador deberá garantizar la continuidad de la cadena de pagos de los Saldos al titular de éstos.
Artículo 19º.- Las Distribuidoras deberán hacer efectivos los pagos a las correspondientes Distribuidoras de acuerdo a lo establecido en el cuadro de pago señalado en el artículo 17º precedente, a más tardar, 3 días hábiles contados desde su publicación por parte del Coordinador. Asimismo, las Distribuidoras deberán informar a la Comisión los pagos recibidos o realizados en virtud del cuadro de pago, conforme al formato que para ello establezca la Comisión.
Una vez publicado el Cuadro de Pago de Saldos por parte del Coordinador, los Suministradores deberán emitir las facturas correspondientes en un plazo máximo de 3 días hábiles. En dicha factura sólo podrán incluir el mencionado pago de Saldos.
Las Distribuidoras deberán hacer efectivos los pagos a sus correspondientes Suministradores, o en el caso de verificarse una cesión a sus cesionarios, de acuerdo a lo establecido en el Cuadro de Pago de Saldos señalado en el artículo 18º precedente, a más tardar, 6 días hábiles desde la publicación del Cuadro de Pago de Saldos, antes señalado. Asimismo, las Distribuidoras deberán informar a la Comisión los pagos realizados en virtud del Cuadro de Pago de Saldos, conforme al formato que para ello establezca la Comisión.
Artículo 20º.- La totalidad de los Saldos deberán ser pagados completamente, a más tardar, el 31 de diciembre de 2027.
Para tales efectos, los informes técnicos preliminares a que se refiere el artículo 7º cuyos correspondientes períodos tarifarios sean posteriores al 31 de diciembre de 2024, deberán incluir una proyección de la acumulación y pago de Saldos hasta el 31 de diciembre de 2027.
En caso que del resultado de dicha proyección se estime que los pagos proyectados no logren pagar la totalidad de los Saldos esperados, el referido informe deberá calcular un factor único de incremento de los PEC Ajustados de energía aplicable hasta el 31 de diciembre de 2027, necesario para que la proyección de pagos extinga la totalidad de los Saldos. Asimismo, el referido informe incorporará dicho incremento al valor de los PEC Ajustados para el correspondiente período semestral. De conformidad a lo anterior, el factor único de incremento del PEC Ajustado de energía será evaluado en su pertinencia y magnitud en cada informe técnico semestral.
Adicionalmente, si los informes técnicos señalados en el inciso segundo del presente artículo determinan que la acumulación total de Saldos ha superado el límite de Saldos de 1.350 millones de dólares, deberá aplicarse lo dispuesto en el último inciso del artículo 15º
Sin perjuicio de lo anterior, con el fin de asegurar el pago total de los Saldos a más tardar el 31 de diciembre de 2027, en el informe técnico se podrá establecer, durante el período anual de 2027, montos de Saldos a ser pagados por los Distribuidores a sus correspondientes Suministradores, sin necesidad de que se constate la existencia de un Excedente Semestral de las Distribuidoras.
Artículo 21º.- Los precios resultantes de la aplicación del Mecanismo de Estabilización plasmado en el decreto tarifario semestral a que se refiere el artículo 8º, no afectarán cálculo del precio estabilizado de la energía definido en el decreto supremo Nº 244, de 2006, del Ministerio de Economía, Fomento y Reconstrucción, que Aprueba el reglamento para medios de generación no convencionales y pequeños medios de generación establecidos en la Ley Eléctrica, o el que lo reemplace.
Artículo 22º.- En conformidad a lo dispuesto en el inciso tercero del artículo decimotercero transitorio de la Ley Nº 21.194, el Mecanismo de Estabilización es aplicable a los Sistemas Medianos.
En virtud de lo anterior, en el período comprendido entre el 1 de julio de 2019 y el 31 de diciembre de 2020, para el caso de las Distribuidoras pertenecientes a sistemas medianos y cuyas tarifas no se encuentren incluidas en el Decreto 20T, los precios que podrán traspasar a sus clientes sujetos a fijación de precios corresponderán a los niveles de precios de nudo de energía y potencia aplicados por las Distribuidoras al 31 de octubre de 2019. Dichos precios se considerarán para todos los efectos parte del PEC. De acuerdo a lo anterior, los precios PEC considerarán a su vez los precios de nudo de energía y potencia contenidos en la resolución exenta de la Comisión Nº 282 de fecha 30 de abril de 2019 y los valores del parámetro Ni contenidos en la resolución exenta de la Comisión Nº 279 y en la resolución exenta de la Comisión Nº 281, ambas de fecha 30 de abril de 2019.
Asimismo, en el período comprendido entre el 1 de enero de 2021 y hasta el término del Mecanismo de Estabilización, los precios que las referidas Distribuidoras podrán traspasar a sus clientes regulados se encontrarán incluidos en las fijaciones semestrales a que se refiere el artículo 158º de la Ley Eléctrica, siendo incorporados en los precios de la letra c) del artículo 8º, los que en cualquier caso no podrán ser superiores al PEC Ajustado.
A su vez, para los efectos de la aplicación del Mecanismo de Estabilización, los precios de nudo de energía y potencia de los sistemas medianos que corresponda aplicar de acuerdo a las fijaciones de precios establecidas por el artículo 178º de la Ley Eléctrica, serán consideradas como precios de nudo de largo plazo para estos efectos, siendo incorporados dichos precios en los precios de la letra a) del artículo 7º y letra a) del artículo 8º, así como también sus fórmulas de indexación serán incorporadas en la letra b) del artículo 7º.
La empresa operadora del sistema mediano se entenderá para los efectos de esta resolución como un Suministrador que posee un contrato de suministro con la correspondiente concesionaria de distribución que abastece. En caso de existir más de un operador en el sistema mediano, se entenderá por Suministrador aquel operador que posea mayor capacidad de generación instalada en el correspondiente sistema mediano, el cual debe asegurar la repartición de la recaudación por ventas de energía y potencia a clientes regulados de conformidad a lo establecido en el decreto supremo Nº 23, de 2015, del Ministerio de Energía. A su vez, el pago de Saldos se efectuará a la operadora que posea mayor capacidad de generación instalada en el correspondiente sistema mediano, la cual deberá repartir dicho monto entre los distintos operadores del sistema mediano a prorrata de los montos totales adeudados a cada uno de ellos, para lo cual el correspondiente Comité Coordinador definido en el señalado decreto supremo Nº 23 deberá llevar una contabilización mensual de los montos adeudados para cada operador del respectivo sistema mediano, aplicando en lo que corresponda las reglas fijadas en el presente procedimiento.
Las diferencias de facturación que se produzcan hasta el 31 de octubre de 2019 debido a la publicación de los decretos tarifarios asociados al proceso tarifario 2018-2022 serán incorporados a los Saldos del respectivo sistema mediano, considerando los reajustes e intereses hasta el 31 de octubre de 2019, de acuerdo en la normativa aplicable vigente a dicha fecha, y convertidos a dólares de acuerdo al promedio mensual del dólar observado de los Estados Unidos de América publicado por el Banco Central de Chile para el mes de octubre de 2019. A su vez, las diferencias de facturación que se produzcan con posterioridad al 31 de octubre de 2019 debido a la publicación de los decretos tarifarios asociados al proceso tarifario 2018-2022 serán incorporados a los Saldos asignables al respectivo sistema mediano, sin considerar reajustes ni intereses, y convertidos a dólares de acuerdo al promedio mensual del dólar observado de los Estados Unidos de América del respectivo mes de facturación publicado por el Banco Central de Chile.
Las diferencias de facturación que se produzcan en cada sistema mediano como resultado de la aplicación de los valores del parámetro Ni señalados en el inciso segundo del presente artículo y la correspondiente actualización de éstos conforme a lo establecido en el decreto de fijación de precios definido en el artículo 178º de la Ley, deberán ser contabilizadas en el balance al que se refiere el artículo 17º para las respectivas Distribuidoras.
Para el caso de las Distribuidoras pertenecientes a sistemas medianos cuyas tarifas se encuentren incluidas en el Decreto 20T, se deberán descontar de las compras a las que refiere el literal a) del artículo 17º, los montos que corresponda asignar a los respectivos sistemas medianos, los que se determinarán como el resultado de la diferencia entre el precio nudo de largo plazo ajustado y el PEC o PEC Ajustado del respectivo sistema mediano, multiplicada por la energía o potencia facturada en el punto de suministro de dicho sistema, según corresponda.
La energía proveniente de sistemas medianos no se considerará en la valorización del monto asociado a la aplicación de TD al que se refiere el literal a) del artículo 12º de la presente resolución.
Respecto Resolución 514 EXENTA,
ENERGÍA
Art. primero N° 3
D.O. 06.05.2022de lo dispuesto en el artículo 15° de la presente resolución, en caso de que se estime una acumulación total de Saldos superior a 1.350 millones de dólares durante el período tarifario, en aquellos sistemas medianos cuyas tarifas no se encuentren incluidas en el Decreto 20T deberá adecuarse el PEC o PEC Ajustado y el precio de nudo de largo plazo ajustado contenidos en la resolución exenta de la Comisión N° 282, de fecha 30 de abril de 2019, ajustados según corresponda, a través del mismo factor único de incremento de los PEC o PEC Ajustado de energía
señalado en el artículo 15° de la presente resolución. Sin perjuicio de lo anterior, para cada Distribuidora, el resultante precio PEC o PEC Ajustado de energía, incrementado por el señalado factor
, no podrá resultar superior a la suma de las tarifas de energía de los correspondientes sistemas medianos establecidas en el decreto tarifario vigente a que se refiere el artículo 178° de la Ley Eléctrica, ponderadas por su correspondiente parámetro ni determinado en el Informe Técnico, pudiendo adecuarse el cálculo del factor para cumplir dicha condición
ENERGÍA
Art. primero N° 3
D.O. 06.05.2022de lo dispuesto en el artículo 15° de la presente resolución, en caso de que se estime una acumulación total de Saldos superior a 1.350 millones de dólares durante el período tarifario, en aquellos sistemas medianos cuyas tarifas no se encuentren incluidas en el Decreto 20T deberá adecuarse el PEC o PEC Ajustado y el precio de nudo de largo plazo ajustado contenidos en la resolución exenta de la Comisión N° 282, de fecha 30 de abril de 2019, ajustados según corresponda, a través del mismo factor único de incremento de los PEC o PEC Ajustado de energía
señalado en el artículo 15° de la presente resolución. Sin perjuicio de lo anterior, para cada Distribuidora, el resultante precio PEC o PEC Ajustado de energía, incrementado por el señalado factor
, no podrá resultar superior a la suma de las tarifas de energía de los correspondientes sistemas medianos establecidas en el decreto tarifario vigente a que se refiere el artículo 178° de la Ley Eléctrica, ponderadas por su correspondiente parámetro ni determinado en el Informe Técnico, pudiendo adecuarse el cálculo del factor para cumplir dicha condición En caso de que el Saldo asignable a un sistema mediano resulte negativo, esto es, montos adeudados a favor de la Distribuidora, dicho Saldo será utilizado para descontar Saldos positivos contabilizados en aquellos sistemas medianos correspondientes al mismo Suministrador, a prorrata de dichos Saldos positivos. Para estos efectos, en aquellos sistemas donde exista más de un operador, el Comité Coordinador deberá velar por la correcta contabilización de los montos adeudados por cada operador o a cada uno de ellos, según corresponda, y determinar las transferencias que procedan. En aquellos casos en que se trate de aportes recibidos por parte de sistemas medianos con Saldos negativos, el Comité Coordinador deberá determinar las transferencias entre los operadores miembros, a efectos de repartir dichos montos. Por su parte, tratándose de casos en que el respectivo sistema mediano resulte con Saldos negativos, el Comité Coordinador deberá determinar las transferencias entre los operadores miembros, a efectos de contabilizar el aporte que deben realizar hacia los sistemas medianos con Saldos positivos. Las señaladas transferencias deberán realizarse, dentro de los 6 días hábiles siguientes contados desde la publicación del decreto PNP respectivo, convertidas en moneda nacional de acuerdo con el dólar observado de los Estados Unidos de América del día hábil siguiente a la publicación del Decreto PNP antes referido publicado por el Banco Central de Chile.
Artículo 23º.- Los clientes sometidos a regulación de precios que opten por cambiar al régimen de precios libres, a partir de la vigencia de la ley Nº 21.185 y hasta el término del Mecanismo de Estabilización, deberán participar de este Mecanismo de Estabilización en igualdad de condiciones con el resto de los clientes regulados, a través de un componente específico que se adicionará al peaje de distribución conforme lo determine la Comisión, lo que será incorporado en los decretos tarifarios de peajes.
Para tal efecto, en el Informe Técnico "Fijación de Peajes Distribución", que debe ser enviado por la Comisión al Ministerio de Energía con ocasión de la fijación de dichas tarifas, se incluirá el mecanismo por el cual los clientes libres participen del mecanismo señalado en el inciso anterior.
Adicionalmente, las Distribuidoras deberán llevar un registro de sus clientes que opten por cambiar al régimen de precios libres a partir de la vigencia de la ley Nº 21.185 y sus correspondientes consumos mensuales de energía y potencia.
Las recaudaciones que obtenga la Distribuidora producto de la aplicación de una componente específica en el peaje de distribución conforme al presente artículo, deberá ser adicionada a su balance asociado a las compras y retiros de energía y potencia, a que se refiere el artículo 17º.
Artículo 24º.- La Comisión podrá calcular los parámetros tarifarios asociados a combinaciones o sectores de distribución que no estén contenidos en el Decreto 20T, siempre y cuando dicha situación responda a la existencia de nuevas combinaciones, o a sectores de distribución de nuevas empresas concesionarias cuya creación fuese realizada en fecha posterior a la dictación del referido decreto. Dichos parámetros tarifarios serán incluidos en el informe técnico y decreto tarifario a los que se refieren respectivamente el artículo 7º y el artículo 8º.
Artículo 25º.- Para el primer proceso de fijación de precios de nudo promedio que se realice con posterioridad a la publicación de la ley Nº 21.185, se aplicarán las siguientes reglas especiales:
a) Los plazos dispuestos de la resolución Nº 703 no serán exigibles.
b) Para efectos de la aplicación del inciso tercero del artículo 6º de la resolución Nº 703, el dólar a considerar, en lo que fuere pertinente, será el promedio del valor diario del dólar observado de los Estados Unidos de América del periodo de abril a septiembre de 2019.
Artículo 26º.- La Comisión informará semestralmente a las Comisiones de Minería y Energía del Senado y de la Cámara de Diputados la cuantía de los Saldos que se generen en virtud de lo dispuesto en esta resolución.
Artículo tercero: Publíquese la presente resolución en forma íntegra en el sitio web de la Comisión Nacional de Energía y en el Diario Oficial.
Anótese, comuníquese y publíquese.- José Agustín Alberto Venegas Maluenda, Secretario Ejecutivo Comisión Nacional de Energía.