OTORGA CONCESIÓN DE SERVICIO PÚBLICO DE TRANSMISIÓN DE DATOS A LA EMPRESA VTR COMUNICACIONES SpA
Santiago, 21 de julio de 2021.- Con esta fecha se ha decretado lo que sigue:
Núm. 133.
Vistos:
a) El decreto ley Nº 1.762, de 1977, que creó la Subsecretaría de Telecomunicaciones, en adelante "la Subsecretaría".
b) La ley Nº 18.168, Ley General de Telecomunicaciones, en adelante "la ley".
c) El decreto supremo Nº 103, de 2008, del Ministerio de Transportes y Telecomunicaciones, que faculta al Ministro de Transportes y Telecomunicaciones para firmar "Por orden de la Presidenta de la República".
d) El decreto supremo Nº 353, de 2001, del Ministerio de Transportes y Telecomunicaciones, Reglamento del Fondo de Desarrollo de las Telecomunicaciones, y sus modificaciones.
e) La resolución Nº 7, de 2019, de la Contraloría General de la República, que Fija Normas sobre Exención del Trámite de Toma de Razón.
f) La resolución afecta Nº 16, de fecha 12.02.2013, de la Subsecretaría, que aprueba las Bases Generales para Concursos Públicos para la Asignación de Proyectos y sus respectivos Subsidios, correspondientes al Programa Anual de Proyectos Subsidiables del Fondo de Desarrollo de las Telecomunicaciones.
g) La resolución afecta Nº 2, de fecha 20.04.2020, de la Subsecretaría, que aprueba las Bases Específicas para el Concurso Público "Conectividad para la Educación 2030", Código: FDT-2019-04, modificada mediante resolución afecta Nº 4, de fecha 08.07.2020, de la misma Subsecretaría.
h) Las Sesiones LV y LIX, del Consejo de Desarrollo de las Telecomunicaciones, de fechas 29.01.2019 y 15.01.2020, respectivamente, que autorizan el llamado a concurso público del literal g) de los vistos y fija el monto máximo de Subsidio para la asignación del mismo.
i) La resolución exenta Nº 1.003, modificada por la resolución exenta Nº 1.201, ambas de 2020 y de la Subsecretaría, que aprueba el Informe de Respuestas a las Consultas y Aclaraciones formuladas a las Bases Generales y Específicas del concurso público de los literales f) y g) de los vistos, respectivamente.
j) Los ingresos Subtel Nº 187.252, Nº 186.693, Nº 187.256 y Nº 186.762, todos de fecha 05.08.2020, por los cuales VTR Comunicaciones SpA presenta su propuesta al concurso público del literal g) de los vistos, para la Zona 1.
k) Los ingresos Subtel Nº 249.556, Nº 249.557 y Nº 249.558, todos de fecha 05.10.2020, por los cuales VTR Comunicaciones SpA da respuesta a los primeros requerimientos aclaratorios formulados por Subtel a su propuesta del literal j) de los vistos.
l) Los ingresos Subtel Nº 278.129 y Nº 278.164, ambos de fecha 06.11.2020 y Nº 283.766, de fecha 13.11.2020, por los cuales VTR Comunicaciones SpA, da respuesta a los segundos requerimientos aclaratorios formulados por Subtel a su propuesta del literal j) y los ingresos Subtel del literal k), ambos de los vistos, correspondientes a los "Set A" y "Set B", respectivamente.
m) El oficio Ord. Nº 19.852/GFDT Nº 449 de fecha 18.12.2020, de la Subsecretaría, por el cual se comunica a VTR Comunicaciones SpA la adjudicación de su propuesta de los literales j), k) y l) de los vistos , para la Zona 1 del Concurso Público del literal g) de los vistos.
Considerando:
a) Lo solicitado por la interesada mediante ingresos Subtel Nº 2.601 y Nº 2.812, ambos de fecha 07.01.2021, para la Zona 1, del concurso público "Conectividad para la Educación 2030", Código: FDT-2019-04, cuya propuesta consta de los ingresos Subtel señalados en los literales j), k) y l) de los vistos.
b) El Acta de fecha 10.12.2020, correspondiente a la LXIII Sesión del Consejo de Desarrollo de las Telecomunicaciones, que resolvió adjudicar el concurso público "Conectividad para la Educación 2030", Código: FDT-2019-04, y su respectivo Subsidio, para la Zona 1, a VTR Comunicaciones SpA.
c) La resolución exenta Nº 433, de fecha 01.03.2021, de la Subsecretaría, que asigna el Proyecto "Conectividad para la Educación 2030", Código: FDT-2019-04, para la Zona 1, a VTR Comunicaciones SpA.
d) El oficio Ord. Nº 6.049/GFDT Nº 139 de fecha 26.04.2021, de la Subsecretaría, por el cual se comunica a VTR Comunicaciones SpA la aprobación del Plan de Despliegue Ajustado y el Informe de Detalle de Asignaciones Internas, para la Zona 1.
Decreto:
Otórgase concesión de Servicio Público de Transmisión de Datos, a la empresa VTR Comunicaciones SpA, RUT Nº 76.114.143-0, con domicilio en Avenida Apoquindo Nº 4800, piso 14, comuna de Las Condes, Región Metropolitana de Santiago, en adelante la concesionaria, en el sentido que se indica en los numerandos siguientes:
1. Autorízase a la concesionaria a instalar, operar y explotar los sistemas que a continuación se indican, a fin de proveer el Servicio de Conectividad en los Establecimientos Educacionales Subvencionados (EES) de la Región de Arica y Parinacota, que pertenezcan a la Zona 1, adjudicada a ella en el marco del concurso público "Conectividad para la Educación 2030", Código: FDT-2019-04, en los términos que exigen las Bases de Concurso y el Proyecto Comprometido y asignado, así como lo que en definitiva sea autorizado.


1.1 Instalar, operar y explotar los siguientes tramos de Fibra Óptica, correspondientes a la red de transporte, según se indica a continuación:

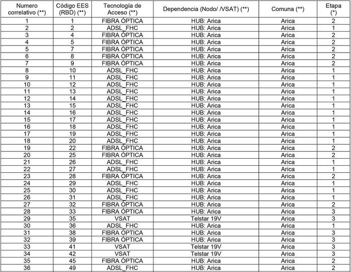
1.2 Instalar, operar y explotar los siguientes Nodos de Fibra Óptica, correspondientes a la red de acceso, según se indica a continuación:

1.3 Para la red de acceso a los EES a implementarse a través de radioenlaces satelitales VSAT de acuerdo al detalle informado en la tabla del numeral primero de este decreto, tales radioenlaces presentan las siguientes características:

1.4 Las interconexiones a las redes públicas existentes serán a través de medios propios o de terceros debidamente autorizados.
2. La Zona de servicio comprenderá las comunas de Arica, Camarones, General Lagos y Putre, todas de la Región de Arica y Parinacota.
3. El Servicio objeto de la presente concesión deberá prestarse con estricto apego a la normativa de calidad que al efecto contemple la ley Nº 18.168, sus modificaciones y demás normas reglamentarias y/o técnicas vigentes, como asimismo aquellas exigencias de calidad, operación y supervisión del Servicio de Conectividad para los EES que pertenezcan a la Zona 1 descritas en la resolución exenta Nº 433, de 2021, de la Subsecretaría de Telecomunicaciones.
4. Para la supervisión del Servicio de Conectividad en los EES que pertenezcan a la Zona 1, la concesionaria utilizará un NOC propio cuya identificación corresponde a la indicada en la siguiente tabla:

5. El Período de Obligatoriedad de las Exigencias de las Bases terminará el 31 de diciembre de 2029, durante este periodo, la concesionaria deberá cumplir con las exigencias de las Bases de Concurso, lo comprometido en la propuesta y con los términos de la asignación, todos indicados en los literales f), g), i), j), k) y l) de los vistos y los literales c) y d) del Considerando, respectivamente.
6. La concesionaria en su carácter de Beneficiaria deberá desplegar e instalar todos los elementos comprometidos en el Proyecto Técnico respectivo y necesarios para dar inicio al Servicio de Conectividad, obteniendo la respectiva Alta de Servicio en todos los EES de la Zona adjudicada que pertenezcan a cada una de las Etapas de dicha Zona dentro de los plazos que se señalan a continuación, los cuales se computarán en días corridos desde la publicación en el Diario Oficial del presente decreto, y previa recepción conforme de las obras e instalaciones asociadas a la misma por parte de la Subsecretaría.

7. El monto de subsidio máximo anual asignado para el proyecto concursable adjudicado es el siguiente:

El pago del Subsidio máximo anual asignado se realizará con posterioridad al cumplimiento de los hitos de Alta de Servicio de acuerdo con las Etapas de inicio del Servicio de Conectividad y conforme la disponibilidad presupuestaria del año de operación respectivo. Asimismo, tal pago se realizará de acuerdo con el Subsidio mensual calculado para cada Zona asignada, el cual se pagará de forma mensualizada y en función de los EES pertenecientes a la Zona respectiva respecto de los cuales se provea efectivamente el Servicio de Conectividad comprometido.
8. Apruébese el proyecto comprometido, base de la solicitud presentada por la concesionaria, conforme a las disposiciones técnico-legales que rigen el servicio de telecomunicaciones concedido. La documentación respectiva quedará archivada en la Subsecretaría.
9. El período de vigencia de la presente concesión será de 30 años, contados desde la publicación de presente decreto en el Diario Oficial.
10. Es obligación de la concesionaria el conocimiento y cumplimiento de las disposiciones legales, reglamentarias y técnicas que regulan el servicio de telecomunicaciones concesionado, en lo que le sea aplicable. Asimismo, lo establecido en las bases de concurso, lo comprometido en la propuesta y con los términos de la asignación, todos indicados en los literales f), g), i), j), k) y l) de los vistos y los literales c) y d) del considerando, respectivamente.
Anótese, tómese razón, comuníquese, notifíquese a la interesada y publíquese en el Diario Oficial.- Por orden del Presidente de la República, Gloria Hutt Hesse, Ministra de Transportes y Telecomunicaciones.
Lo que transcribo para su conocimiento.- Saluda atentamente a Ud., Francisco Moreno Guzmán, Subsecretario de Telecomunicaciones.
CONTRALORÍA GENERAL DE LA REPÚBLICA
División de Infraestructura y Regulación
Cursa con alcance el decreto Nº 133, de 2021, del Ministerio de Transportes y Telecomunicaciones
Nº E137508/2021.- Santiago, 10 de septiembre de 2021.
Esta Contraloría General ha dado curso al documento del rubro, que otorga concesión de servicio público de transmisión de datos a la empresa VTR Comunicaciones SpA, pero cumple con precisar que el decreto Nº 115, de 2018, a que se alude en la nota de la tabla contenida en el punto 1.3 de la parte dispositiva del acto en examen, es del Ministerio de Transportes y Telecomunicación, aspecto que se omitió consignar.
Por orden del Contralor de la República.- Saluda atentamente a Ud., Juan Carlos Lillo Valenzuela, Subjefe de División.
A la señora
Ministra de Transportes y Telecomunicaciones
Presente.