ESTABLECE TABLA DE COSTOS PARA EL AÑO 2021, QUE FIJA LOS VALORES DE LAS ACTIVIDADES QUE SE BONIFICARÁN EN EL MARCO DEL SISTEMA DE INCENTIVO PARA SUSTENTABILIDAD AGROAMBIENTAL DE LOS SUELOS AGROPECUARIOS Y DEROGA DECRETO QUE INDICA
Núm. 9.- Santiago, 5 de agosto de 2021.
Visto:
Lo dispuesto en el artículo 32 N° 6, de la Constitución Política de la República, el DFL N° 294, de 1960, del Ministerio de Hacienda, que establece funciones y estructura del Ministerio de Agricultura; la ley N° 20.412, que establece un Sistema de Incentivos para la Sustentabilidad Agroambiental de los Suelos Agropecuarios; la ley N° 21.289, sobre Presupuestos del Sector el Público para el año 2021; el decreto N° 51, de 2011, del Ministerio de Agricultura, que fija el Reglamento de la ley N° 20.412, y la resolución N° 7, de 2019, de la Contraloría General de la República.
Considerando:
Que la ley N° 20.412 establece un Sistema de incentivos para la Sustentabilidad Agroambiental de los Suelos Agropecuarios, cuyos objetivos son la recuperación del potencial productivo de los suelos agropecuarios degradados y la mantención de los niveles de mejoramiento alcanzados.
Que el artículo 3° de la ley N° 20.412, dispone que el sistema de incentivos por ella establecido, consistirá en una bonificación estatal de los costos netos de las actividades bonificables consignadas y definidas en dicha ley, señalando en su inciso final que los valores de las actividades que se bonificarán serán fijados en una Tabla de Costos que se establecerá en forma anual mediante decreto del Ministerio de Agricultura, que deberá contar con la visación de la Dirección de Presupuestos del Ministerio de Hacienda.
Que la misma disposición indicada en el considerando precedente, establece que la Tabla de Costo debe considerar las particularidades de las zonas y sectores donde se despliegue el programa al interior de cada Región, y que podrá ser modificada cuando las condiciones del mercado o del sector agropecuario así lo amerite.
Decreto:
1. Fíjase la siguiente Tabla de Costos que establece, para el año 2021, los valores de las actividades que se bonificarán en el marco del Sistema de Incentivos para la Sustentabilidad Agroambiental de los Suelos Agropecuarios, las especificaciones técnicas generales y los niveles mínimos técnicos de las siguientes prácticas:
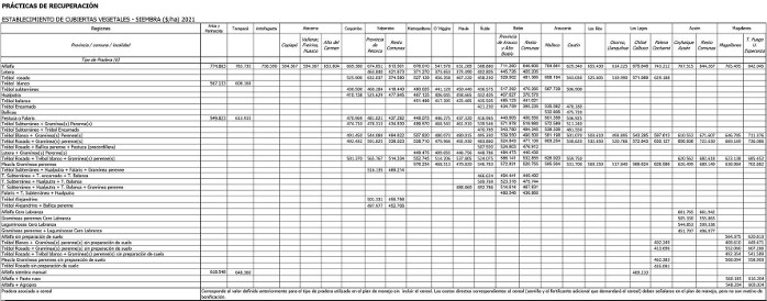
PRÁCTICAS DE RECUPERACIÓN
I INCORPORACIÓN DE FERTILIZANTES DE BASE FOSFORADA.
(1) Aplicación de fósforo (kg P2O 5): Tiene por objeto incentivar el uso de una dosis de fertilización fosforada de recuperación en suelos deficitarios. El precio para la unidad de fósforo (P) corresponde al valor del kg de P 2O 5 calculado sobre la base del precio de la unidad de fosforo más barata del mercado. El agricultor podrá emplear el fertilizante fosfatado (soluble en agua) que desee, no obstante, el valor de la unidad de P será siempre el definido en la tabla anual de costos.
II INCORPORACIÓN DE ELEMENTOS QUÍMICOS ESENCIALES.
(2) Enmiendas calcáreas (kg CaCO3): Consiste en la aplicación de materiales calcáreos al suelo con el fin de disminuir la acidez o reducir la toxicidad de Aluminio. Para la determinación de la cantidad de producto comercial a aplicar (equivalente a la dosis de CaCO 3 comprometida en el plan de manejo) se deberá considerar el "Valor Agronómico" (VA) de dicho producto. Este utiliza para su cálculo el valor de neutralización, el contenido de humedad y la eficiencia relativa según el grado de molienda. Al respecto, se considerará una eficiencia del 100% si la finura del producto es de mínimo 100 mesh, 60% si su finura está entre 20 y 60 mesh, 20% si su finura está entre 8 y 19 mesh y 0% si su finura es inferior a 8 mesh.
(3) Aplicación de potasio (kg K2O): Tiene por objeto incentivar el uso de una dosis de fertilización potásica de recuperación en suelos deficitarios.
(4) Aplicación de azufre (kg S): Tiene por objeto incentivar el uso de una dosis de fertilización azufrada de recuperación en suelos deficitarios.
(5) Enmienda ácida: Tiene por objeto corregir suelos que presenten problemas de exceso de sodio y/o sales, donde la dosis de las enmiendas varía según tipo de suelo. Se requiere análisis químico de suelo para la determinación de los siguientes parámetros:
RAS: Relación de adsorción de Sodio.
PSI: Porcentaje de Sodio Intercambiable.
CE: Conductividad Eléctrica
PH: Medido en agua. Este parámetro es solo referencial.
El material a utilizar como enmienda puede ser sulfato de calcio o ácido sulfúrico, según región.
En las siguientes tablas se detallan las especificaciones por región y tipo de suelo.
a) Regiones de Arica y Parinacota y de Tarapacá

b) Regiones de Antofagasta y de Atacama

III ESTABLECIMIENTO DE UNA CUBIERTA VEGETAL EN SUELOS DESCUBIERTOS O CON COBERTURA DETERIORADA.
(6) Establecimiento de praderas (ha): Tiene por objeto el establecimiento de especies leguminosas y/o gramíneas en suelos degradados, con el objeto de dar cobertura permanente a éste y proporcionar alimentación animal. Para el caso de establecimiento de praderas sin preparación de suelo, consideradas para la provincia de Palena y comuna de Cochamó (Región de Los Lagos) y Región de Magallanes y de la Antártica Chilena, éstas serán establecidas a continuación de un cultivo anual que deje un suelo mullido y en condiciones adecuadas para la germinación y emergencia de las semillas forrajeras a establecer. Se entenderá por cobertura permanente, el establecimiento de especies o mezclas de éstas, que al menos tengan una duración vegetativa de 3 años o más.
(7) Regeneración de praderas (ha): Tiene por objeto la regeneración de especies leguminosas y/o gramíneas en praderas con algún grado de deterioro, con el objeto de recuperar la cobertura de ésta y proporcionar alimentación animal.
IV EMPLEO DE MÉTODOS DE INTERVENCIÓN DEL SUELO, ENTRE OTROS ROTACIÓN DE CULTIVOS, ORIENTADOS A EVITAR SU PÉRDIDA Y EROSIÓN, Y A FAVORECER SU CONSERVACIÓN.
(8) Aplicación de guanos (ton): Implica la distribución e incorporación al suelo de un mínimo de 12 ton/ha de guano maduro o semimaduro en estado sólido o pastoso. Se entiende por guano a los subproductos de la ganadería que incluye excrementos animales y material de cama transformado, en donde no es posible identificar en ellos la composición de la cama y de las deyecciones debido al alto nivel de fermentación.
En relación con el almacenamiento, transporte y aplicación del guano, deberán respetarse los criterios de manejo de guano establecidos en el documento vigente "Pauta Técnica para la Aplicación de Guano", elaborado por la División de Recursos Naturales Renovables del Servicio Agrícola y Ganadero.
Además, se deberá demostrar que la aplicación de guano no producirá contaminación por Nitrógeno, para lo cual el cálculo de la dosis de guano a aplicar deberá estar fundamentado a través de la metodología propuesta en el documento antes mencionado.
Lo señalado en el párrafo anterior no se aplicará para las Regiones de Arica y Parinacota, de Tarapacá, de Antofagasta y de Atacama, dado que sus características edafoclimáticas, así como sus sistemas productivos y los rendimientos promedios obtenidos, no permiten la utilización de la metodología propuesta en dicho documento. A consecuencia de lo anterior, la dosis a aplicar será de hasta 24 ton/ha, la que deberá ser debidamente justificada en el Informe Técnico respectivo. No obstante, podrán aumentar, con la debida justificación técnica y sólo para áreas específicas, esta dosis hasta 48 ton/ha.
Esta práctica sólo considera la bonificación del valor del producto.
En el caso de suelos de secano y en los suelos de la Región de Coquimbo, la dosis mínima a aplicar será de 8 ton/ha. Para los suelos de secano de las Regiones de Valparaíso, Metropolitana de Santiago, del Libertador General Bernardo O'Higgins, del Maule y del Biobío, la dosis mínima a aplicar será de 6 ton/ha.
(9) Aplicación de guano rojo (kg): Se entiende por tal al producto formado por el excremento de aves marinas, fosilizado a través del tiempo en las costas del norte chileno, el que se aplica en dosis de hasta 1.000 kg/ha/año, destinada al mejoramiento de las propiedades físicas del suelo. Esta práctica sólo considera la bonificación del valor del producto.
(10) Aplicación de compost (aplicación de materia orgánica) (m3): Implica la aplicación y distribución de un mínimo de 20 m 3/ha de compost, entendiendo por tal al producto resultante del proceso de compostaje, constituido principalmente por materia orgánica estabilizada donde no se reconoce su origen, puesto que se encuentra degradado generando partículas más finas y obscuras.
(11) Aplicación de roca fosfórica (kg): Consiste en la aplicación de dosis equivalente no superior a 200 kg P2O 5/ha sobre suelos de pH inferior o igual a 5,8 (medido en agua), lo que deberá ser demostrado por el correspondiente análisis químico de suelo. Esta práctica no es compatible con el subprograma "Incorporación de fertilizantes de base fosforada" ni con la práctica de "Guano rojo".
(12) Establecimiento e incorporación de abono verde (ha): Mínimo 20 ton/ha (Materia Verde). Contempla los costos derivados del cultivo de leguminosas o leguminosas asociadas a cereales, destinadas únicamente a ser incorporadas al suelo. Además, considera los costos del corte e incorporación de dicho cultivo.
(13) Manejo de rastrojos (ha): Las prácticas de este numeral implican la obligación del beneficiario de no quemar rastrojos en ninguna parte del predio objeto del beneficio, salvo condiciones de emergencia sanitaria decretada por la autoridad correspondiente. Tales prácticas son las siguientes:
a. Acondicionamiento rastrojo de cereal (ha): Incluye gastos de fraccionamiento de rastrojo y aplicación de al menos 23 unidades de nitrógeno/ha para descomposición, excepto en la Región de Los Ríos y de Los Lagos donde deben ser al menos 35 unidades de nitrógeno/ha. En el caso de labranza tradicional, este valor también incluye los costos derivados de la incorporación del rastrojo al suelo y, en el caso de cero labranza incluye el hilerado de éstos. Esta práctica no es compatible con la práctica de "Fraccionamiento de rastrojo (ha)" ni la de "Incorporación de Rastrojo (ha)".
b. Acondicionamiento rastrojo de maíz (ha): Incluye gastos de fraccionamiento de rastrojo y aplicación de al menos 30 unidades de Nitrógeno/ha para descomposición. En el caso de labranza tradicional, este valor también incluye los costos derivados de la incorporación del rastrojo al suelo y en el caso de cero labranza incluye el hilerado de éstos. Esta práctica no es compatible con la práctica de "Fraccionamiento de rastrojo (ha)" ni la de "Incorporación de Rastrojo (ha)".
c. Fraccionamiento de rastrojo (ha): Consiste en la utilización de maquinaria para el picado de los rastrojos, aumentando la superficie de contacto de éstos, facilitando de esta manera su descomposición. Incluye sólo el costo de la maquinaria.
d. Incorporación de rastrojo (ha): Considera los costos derivados de la incorporación del rastrojo al suelo.
e. Incorporación de rastrojos de raps (ha): Consiste en la utilización de maquinaria para el picado e incorporado de los rastrojos al suelo. Incluye sólo el costo de la maquinaria.
(14) Cero labranza y cero labranza tiro animal (ha): Sistema de siembra directa, en el cual no se realiza un movimiento importante del suelo (ni araduras, ni rastrajes). Considera los costos derivados del herbicida y su aplicación, los costos de la maquinaria de siembra y los relativos a las labores de fraccionamiento de rastrojos explicados en el numeral 13 precedente. Esta práctica es incompatible con la quema de rastrojos.
(15) Cero labranza sobre pradera (ha): Considera los costos derivados del herbicida y su aplicación, además de los costos relativos a la siembra (arriendo de maquinaria).
(16) Uso de arado cincel (ha): El objetivo de esta práctica es descompactar el suelo. Se recomienda el paso de este implemento a una profundidad de entre 18 y 30 cm, a velocidad relativamente alta (más de 8 km/h), para que la vibración de los arcos ayude a soltar el suelo sin invertir la superficie. Considera sólo el costo de arriendo de la maquinaria.
(17) Uso de subsoladores (ha): Esta práctica tiene como objetivo romper las capas compactadas del suelo, permitiendo de esta manera mejorar la infiltración del agua en el suelo, las condiciones estructurales del suelo y la capacidad de retención de humedad en el suelo. Estas prácticas se deben realizar con tractor oruga o agrícola equipado con subsolador. Se sugiere ejecutar las prácticas en suelos secos a fin de mejorar la eficiencia. En caso de que el subsolado se efectúe en terreno con marcadas pendientes (mayor a 10%), la labor se debe efectuar siguiendo curvas de nivel. En el Informe Técnico se deberá especificar con claridad la profundidad de la estrata o capa compactada que se busca romper con la aplicación de estas prácticas. Tales prácticas son las siguientes:
a. Subsolador (ha): Esta práctica considera una profundidad mínima de 40 cm y un ancho de trabajo entre 1,5 a 2 m.
Subsolador escarificador (ha): Esta práctica considera una profundidad de trabajo entre 35 y 40 centímetros. Esta práctica se debe realizar en sentido perpendicular a la dirección de la pendiente. Esta práctica no es recomendable para suelos no estructurados.
(18) Nivelación con pala mecánica (hr): Considera un máximo de 4 horas/hectárea para nivelación. Esta práctica deberá justificarse técnicamente de acuerdo a lo establecido en el decreto supremo N° 83/10 y sus modificaciones, del Ministerio de Agricultura, que declara la Clasificación de Suelos Agropecuarios y Forestales en todo el país.
(19) Micronivelación manual (ha): Tiene por objetivo proteger las hileras de siembra y ahorrar en consumo de agua. Considera la marcación de melgas, rayado de eras, construcción de pretiles (bordos), construcción de canales provisorios internos y nivelación.
(20) Micronivelación de suelos (hr): Considera un máximo de 2 horas/hectárea para micronivelación. Esta práctica deberá justificarse técnicamente de acuerdo a lo establecido en el decreto supremo N° 83/10 y sus modificaciones, del Ministerio de Agricultura, que declara la Clasificación de Suelos Agropecuarios y Forestales en todo el país.
(21) Preparación de suelos arroceros y micronivelación con pala láser (ha): Considera las labores de borrado de pretiles, arado cincel, rastrajes y nivelación con pala mecánica láser.
(22) Construcción de murete de piedras para terrazas de cultivo (m3): Corresponde a un muro de piedra, destinado a la contención del suelo que conforma una era, andén o terraza de cultivo. Constituye parte del patrimonio cultural agrario de la zona norte y su función es proporcionar estabilidad a la estructura que permite nivelar el suelo para destinarlo a cultivo en zonas de montaña, valles y quebradas con pendientes pronunciadas. Las dimensiones de la estructura son variables, dependiendo de la pendiente y de las características del suelo donde se ubica la era, andén o terraza. Esta práctica incorpora en su costo las labores de confección de herido y levantamiento del muro.
(23) Construcción pircas (m lineal): Muro de piedras con altura minima 90 cm. Tiene como finalidad cercar un área determinada.
(24) Cerco eléctrico:
a. Construcción de cerco eléctrico fijo, 2 hebras (km lineal): Para el caso de la Región de Los Lagos y de Aysén del General Carlos Ibáñez del Campo se consideran postes cada 6 metros y dos hebras de alambre liso. Para el caso de la Región de Magallanes y de la Antártica Chilena, se consideran 2 hebras de alambre liso o electrocable, con postes distanciados a 20 metros y piquetes enterrados entre postes a aproximadamente 6,5 m.
b. Construcción cerco eléctrico fijo, 3 hebras (km lineal): Para el caso de la Región de Los Lagos, se consideran postes cada 6 metros y tres hebras de alambre liso; para el caso de la Región de Magallanes y de la Antártica Chilena, se consideran 3 hebras de alambre liso o electrocable, con postes distanciados a 20 metros y piquetes enterrados entre postes a aproximadamente 6,5 m.
c. Construcción cerco eléctrico móvil, 2 hebras (km lineal): 2 hebras de electrocable, con estacas plásticas enterradas cada 15 m.
d. Construcción cerco eléctrico móvil, 3 hebras (km lineal): 3 hebras de electrocable, con estacas plásticas enterradas cada 15 m.
e. Energizador - Bajo: Capacidad de 10 a 14 km. Considera sólo el costo del energizador.
f. Energizador - Medio: Capacidad de 15 a 34 km. Considera sólo el costo del energizador.
g. Energizador - Alto: Capacidad de 35 y más km. Considera sólo el costo del energizador.
h. Panel Solar: Consiste en una unidad energética para abastecer de energía a la batería que alimenta al energizador. El monto a bonificar no considera la batería.
(25) Construcción cerco tradicional (m lineal): El objetivo de esta práctica está asociado exclusivamente al manejo de praderas, teniendo como propósito central evitar el sobretalajeo y deterioro de éstas, además de lo anterior podrá usarse como protección de sistemas silvopastorales, aguadas y protección para el control de erosión de cárcavas. En consecuencia, no podrá ser utilizado como cerco limítrofe o para la protección de cultivos. Se exceptúan de lo anterior, las provincias de Parinacota y Tamarugal, comuna de Cabo de Hornos, y localidad de Dorotea de la comuna de Natales, donde podrá usarse como cerco limítrofe. En la Región de Magallanes y de la Antártica Chilena, se podrá usar como cerco de protección de establecimiento de praderas.
El detalle de las especificaciones por Región o zona es el siguiente:
a. Regiones de Arica y Parinacota y de Tarapacá: corresponde a un cerco de cinco hebras de alambre liso 14 o mayor diámetro, con postes tensores de 3x4" distanciados cada 12 metros y 3 postes de 1,5x2" entre claros (separados cada 3 metros).
b. Regiones de Antofagasta y de Atacama: considera cuatro hebras alambre liso más una hebra de alambre de púas, postes cada tres metros, el uso de malla tipo 5014 es opcional y el costo adicional es de cargo del productor.
c. Regiones de Coquimbo, de Valparaíso, Metropolitana de Santiago y del Libertador General Bernardo O'Higgins: cuatro hebras de alambre liso más dos hebras de alambre de púas o seis hebras de alambre de púas y postes cada tres metros.
d. Isla de Pascua: cuatro hebras de alambre de púas, postes cada tres metros.
e. Regiones del Maule, del Ñuble, del Biobío, de La Araucanía y de Los Ríos: cinco hebras de alambre de púas, postes cada 2,5 metros.
f. Regiones de Los Lagos y de Aysén del General Carlos Ibáñez del Campo: cinco hebras de alambre de púas, postes cada tres metros o seis hebras de alambre liso o cuatro hebras de alambre liso y dos hebras alambre de púas, postes cada tres metros, con tres varillas entre claros. Excepcionalmente este cerco podrá ser usado en la Región de Magallanes y de la Antártica Chilena.
El valor por metro lineal para cualquiera de estos tipos de cerco es el establecido para el cerco de cinco hebras y postes cada tres metros, el uso de cerco alternativo es opcional y el costo adicional es de cargo del productor.
g. Región de Magallanes y de la Antártica Chilena: corresponde a un cerco de 7 hebras de alambre liso 14/16, seis de alambre liso y una de alambre púas o 5 de alambre liso y dos de púas; con distanciamiento de postes (4 pulgadas de diámetro o 4"x4", en la base y 7 pies de largo) y piquetes (1"x1, 5"x3, 5 pies), cada 10 y 1 metros, respectivamente. Para la construcción del cerco los postes de Lenga pueden ser reemplazados por otro material apropiado de mayor o igual valor, como, por ejemplo; ciprés o pino impregnado. Asimismo, los piquetes de madera podrán ser reemplazados por distanciadores del tipo "econet" o de similares características y de igual o mayor valor. El aumento de la altura del cerco y el uso de alambre de púas es opcional y el costo adicional es de cargo del productor.
(26) Construcción cerco tipo malla Ursus (m lineal): El objetivo de esta práctica está asociado exclusivamente al manejo de praderas, teniendo como propósito central evitar el sobretalajeo y deterioro de éstas. En consecuencia, no podrá ser utilizado como cerco limítrofe o para la protección de cultivos. Se exceptúa de lo anterior, la comuna de Colchane, Huara y Pica, donde podrá usarse como cerco de protección de cultivos y la Región de Magallanes y de la Antártica Chilena donde podrá usarse como cerco de protección de establecimiento de praderas. Podrá remplazarse la malla ursus por malla hexagonal, pero el costo asociado será el mismo.
El detalle de las especificaciones por Región es el siguiente:
a. Regiones de Arica y Parinacota y de Tarapacá: Postes tensores de 3x4" distanciados cada 12 metros y 3 postes de 1,5x2" entre claros (separados cada 3 metros). Considera malla ursus de 1,4 m de alto y una hebra de alambre de púas o bien malla ursus de 80 cm con tres hebras de alambre de púas.
b. Regiones de Antofagasta, de Atacama, de Coquimbo, de Valparaíso, Metropolitana de Santiago, del Libertador General Bernardo O'Higgins, del Maule, de Ñuble, del Biobío y de La Araucanía: Considera postes impregnados cada tres metros y malla ursus de 1,4 m de alto o bien malla ursus de 80 cm con dos hebras de alambre de púas.
c. Regiones de Los Ríos, de Los Lagos y de Aysén del General Carlos Ibáñez del Campo: Estacas cada 1,5 m y malla ursus de 1,4 m de alto o bien malla ursus de 80 cm con dos hebras de alambre de púas.
d. Región de Magallanes y de la Antártica Chilena: corresponde a un cerco de malla tipo "Ursus" de 7 hebras de alambre y un metro de altura o una de 6 hebras de alambre más una hebra de alambre de púa; con distanciamiento de postes (4 pulgadas de diámetro o 4"x4", en la base y 7 pies de largo) cada 10 m y 6 piquetes (1"x1,5"x3,5 pies), entre postes. Para la construcción del cerco los postes de Lenga pueden ser remplazados por otro material apropiado de mayor o igual valor, como, por ejemplo: ciprés o pino impregnado. Así mismo, los piquetes de madera podrán ser remplazados por distanciadores del tipo "econet" o de similares características y de igual o mayor valor. El uso de alambre de púas es opcional y el costo adicional es de cargo del productor.
(27) Establecimiento de cerco vivo (m lineal):
a. Cerco vivo de cactáceas Región de Arica y Parinacota: Considera 2.000 plantas de tuna por kilómetro lineal, hoyadura, plantación y riegos post-plantación. Además, considera la aplicación de 3 toneladas de guano por kilómetro lineal de cerco. Esta práctica deberá contemplar las medidas necesarias para la debida protección de las plantas en sus primeros años de crecimiento.
b. Cerco vivo de cactáceas Región de Tarapacá: Considera 2.000 brazos por km lineal, plantación de éstos y riegos necesarios para su establecimiento.
c. Cerco vivo de cactáceas Región de Coquimbo y Región Valparaíso: Considera 5.000 brazos por km lineal, transporte y plantación de estos, postes cada tres metros con dos hebras de alambre de púas y dos de alambre liso, como alternativa al cerco anterior se podrá usar 2.000 plantas de tuna por kilómetro lineal, esta práctica considera: hoyadura, plantación y riegos post-plantación. Además, considera la aplicación de 3 toneladas de guano por kilómetro lineal de cerco Cerco vivo Isla de Pascua: Considera plantas distanciadas cada 50 cm, mano de obra y fertilizantes
(28) Cortinas cortavientos (m lineal):
a. Cortina cortaviento de malla:
i. Regiones de Arica y Parinacota, de Tarapacá y de Atacama: Barrera de largo variable con altura no inferior a 2 metros, cuya estructura está compuesta por una malla de polietileno "tipo malla sombra" (80% de cobertura) u otra de similares características, dispuesta sobre postes distanciados cada tres metros.
ii. Isla de Pascua: Construcción de una barrera de un largo mínimo bonificable de 4 metros, de una altura no inferior a 3 metros, cuya estructura está compuesta por una malla de polietileno "tipo malla sombra" (50% de cobertura) u otra de similares características, dispuesta sobre postes distanciados cada un metro, anclados con cemento.
iii. Región de Magallanes y de la Antártica Chilena: Construcción de una barrera de un largo mínimo bonificable de 20 metros, con una altura no inferior a dos metros, cuya estructura esté compuesta por postes de madera de 4 x 4"x 11 pies (lenga u otro de similares características de igual o mayor valor), distanciados a 3,4 m. La malla corresponde al tipo Libeccio, Brake 14 u otra de similares características de color verde o blanco. Para sujetarla se utilizan cables de monofilamento del tipo Bayco de 2 mm sobre otro cable de 5 mm que sostiene la malla (45 y 50 m. de cable respectivamente por 20 m. lineales de cortina), más una malla galvanizada de rombo, de 2 m de alto.
b. Establecimiento de cortina cortaviento de árboles, 3 hileras: El distanciamiento máximo promedio será de 2,5 metros entre plantas y entre hileras un distanciamiento de 2 o 3 m, la plantación entre hileras debe ser en tres bolillos, la preparación del suelo supone casillas manuales de 0,3 m de ancho x 0,3 m de largo x 0,3 m de profundidad.
c. Establecimiento de cortina cortaviento de árboles, 2 hileras: El distanciamiento máximo promedio será de 2,5 metros entre plantas y entre hileras un distanciamiento de 2 o 3 m, la plantación entre hileras debe ser en tres bolillos, la preparación del suelo supone casillas manuales de 0,3 m de ancho x 0,3 m de largo x 0,3 m de profundidad.
(29) Aguadas: Es responsabilidad del beneficiario cumplir con las disposiciones del Código de Aguas.
a. Construcción de aguada superficial (unidad): Corresponde a una unidad excavada cuyo objetivo es colectar y almacenar agua lluvia o de fuentes superficiales, para disponer de agua de bebida para animales, especialmente requerido en potreros con deficiencia hídrica, permitiendo de esta manera el uso equilibrado del recurso pratense disponible en los distintos potreros del predio. El volumen unitario corresponde a 180 m3 con una o más entradas, bordes ligeramente inclinados, de modo que se asegure la estabilidad de las paredes de la excavación, o en forma de plato. Al momento de la fiscalización, la unidad debe estar con agua, por lo cual deberá ser impermeabilizada, en caso de que sea necesario. Se sugiere que éstas sean protegidas con cercos y asociadas a bebederos, con el objetivo de mejorar la vida útil de la unidad. En el informe técnico de la postulación se deberá fundamentar técnicamente el número y distribución de aguadas a construir, considerando superficie, características topográficas y cubierta vegetacional del potrero, carga animal, unidades preexistentes u otros aspectos que se estimen importantes. Además, en el croquis se deberá indicar la distribución espacial y georreferenciada de los distintos puntos de bebida para los animales (aguadas, pozos profundos, bebederos u otros) diferenciando las aguadas preexistentes y las que se propone construir, señalando el volumen de cada una de ellas. Asimismo, se deberá advertir las unidades que se construirán a partir de aguadas preexistentes y deterioradas. La información anterior, también deberá ser entregada en caso de hacer inicio anticipado de la labor. Se podrá planificar la construcción de aguadas divididas en subunidades de acuerdo a las características de terreno u otros que estime el Productor o recomiende el Operador, lo que debe ser indicado en el Informe Técnico. En estos casos, para el cálculo de la bonificación se sumará el total del suelo removido por potrero y se determinará la equivalencia a unidades de 180 m 3, exigiéndose la distribución por potrero comprometida en el Plan de Manejo, al momento de la recepción de la labor.
b. Construcción de aguada intermedia (unidad):
i. Regiones del Libertador General Bernardo O'Higgins y del Maule: Consiste en excavar una noria de aproximadamente 2x2 metros y 7 metros de profundidad, con el objetivo de disponer de agua de bebida para animales en potreros con deficiencia hídrica. El valor de esta práctica se pagará sólo bajo la condición de alumbramiento de las aguas y obtención del caudal o volumen que se haya especificado en el Informe Técnico que respalda el Plan de Manejo.
ii. Regiones de Aysén, del General Carlos Ibáñez del Campo y de Magallanes y de la Antártica Chilena: Esta labor consiste en excavar una noria de un volumen de excavación mínimo de 20 m3, con bordes rectos, revestido con madera u otro material, extrayendo el agua con algún sistema (motobomba, molino, etc.). Se debe asociar además un sistema de distribución del agua. El informe técnico de la postulación deberá indicar la distribución espacial y georreferenciada de los distintos puntos de bebida para los animales, incluyendo tanto las unidades preexistentes como las que se propone construir. El valor de esta práctica se pagará sólo bajo la condición de alumbramiento de las aguas y obtención del caudal o volumen que se haya especificado en el Informe Técnico que respalda el Plan de Manejo.
c. Construcción de aguada profunda (unidad) (20 a 40 m y más de 40 m): Esta labor consiste en perforar un pozo profundo de un diámetro interno no inferior a 110 mm e instalar un sistema de extracción de agua desde el pozo profundo, cuyo objetivo es generar un punto de disponibilidad de agua de bebida para animales, especialmente requerido en potreros con deficiencia hídrica, permitiendo de esta manera el uso equilibrado del recurso pratense disponible en los distintos potreros del predio. Esta práctica contribuye a mejorar la distribución de la carga animal en la pradera y así prevenir y/o disminuir la degradación de los suelos por dos vías: por una parte disminuir la presión de sobrepastoreo en la pradera -y consecuentemente de erosión en el suelo situada en las inmediaciones de los escasos puntos de bebida existentes, y, por otro, mediante la incorporación de praderas al pastoreo que no podían ser utilizadas por no contar con fuentes de bebida para los animales. La profundidad de perforación se define en dos rangos: entre 20 y 40 m. y más 40 m., lo que determinará el monto de la labor establecida en la Tabla de Costos. De la profundidad perforada, al menos, un 75% deberá ser entubado con PVC de alta resistencia u otro material de calidad similar. Se debe asociar, además, un sistema de distribución de agua y bebederos. El informe técnico de la postulación deberá indicar la distribución espacial y georreferenciada de los distintos puntos de bebida para los animales, incluyendo tanto las unidades preexistentes como las que se propone construir. El valor de esta práctica se pagará sólo bajo la condición de alumbramiento de las aguas y obtención del caudal o volumen que se haya especificado en el Informe Técnico que respalda el Plan de Manejo.
(30) Establecimiento de sistema de abrevaderos (unidad): Distribución de bebederos asociados a través de línea de conducción desde una fuente de agua. Considera la instalación de bebederos plásticos de 500 o 1.000 litros, según Región. El sistema de distribución corresponde a mangueras tipo "Planta" de mínimo 1"1/4. El informe técnico de la postulación deberá indicar la distribución espacial y georreferenciada de los distintos puntos de bebida para los animales, incluyendo tanto las unidades preexistentes como las que se propone construir.
(31) Construcción de microterraza manual (m2): Obra de regulación de flujos hídricos en laderas. Favorece una mayor infiltración en el suelo y retiene sedimentos. Presenta un ancho en la base de 0,5 a 1 metro, una altura de talud entre 0,2 a 0,25 metros con una pendiente de 1:0,3 a 1:0,5. Se establece en curvas de nivel con una base levemente inclinada (1% aproximado) hacia el borde interno. Aguas abajo de la obra debe construirse un camellón de una altura de 0,15 a 0,2 metros. La distancia entre líneas de microterrazas dependerá de la inclinación del terreno y de la degradación del suelo. El largo de las microterrazas es variable, con una disposición continua o discontinua. Esta práctica debe estar asociada a un tipo de cobertura vegetacional descrita en el informe técnico.
(32) Construcción de canal de desviación (m lineal): Obra de recuperación de suelo, manual o con maquinaria, que se sitúa preferentemente en la parte superior o media de una ladera para capturar la escorrentía procedente de las cotas superiores. Se construye transversalmente a la pendiente con un ligero desnivel (0,3 a 1%) para transportar el agua a una salida estabilizada. El canal tendrá una profundidad mínima de 35 cm, con un ancho mínimo en su parte superior de 50 cm y un ancho mínimo en su base de 20 cm. La pendiente lateral del talud aguas abajo variará entre 1:0,3 a 1:0,5 y la pendiente lateral del talud aguas arriba variará entre 1:0,5 a 1:0,8. Las dimensiones deben permitir evacuar un volumen de agua según la precipitación de diseño. Aguas abajo de la excavación, se construye un camellón de altura y ancho similares a la profundidad del canal y a la anchura superior de la obra, respectivamente. El largo es variable. El último tramo del canal corresponde entre un cuarto y un quinto de la longitud total de la obra. Éste se construye a nivel y sin camellón, con una sección entre un 25 a 35% mayor que la sección en desnivel. Las aguas del canal deben evacuar en un área receptora estabilizada. Cuando el área receptora corresponde a un curso de agua o quebrada estabilizada, la pendiente del canal es variable, el último tramo debe revestirse y para amortiguar el golpe de las aguas se construye un disipador de energía.
(33) Construcción de zanja de infiltración (m lineal): Acequias excavadas en curvas de nivel, es decir, en forma transversal a la pendiente del terreno. Su función es de contener el escurrimiento del agua y favorecer su infiltración en el suelo. Presenta una sección trapezoidal con un ancho mínimo en la boca de 50 cm y en la base de 25 cm. La profundidad efectiva mínima en la cara inferior es de 40 cm. La tierra excavada se coloca en el borde inferior de la zanja para darle una sobreelevación. Es recomendable interrumpir la zanja con pequeños tabiques o espacios sin excavar de 15 cm a lo largo de la misma con el fin de homogeneizar la infiltración de agua. El cálculo de distanciamiento sobre la pendiente entre líneas de zanjas (distanciamiento vertical) deberá basarse en la metodología recomendada por el SAG o INDAP, según donde se presente el plan de manejo. Se excluye la construcción de zanjas en suelos no estructurados. Para cálculos técnicos el operador se puede basar en la ficha técnica número 5, "Técnicas de conservación de suelos y aguas. Zanjas de infiltración" y en el boletín N° 103, de 2003, "Métodos y prácticas de conservación de suelos y aguas", ambos del Instituto de Investigaciones Agropecuarias (INIA).
(34) Dique de Postes (m2): Obra para el control de cárcavas y de cursos de agua secundarios, generalmente temporales, tales como arroyos y quebradas, que actúa por resistencia mecánica. Consiste en una estructura de postes verticales impregnados y horizontales de una altura efectiva entre 0,5 a 1,5 metros. Los postes verticales se entierran entre 0,5 a 1 metro, según el tipo de suelo y se distancian entre 0,5 y 1,2 metros. Los postes horizontales deben empotrarse entre 0,3 a 0,6 metros en el fondo y lateralmente. En la parte posterior del dique para aumentar la capacidad de retención de sedimentos, se coloca una malla de polietileno "tipo malla sombra" (80% de cobertura mínimo) u otra de similar calidad. Para proteger la estructura de un eventual socavamiento, se construye un pequeño terraplén en su parte posterior. En diques con altura efectiva superior a 1,5 y hasta 3 metros, se deberá colocar tirantes de alambre ancladas y rellenar de acuerdo a las necesidades de la obra. Para evacuar la descarga, de acuerdo con el caudal máximo estimado, se construye un vertedero de sección trapezoidal, generalmente con un largo entre 1/4 a 1/5 de la longitud del dique y de 0,2 a 0,4 metros de altura. Finalmente, para amortiguar el golpe de las aguas vertidas se construye un disipador de energía de longitud 1,3 a 1,5 veces la altura efectiva de la obra.
(35) Control de erosión de cárcavas.
a. Control al interior de la cárcava:
i. Barrera de sacos plásticos con suelo, semillas y varas (unidad): Cada barrera contiene 10 sacos de plástico o saco de malla raschel rellenos con tierra, 3 varas de 2,5 m, 9 m de alambre, 4 kg de semilla (gramíneas o leguminosas). Las dimensiones del herido son 0,4 m x 0,3 m x 3,5 m. Labor incluye mano de obra.
ii. Disipador de energía (barrera pequeña de varas o fajinas) (unidad): Cada barrera contiene 16 varas de 0,6 m. En la construcción se utilizan estacas o rodrigones (poste impregnado) y se alambran cada 0,5 o 1 m. en la horizontal y se alambran a las estacas verticales que se disponen a 0,7 a 0,8 m en la horizontal, estas se deben enterrar a 0,1 m.
iii. Disipador de energía (barrera de neumáticos) (unidad): Esta práctica tiene como objetivo moderar el impacto de flujos hídricos, se debe utilizar neumáticos en desuso de aro de entre 13" o 16" con estacas y alambre de 14".
iv. Barreras de fardos (unidad): Se considera una barrera de ancho variable según la base de la cárcava, 0,5 m. de espesor, 0,7 m de alto (coronamiento) y salida vertedero 0,3 m. Se considera mano de obra.
v. Barreras de lampazos (unidad): Se considera una barrera de ancho variable según la base de la cárcava y, 0,7 m de alto (coronamiento) y salida vertedero 0,5 x 0,6 m. Se considera la mano de obra.
b. Control externo de la cárcava:
i. Control de bordes de cárcavas (m lineal): Se utilizan plantas de quilo, separadas a 50 cm, 5 g de semillas ballica perenne por metro lineal. Sin embargo, se puede usar cualquier especie herbácea o arbustiva que se adapte a las condiciones locales de la zona. Se considera aporca, rastrillado y peinado; incluye la mano de obra. Al utilizar tagasaste la distancia entre plantas debe ser de un metro. El costo en este caso aumenta ya que considera el valor de la planta, flete, gel, fertilizante, y un par de riegos manuales para el establecimiento del tagasaste.
ii. Barreras de fardos (unidad): Se considera una barrera de ancho variable según la base de la cárcava., 0,5 m. de espesor, 0,7 m de alto (coronamiento) y salida vertedero 0,3 m. Se considera mano de obra.
iii. Barreras de lampazos (unidad): Se considera una barrera de ancho variable según la base de la cárcava y, 0,7 m de alto (coronamiento) y salida vertedero 0,5 x 0,6 m. Se considera la mano de obra.
iv. Construcción de dique de Postes (m2): Obra para el control de cárcavas y de cursos de agua secundarios, generalmente temporales, tales como arroyos y quebradas, que actúa por resistencia mecánica. Consiste en una estructura de postes verticales impregnados y horizontales de una altura efectiva entre 0,5 a 1,5 metros. Los postes verticales se entierran entre 0,5 a 1 metro, según el tipo de suelo y se distancian entre 0,5 y 1,2 metros. Los postes horizontales deben empotrarse entre 0,3 a 0,6 metros en el fondo y lateralmente. En la parte posterior del dique para aumentar la capacidad de retención de sedimentos, se coloca una malla de polietileno "tipo malla sombra" (80% de cobertura mínimo) u otra de similar calidad. Para proteger la estructura de un eventual socavamiento, se construye un pequeño terraplén en su parte posterior. En diques con altura efectiva superior a 1,5 y hasta 3 metros, se deberá colocar tirantes de alambre anclados y rellenar de acuerdo a las necesidades de la obra. Para evacuar la descarga, de acuerdo con el caudal máximo estimado, se construye un vertedero de sección trapezoidal, generalmente con un largo entre 1/4 a 1/5 de la longitud del dique y de 0,2 a 0,4 metros de altura. Finalmente, para amortiguar el golpe de las aguas vertidas se construye un disipador de energía de longitud 1,3 a 1,5 veces la altura efectiva de la obra.
v. Control de bordes de cárcava con sacos hilerados (m lineal): Se utilizan sacos hilerados rellenos con suelo y semillas. Incluye mano de obra para el llenado de los sacos, acarreo e instalación.
vi. Disipador de energía (barrera pequeña de varas o fajinas) (unidad): Cada barrera contiene 16 varas de 0,6 m. En la construcción se utilizan estacas o rodrigones (poste impregnado) y se alambran cada 0,5 o 1 m. en la horizontal y se alambran a las estacas verticales que se disponen a 0,7 a 0,8 m en la horizontal, estas se deben enterrar a 0,1 m.
(36) Recuperación de bofedales (ha): Consiste en el retiro de la vegetación muerta, nivelación del terreno y abonadura a razón de 5 toneladas de guano por hectárea. Replante en base a trozos en buen estado del mismo bofedal a una distancia aproximada de 15 cm. Incluye mano de obra por riego.
(37) Mantención de bofedales (ha): Consiste en la aplicación de 3 toneladas de guano por hectárea, construcción de acequias de 20 a 30 cm de profundidad, con un ancho de 40 cm y 2% de pendiente.
(38) Exclusión de potreros (ha): Práctica en suelos afectados por erupciones volcánicas. Consiste en dejar un área determinada sin intervención, sin pastoreo con animales. Esta práctica se aplicará sobre suelos con pendiente inferior a 20% y con espesor superior a 15 cm de cenizas o bien sobre suelos con pendientes mayores a 20% y con espesor mayor a 5 cm de cenizas. Junto al Plan de Manejo el agricultor deberá presentar una Declaración Jurada Notarial en la que indique el número de animales por categoría existente en el predio al momento de postular.
(39) Manejo de carga animal en suelos frágiles (ha): Tiene por objeto estimular el ajuste de la carga animal por hectárea, haciéndola acorde con las potencialidades de los recursos naturales y forrajeros disponibles, a fin de lograr una explotación ganadera económica y ambientalmente sustentable.
Consiste en el otorgamiento de un monto anual de recursos económicos por animal retirado, el cual se mantendrá por un periodo de 5 años, tiempo en el cual se espera estabilizar una carga animal económicamente rentable y ambientalmente sustentable.
Para acceder a esta práctica, el postulante deberá presentar lo siguiente:
Contar con un estudio local o territorial que permita definir o estimar la capacidad talajera del territorio donde se ubica la explotación.
Área de Aplicación: Región de Coquimbo, Provincia de Petorca, San Felipe y Los Andes.
(40) Sistemas silvopastorales:
a. Plantación silvopastoral (ha): Implica el financiamiento necesario para las siguientes faenas e ítems: roce, eliminación de desechos, preparación del suelo, desmalezado de pre y post plantación, adquisición de plantas, plantación, fertilización, riego de establecimiento. Respecto a la aplicación de gel, se podrá utilizar en el secano de las regiones desde Valparaíso al Biobío. La densidad de plantación será de 100 o 250 plantas/ha con plantas exóticas o nativas.
b. Protección contra lagomorfos en plantación silvopastoral (ha): Implica la protección del 100% de las plantas utilizando mallas, tubetes u otros medios mecánicos de protección.
(41) Biofiltros: Asociación de especies vegetales, herbáceas, arbustivas y arbóreas, dispuestas en franjas ubicadas a los pies de los potreros de cultivo, en forma perpendicular a la pendiente y paralelas a los cursos de agua. Su función es retener sedimentos y filtrar contaminantes provenientes de la escorrentía superficial en los campos cultivados.
a. Establecimiento de biofiltros para sedimentos (m2): Corresponde a una franja de 10 metros de ancho en suelos con pendientes menores a 15% y de 15 metros de ancho en suelos con pendientes mayores o iguales a 15%. Considera una cobertura herbácea en base a una mezcla de festuca más ballica a razón de 70 kg/ha.
b. Establecimiento de biofiltros para sedimentos y filtración de contaminantes en pendientes mayores o iguales a 15% (m2): Franja de 20 metros de ancho de los cuales los primeros 8 metros cercanos al cauce serán de especies arbustivas y/o arbóreas, con marco de plantación de 3x2 m en caso de árboles y de lx1 m en caso de arbustos. Los siguientes 12 m serán con cobertura herbácea en base a una mezcla de festuca más ballica a razón de 70 kg/ha.
(42) Incorporación de cenizas y siembra de avena (ha): Práctica para suelos afectados por erupciones volcánicas. Consiste en la incorporación de cenizas de más de 5 cm de espesor acompañado de una siembra de avena.
(43) Construcción de surcos en media luna (metro perimetral): Son estructuras de forma semicircular, donde se levanta un camellón de suelo y piedra como murete. La construcción se realiza con la tierra existente dentro del área comprendida entre los arcos concéntricos, formándose un surco que servirá como acumulador de agua para evitar que el camellón tenga que soportar todo el volumen de agua almacenada.
(44) Construcción de manavai (metro perimetral): Estructura de piedras construidas para conservar humedad, proteger del viento y salinidad. Existen dos tipos de manavai; el superficial y el subterráneo. Los primeros se construyen con muros dobles de piedra sin labrar rellenos con grava, que sobresalen del nivel del suelo entre 1 a 1,6 metro delimitando un área de 3 a 10 metros de diámetro. El manavai subterráneo se construye profundizando el terreno de 0,5 a 3 metros, y delimitándola con muros simples de rocas superpuestas. La base de estos muros es de aproximadamente 0,8 metros.
(45) Inhibidores de Nitrificación: Esta práctica considera el valor de un litro del producto inhibidor aplicado al fertilizante de nitrogenado con características amoniacales, el inhibidor debe ser de última generación que contenga la molécula tryasol.
(46) Construcción de Negarim (m2): Son estructuras de forma cuadrada o romboidal, rodeadas por pequeños camellones de tierra y un orificio de infiltración en el vértice inferior de cada una de ellas, en el que se sitúa la planta.
(47) Construcción de limanes (m lineal): Es una terraza que consiste en un semicírculo o sector circular plano, con un murete de piedras. Presenta la pared de los bordes entre 50 y 70 cm en la base, mientras que el diámetro puede ser de 10 a 20 mt. Se establece preferentemente en los piedmonts de las laderas con pendientes entre 3 a 8%. La pendiente transversal al interior del limán es cero y el muro de tierra es de forma trapezoidal. El camellón alcanza una altura de 1 m y en su construcción se debe hacer un aliviadero o desagüe a partir de la cota máxima de colección de agua a 30 cm de altura y con 20 cm de diámetro, para evitar rupturas en las paredes en casos de grandes escorrentías.
(48) Rotación de cultivos (ha): Secuencia con que se alternan cultivos de diversas características y exigencias, con el fin de lograr el mejor aprovechamiento del suelo, mejorando sus características físicas, químicas y biológicas, sin exponerlo a agotamiento. Esta práctica considera una rotación de tres años. El cultivo cabecera de rotación corresponderá siempre a especie(s) leguminosa(s), el cultivo de segundo año deberá contener un cereal que puede ir solo o asociado a una leguminosa, el cultivo de tercer año corresponderá a una leguminosa o una pradera permanente de aquellas señaladas para la Región en el subprograma de "Establecimiento de coberturas vegetales en suelos descubiertos o con cobertura deteriorada".
Excepcionalmente para las regiones de Arica y Parinacota, de Tarapacá, de Antofagasta, de Atacama y de Aysén del General Carlos Ibañez del Campo, la rotación podrá ser de dos años, pudiendo ser el cultivo de cabecera una leguminosa u otra especie anual.
V ELIMINACIÓN, LIMPIEZA O CONFINAMIENTO DE IMPEDIMENTOS FÍSICOS.
(49) Control de Hieracium sp. y Cirsium sp. (ha): Esta labor permite controlar malezas en forma localizada, para frenar su propagación. Cuando la densidad de la maleza es muy alta (10%) se recomienda agregar la labor de regeneración de praderas con maquinaria especializada. Se considera aplicación manual con bomba de espalda a toda la superficie, sin embargo, en terreno es posible evitar sectores con abundante forraje natural. Para Hieracium pilosela, la aplicación debe hacerse al momento de la floración (noviembre).
(50) Limpia palizada muerta (ha): Corresponde a la eliminación o confinamiento de troncos muertos. Se consideran tres densidades, según grado de cobertura superficial. Densidad Alta: Mayor o igual al 70%; Densidad Media: entre 40 y 69%; Densidad Baja: entre 20 y 39%.
(51) Limpia matorral (ha): Determinación de la Cobertura:

Determinación de la Altura:

Para el caso de la Región de Magallanes y de la Antártica Chilena, la determinación de altura será según la siguiente tabla:

Determinación de la Densidad:

Nota: Para determinar la densidad correspondiente a mata barrosa (Mulinum spinosum), no se considerará altura.
(52) Limpia Pica Pica (Ulex europeaus) (ha): Considera corte, destronque y acopio del material eliminado. Considera corte, destronque y acopio del material eliminado, en densidades altas, medio y bajo, además, el plan de manejo deberá contener el desarrollo de un plan productivo para el área afecta al beneficio.
(53) Despedrado (ha): Corresponde a la eliminación o confinamiento de pedregosidad superficial. Esta práctica es incompatible con suelos que presenten una estrata de piedras a una profundidad inferior a 40 cm, el plan de manejo deberá contener el desarrollo de un plan productivo para el área afecta al beneficio.
(54) Eliminación de tocones (ha): Considera mineado, arranque y traslado del material, además, el plan de manejo deberá contener el desarrollo de un plan productivo para el área afecta al beneficio.

(55) Limpia de junquillos en suelos drenados (ha): Involucra la eliminación de junquillos en suelos previamente drenados. Se consideran tres densidades, según grado de cobertura, además, el plan de manejo deberá contener el desarrollo de un plan productivo para el área afecta al beneficio.
PRÁCTICAS DE MANTENCIÓN
I) INCORPORACIÓN DE FERTILIZANTES DE BASE FOSFORADA.
(56) Aplicación de fósforo (kg P2O 5): Tiene por objetivo la mantención del nivel mínimo técnico de fósforo alcanzado. La dosis a aplicar será equivalente a la tasa de extracción de las praderas, estimada según las pautas técnicas elaboradas por el Director Regional respectivo. Esta práctica sólo bonifica el valor de los insumos a utilizar, pudiendo ser según Región, fósforo soluble en agua, roca fosfórica o guano rojo.
II) INCORPORACIÓN DE ELEMENTOS QUÍMICOS ESENCIALES.
(57) Enmiendas calcáreas (kg CaCO3): Tiene por objetivo la mantención del nivel mínimo técnico alcanzado, sea este el definido para pH o para saturación de Aluminio, según Región. La dosis a aplicar será estimada en base a las pautas técnicas elaboradas por el Director Regional respectivo.
(58) Aplicación de potasio (kg K2O): Tiene por objetivo la mantención del nivel mínimo técnico de potasio alcanzado. La dosis a aplicar será estimada en base a las pautas técnicas elaboradas por el Director Regional respectivo.
(59) Aplicación de azufre (kg S): Tiene por objetivo la mantención del nivel mínimo técnico de azufre alcanzado. La dosis a aplicar será estimada en base a las pautas técnicas elaboradas por el Director Regional respectivo.
III) ESTABLECIMIENTO DE UNA CUBIERTA VEGETAL EN SUELOS DESCUBIERTOS O CON COBERTURA DETERIORADA.
(60) Mantención de praderas (ha): Tiene por objeto la mantención de los niveles de cobertura recuperados, a través de la aplicación de fertilizantes, excluyendo aquellos nitrogenados. Las dosis de fertilizantes serán definidas, atendiendo a lo indicado en las pautas técnicas que para este efecto defina el respectivo Director Regional.
PRÁCTICAS DE EMERGENCIA
(61) Eliminación de lodos producto de aluviones con maquinaria (hr): Corresponde al trabajo de maquinaria para la eliminación de lodos, sedimentos, rocas y troncos que se han producido por aluviones.
(62) Eliminación de lodos producto de aluviones manual (ha): Comprende el despeje y eliminación en forma manual de sedimentos de aproximadamente 30 cm sobre la superficie cultivable. Además considera la eliminación de sedimento y despeje de los canales de regadío, nivelación del terreno y construcción de bordos.
(63) Limpieza de material vegetal de arrastre por aluvión (ha): Tiene por objetivo el retiro de restos de material vegetal arrastrados por aluvión, aumento de caudales o desborde de río, en terrenos agrícolas cultivables.
(64) Abrevaderos de emergencia (unidad): Consiste en la construcción de un abrevadero de concreto de 5 m de largo x 1 m de ancho x 0,5 m de altura. La construcción involucra la utilización de malla Acma, cemento, arena, flotador y válvula de descarga. Para la Región de Coquimbo la altura mínima del abrevadero será de 0,3 m de altura.
El informe técnico de la postulación deberá indicar la distribución espacial y georreferenciada de los distintos puntos de bebida para los animales
(65) Noria de emergencia (construcción o profundización) (m): Obra de captación de aguas subterráneas para el propósito de consumo animal y humano, consistente en la construcción o profundización de un pozo excavado en forma manual o con máquina, de diámetro útil interno entre 800 mm y 1.000 mm y una profundidad variable hasta obtener un espesor mínimo de agua en el pozo que permita extraer el caudal o volumen que se haya especificado en el Informe Técnico que respalda el Plan de Manejo. El costo de la obra considera excavación en material semiduro a duro (tosca), agotamiento con bomba, uso de martillo hidroneumático, suministro y colocación de los tubos de hormigón o tubería HDPE ROSC SN1 X 1000MM. El valor por metro terminado, se pagará sólo bajo la condición de alumbramiento de las aguas y obtención del caudal o volumen indicado en el informe técnico.
El informe técnico de la postulación deberá indicar la distribución espacial y georreferenciada de los distintos puntos de bebida
(66) Vertientes de emergencia (unidad): Confección de muros perimetrales para canalizar el agua de la vertiente hacia una tubería de 160 mm de diámetro.
Su esquema constructivo consiste en realizar dos muros laterales con dimensiones de 2 m de longitud x 0.4 m de alto y un espesor de 0.2 m por cada muro, ocupando una cantidad de 0,32 m3 de hormigón para su confección. Para el soporte de estos muros es necesario realizar una losa de fundación, con forma trapezoidal, de dimensiones: 3.4 m de longitud parte distal al muro frontal y 0,7 m de longitud parte proximal al muro frontal x 1 m de ancho y un espesor de 0,2 m. El muro frontal, de donde nace una tubería de PVC de 160 mm, tiene por dimensiones: 0,3 m de largo x 0,4 m de alto x 0,2 m de ancho. Cabe mencionar que el muro es de hormigón armado mínimo H20 (300 kg cem/m 3) por lo que se debe considerar enfierradura para su confección y un encofrado (moldaje) de madera con sus respectivos materiales para su elaboración y llenado.
Esta obra, incluye la instalación de un bebedero de 2 cuerpos y tubo PVC agrícola 160 mm x 6 m. Además, considera la construcción de un cerco perimetral 30 metros lineales de cinco hebras de alambre y postes cada 3 metros.
El informe técnico de la postulación deberá indicar la distribución espacial y georreferenciada de los distintos puntos de bebida.
(67) Praderas suplementarias (ha): Establecimiento de especies forrajeras anuales, destinadas a suplir el déficit forrajero invernal y/o estival.
El nivel mínimo técnico de estas praderas para ameritar el pago se establecerá en función del porcentaje de cobertura vegetacional, estimada sobre la emergencia obtenida, que para este caso será del 40%. Para este caso, no será necesario presentar un análisis de suelo.
.
.
.
.
.
.
.
.
. 2. Derógase el decreto N° 18, de 2020, del Ministerio de Agricultura, que establece tabla de costos para el año 2020, que fija los valores de las actividades que se bonificarán en el marco del Sistema de Incentivo para Sustentabilidad Agroambiental de los Suelos Agropecuarios.
Anótese, tómese razón y publíquese.- Por orden del Presidente de la República, Ma. Emilia Undurraga M., Ministra de Agricultura.
Lo que transcribo a Ud. para su conocimiento.- Saluda atentamente a Ud., Fredy Vásquez Cabrera, Jefe de Gabinete, Subsecretario de Agricultura.