OTORGA CONCESIÓN DE SERVICIO PÚBLICO DE TRANSMISIÓN DE DATOS A LA EMPRESA GTD MANQUEHUE S.A.
Santiago, 16 de abril de 2021.- Con esta fecha se ha decretado lo que sigue:
Núm. 59.
Vistos:
a) El decreto ley N°1.762, de 1977, que creó la Subsecretaría de Telecomunicaciones, en adelante "la Subsecretaría".
b) La Ley N°18.168, Ley General de Telecomunicaciones, en adelante "la Ley".
c) El decreto supremo N° 103, de 2008, del Ministerio de Transportes y Telecomunicaciones, que faculta al Ministro de Transportes y Telecomunicaciones para firmar "Por orden de la Presidenta de la República".
d) El decreto supremo N° 353, de 2001, del Ministerio de Transportes y Telecomunicaciones, Reglamento del Fondo de Desarrollo de las Telecomunicaciones, y sus modificaciones.
e) La resolución N° 7, de 2019, de la Contraloría General de la República, que fija normas sobre exención del trámite de toma de razón.
f) La resolución afecta N° 16, de fecha 12.02.2013, de la Subsecretaría, que aprueba las Bases generales para concursos públicos para la asignación de proyectos y sus respectivos subsidios, correspondientes al programa anual de proyectos subsidiables del fondo de desarrollo de las telecomunicaciones.
g) La resolución afecta N° 2, de fecha 20.04.2020, de la Subsecretaría, que aprueba las Bases Específicas para el Concurso Público "Conectividad para la Educación 2030", Código: FDT-2019-04, modificada mediante resolución afecta N° 4, de fecha 08.07.2020, de la misma Subsecretaría.
h) Las sesiones LV y LIX, del Consejo de Desarrollo de las Telecomunicaciones, de fechas 29.01.2019 y 15.01.2020, respectivamente, que autorizan el llamado a Concurso Público del literal g) de los Vistos y fija el monto máximo de subsidio para la asignación del mismo.
i) La resolución exenta N° 1.003, modificada por la resolución exenta N° 1.201, ambas de 2020 y de la Subsecretaría, que aprueba el informe de respuestas a las consultas y aclaraciones formuladas a las bases generales y específicas del concurso público de los literales f) y g) de los vistos, respectivamente.
j) Los ingresos Subtel N° 185.865, N° 186.753, N° 185.231 y N°186.434, todos de fecha 05.08.2020 por los cuales GTD Manquehue S.A. presenta su Propuesta al concurso público del literal g) de los vistos, para la Zona 63.
k) Los ingresos Subtel N° 249.336, N° 249.366, N° 249.381, N° 249.382, N° 249.372 y N° 249.379, todos de fecha 05.10.2020 por los cuales GTD Manquehue S.A. da respuesta a los primeros requerimientos aclaratorios formulados por Subtel a su Propuesta del literal j) de los Vistos.
l) Los ingresos Subtel N° 277.382, de fecha 05.11.2020, N° 277.589, de fecha 06.11.2020 y N° 283.643, de fecha 13.11.2020 por los cuales GTD Manquehue S.A., da respuesta a los segundos requerimientos aclaratorios formulados por Subtel a su Propuesta del literal j) y los ingresos Subtel del literal k), ambos de los Vistos, correspondientes al "Set A" y "Set B", respectivamente.
m) El oficio Ord. N° 19.579/GFDT N° 446, de fecha 18.12.2020, de la Subsecretaría, por el cual se comunica a la empresa GTD Manquehue S.A. la adjudicación de su Propuesta de los literales j), k) y l) de los vistos, para la Zona 63 del Concurso público del literal g) de los Vistos.
n) La resolución exenta N° 1.558, de 2008, de la Subsecretaría, que fija norma técnica para el uso de las bandas de frecuencias 5.250 - 5.350 MHz y 5.470-5.725 MHz, y sus posteriores modificaciones.
o) La resolución exenta N° 517, de 2001, de la Subsecretaría, que fija norma técnica para el uso de la banda de frecuencia 5.725 - 5.850 MHz, y sus posteriores modificaciones.
Considerando:
a) Lo solicitado por la interesada mediante ingresos Subtel N° 4.478, N° 4.172 y N° 3.859, todos de fecha 11.01.2021, para la Zona 63, del Concurso público "Conectividad para la Educación 2030", Código: FDT-2019-04, cuya Propuesta consta de los ingresos Subtel señalados en los literales j), k) y l) de los Vistos.
b) El acta de fecha 10.12.2020, correspondiente a la LXIII Sesión del Consejo de Desarrollo de las Telecomunicaciones, que resolvió adjudicar el Concurso Público "Conectividad para la Educación 2030", Código: FDT-2019-04, y su respectivo Subsidio, para la Zona 63, a GTD Manquehue S.A..
c) La resolución exenta N° 432, de fecha 01.03.2021, de la Subsecretaría, que asigna el Proyecto "Conectividad para la Educación 2030", Código: FDT-2019-04, para la Zona 63, a GTD Manquehue S.A..
d) El oficio Ord. N° 5.093/GFDT N° 107, de fecha 12.04.2021, de la Subsecretaría, por el cual se comunica a GTD Manquehue S.A. la aprobación del Plan de despliegue ajustado y el informe de detalle de asignaciones internas, para la Zona 63.
Decreto:
Otórgase concesión de Servicio Público de Transmisión de Datos, a la empresa GTD Manquehue S.A., RUT N° 93.737.000-8, con domicilio en calle Moneda N° 920, piso 11, comuna de Santiago, Región Metropolitana de Santiago, en adelante la concesionaria, en el sentido que se indica en los numerandos siguientes:
1. Autorízase a la concesionaria a instalar, operar y explotar los sistemas que a continuación se indican, a fin de proveer el Servicio de Conectividad en los Establecimientos Educacionales Subvencionados (EES) de la Región de Los Lagos, que pertenezcan a la Zona 63, adjudicada a ella en el marco del Concurso Público "Conectividad para la Educación 2030", Código: FDT-2019-04, en los términos que exigen las Bases de Concurso y el Proyecto Comprometido y asignado, así como lo que en definitiva sea autorizado.



(*) En número de referencia a la Etapa corresponde a la fase en cuyo plazo máximo deberá prestarse el Servicio de Conectividad en los EES que pertenecen a la Zona 63 conforme a lo indicado en el resuelvo octavo de la resolución exenta N° 432, de fecha 01.03.2021, de la Subsecretaría de Telecomunicaciones.
(**) Durante todo el Periodo de Obligatoriedad de las Exigencias de las Bases, la base de EES que pertenezcan a la Zona 63 podrá ser modificada incorporando nuevos EES o dando de baja algunos de ellos, producto de las aperturas, cierres, traslados, recesos, renuncias o fusiones de EES, lo cual se reflejará en el Reporte de Operaciones previsto en el numeral 7.2 del anexo N° 7 de las Bases Específicas del Concurso.
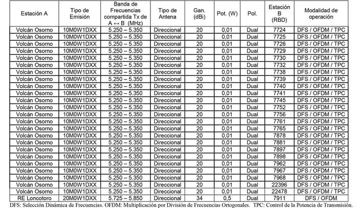
1.1. Instalar, operar y explotar un radioenlace de microondas Punto a Punto en la Región de Los Lagos, correspondientes a la red de transporte.

1.2. Instalar, operar y explotar radioenlaces de microondas Punto a Punto, correspondiente a la red de acceso a los EES.



(*) Durante todo el Periodo de Obligatoriedad de las Exigencias de las Bases, la base de EES que pertenezcan a la Zona 63 podrá ser modificada incorporando nuevos EES o dando de baja algunos de ellos, producto de las aperturas, cierres, traslados, recesos, renuncias o fusiones de EES, lo cual se reflejará en el Reporte de Operaciones previsto en el numeral 7.2 del anexo N° 7 de las Bases Específicas del Concurso.
(*) No considera Estaciones individualizadas por ubicación en la tabla del punto 1.1 de este decreto.
1.3 Para la red de acceso a los EES a implementarse a través de enlaces de Fibra Óptica de acuerdo al detalle informado en la tabla del numeral primero de este decreto, tales enlaces se conectarán a los Nodos de Fibra Óptica que se indican a continuación, serán propios o de terceros debidamente autorizados.

1.4 Para la red de acceso a los EES a implementarse a través de radioenlaces satelitales VSAT de acuerdo al detalle informado en la tabla del numeral primero de este decreto, tales radioenlaces presentan las siguientes características:

1.5 Las interconexiones a las redes públicas existentes, serán a través de medios propios o de terceros debidamente autorizados.
2. La Zona de servicio comprenderá las comunas de Fresia, Frutillar, Llanquihue, Los Muermos y Puerto Varas, todas de la Región de Los Lagos.
3. El Servicio objeto de la presente concesión deberá prestarse con estricto apego a la normativa de calidad que al efecto contemple la ley N° 18.168, sus modificaciones y demás normas reglamentarias y/o técnicas vigentes, como asimismo aquellas exigencias de calidad, operación y supervisión del Servicio de Conectividad para los EES que pertenezcan a la Zona 63 descritas en la resolución exenta N° 432, de 2021, de la Subsecretaría de Telecomunicaciones.
Para la supervisión del Servicio de Conectividad en los EES que pertenezcan a la Zona 63, la concesionaria utilizara un NOC propio cuya identificación corresponde a la indicada en la siguiente tabla:

4. El Periodo de Obligatoriedad de las Exigencias de las Bases terminará el 31 de diciembre de 2029, durante este periodo, la concesionaria deberá cumplir con las exigencias de las Bases de Concurso, lo comprometido en la Propuesta y con los términos de la asignación, todos indicados en los literales f), g), i), j), k) y l) de los Vistos y los literales c) y d) del Considerando, respectivamente.
5. La concesionaria en su carácter de Beneficiaria deberá desplegar e instalar todos los elementos comprometidos en el Proyecto Técnico respectivo y necesarios para dar inicio al Servicio de Conectividad, obteniendo la respectiva Alta de Servicio en todos los EES de la Zona adjudicada que pertenezcan a cada una de las Etapas de dicha Zona dentro de los plazos que se señalan a continuación, los cuales se computarán en días corridos desde la publicación en el Diario Oficial del presente decreto, y previa recepción conforme de las obras e instalaciones asociadas a la misma por parte de la Subsecretaría.

6. El monto de Subsidio máximo anual asignado para el Proyecto Concursable adjudicado es el siguiente:

El pago del Subsidio máximo anual asignado se realizará con posterioridad al cumplimiento de los hitos de Alta de Servicio de acuerdo con las Etapas de inicio del Servicio de Conectividad y conforme la disponibilidad presupuestaria del año de operación respectivo. Asimismo, tal pago se realizará de acuerdo con el Subsidio mensual calculado para cada Zona asignada, el cual se pagará de forma mensualizada y en función de los EES pertenecientes a la Zona respectiva respecto de los cuales se provea efectivamente el Servicio de Conectividad comprometido.
7. Las concesionarias que utilicen las bandas 5.250 - 5.350 MHz; las compartirán sin reclamar protección contra interferencia que produzcan otros usuarios de esta banda, debidamente autorizados.
8. Las transmisiones de los equipos de radiocomunicaciones autorizados, no deben causar interferencia a los equipos de cobro electrónico automático de peaje que operan en la banda de 5.795 - 5.815 MHz, los que tendrán prioridad independientemente de la fecha de instalación. Por lo tanto, quien provoque interferencias al sistema de cobro electrónico automático de peaje, deberá suspender inmediatamente sus transmisiones hasta subsanar dicha situación, informando a la Subsecretaría de Telecomunicaciones.
6. Apruébese el Proyecto Comprometido, base de la solicitud presentada por la concesionaria, conforme a las disposiciones técnico-legales que rigen el servicio de telecomunicaciones concedido. La documentación respectiva quedará archivada en la Subsecretaría.
7. El período de vigencia de la presente concesión será de 30 años, contados desde la publicación de presente decreto en el Diario Oficial.
8. Es obligación de la concesionaria el conocimiento y cumplimiento de las disposiciones legales, reglamentarias y técnicas que regulan el servicio de telecomunicaciones concesionado, en lo que le sea aplicable. Asimismo, lo establecido en las Bases de Concurso, lo comprometido en la Propuesta y con los términos de la asignación, todos indicados en los literales f), g), i), j), k) y l) de los Vistos y los literales c) y d) del Considerando, respectivamente.
Anótese, tómese razón, comuníquese, notifíquese a la interesada y publíquese en el Diario Oficial.- Por orden del Presidente de la República, Gloria Hutt Hesse, Ministra de Transportes y Telecomunicaciones.
Lo que transcribo para su conocimiento.- Saluda atentamente a Ud., Francisco Miranda Olivos, Jefe División Concesiones (S).
CONTRALORÍA GENERAL DE LA REPÚBLICA
División de Infraestructura y Regulación
Cursa con alcance el decreto Nº 59, de 2021, del Ministerio de Transportes y Telecomunicaciones
Nº E126618/2021.- Santiago, 4 de agosto de 2021.
Esta Contraloría General ha dado curso al documento del rubro, que otorga concesión de servicio público de transmisión de datos a la empresa GTD Manquehue S.A., pero cumple con manifestar que se advierte un error en el orden correlativo de los numerales contendidos en su parte dispositiva, lo que deberá evitarse en lo sucesivo.
Por orden del Contralor General de la República.- Saluda atentamente a Ud., Juan Carlos Lillo Valenzuela, Subjefe de División.
A la señora
Ministra de Transportes y Telecomunicaciones
Presente.