REGULARIZA Y FIJA LOS VALORES MÁXIMOS Y MONTOS TOTALES A SER GARANTIZADOS POR EL ESTADO, PARA EFECTOS DE LO DISPUESTO EN EL ARTÍCULO 4° DE LA LEY N° 20.027 Y OTORGA GARANTÍA DEL ESTADO A CRÉDITOS DESTINADOS A FINANCIAR ESTUDIOS DE EDUCACIÓN SUPERIOR
Núm. 63.- Santiago, 10 de mayo de 2021.
Vistos:
Lo dispuesto en los artículos 32° N° 6 y 35° de la Constitución Política de la República de Chile, cuyo texto refundido, coordinado y sistematizado fue fijado por decreto supremo N° 100, de 2005, del Ministerio Secretaría General de la Presidencia; en la ley N° 20.027; en el Reglamento de la ley N° 20.027, cuyo texto fue establecido por el decreto supremo N° 182, de 2005, modificado por los decretos supremos N° 266, de 2009, y N° 47, de 2013, todos del Ministerio de Educación; en los artículos 40°, 45° y 46° del decreto ley N° 1.263, de 1975; en la ley N° 21.125, de Presupuestos del Sector Público del año 2019; en la resolución N° 1.600 de 2008, N° 7 y N° 8, ambas de 2019, de la Contraloría General de la República; en el decreto N° 432, de 2012, del Ministerio de Educación y en la resolución (T.R.) N° 57/2019, dictada por la Comisión Administradora del Sistema de Créditos para Estudios Superiores, con fecha 12 de marzo de 2019, tomada de razón por la Contraloría General de la República con fecha 2 de abril de 2019, la cual aprobó las bases administrativas, técnicas y anexos de la Licitación Pública para la contratación del Servicio de Financiamiento y Administración de Créditos para Estudios de Educación Superior establecidos según ley N° 20.027, para el año 2019.
Considerando:
Que, la ley N° 20.027 creó el sistema de financiamiento de estudios de educación superior y estableció la institucionalidad necesaria para apoyar de manera permanente y sustentable el acceso al financiamiento de estudiantes que, teniendo las condiciones académicas requeridas, no disponen de recursos suficientes para financiar sus estudios.
Que, de acuerdo con dicha normativa legal, corresponde al Estado, por intermedio del Fisco, garantizar los créditos destinados a financiar estudios de educación superior, siempre que éstos hayan sido concedidos en conformidad con lo dispuesto en la ley N° 20.027 y su Reglamento, cuyo texto fue establecido por el decreto supremo N° 182, de 2005, modificado por los decretos supremos N° 266, de 2009, y N° 47, de 2013, todos del Ministerio de Educación.
Que, conforme con lo establecido en el artículo 4° de la citada ley, anualmente por decreto supremo expedido por el Ministerio de Educación y suscrito además por el Ministro de Hacienda, se debe señalar para cada carrera, el valor máximo que podrá ser garantizado por el Fisco.
Que, asimismo, el referido decreto supremo señalará el monto total a ser garantizado por alumno, el que no podrá exceder de un total de aranceles de referencia que sea igual al número de años de duración de la carrera respecto de la cual se otorgó el crédito.
Que, tratándose de estudiantes matriculados como alumnos regulares en carreras conducentes a grado de licenciado, el número de aranceles de referencia se aumentará en tres.
Que, en el caso de estudiantes matriculados como alumnos regulares en carreras conducentes a título profesional, el número de aranceles de referencia se aumentará en dos.
Que, en el caso de aquellos estudiantes matriculados como alumnosregulares en carreras conducentes a título técnico de nivel superior, el número de aranceles de referencia se aumentará en uno.
Que, por medio de la resolución (T.R.) N° 57/2019, dictada por la Comisión Administradora del Sistema de Créditos para Estudios Superiores con fecha 12 de marzo de 2019, tomada razón por la Contraloría General de la República con fecha 2 de abril de 2019, se aprobaron las bases administrativas, técnicas y anexos de la Licitación Pública para la contratación del Servicio de Financiamiento y Administración de Créditos para Estudios de Educación Superior establecidos según ley N° 20.027 para el año 2019, incluyendo el formato tipo del Contrato de Participación en el Sistema de Financiamiento para Estudiantes de Educación Superior con Garantía del Estado, en las cuales se determinaron las condiciones financieras para el otorgamiento a través de los mencionados créditos.
Que, por razones de orden administrativo, de extensión y complejidad del procedimiento para determinar los valores y montos que se especifican en el presente texto, no ha sido posible la dictación del presente decreto supremo, correspondiente al año 2019, con anterioridad a la presente fecha, no existiendo acto administrativo que fije los valores máximos y montos totales a ser garantizados para el año 2019 y otorgue garantía del Estado a los créditos destinados a financiar estudios de educación superior, por lo que procede regularizar dicha situación a través del presente decreto.
Decreto:
Artículo 1°.- Regularízase y fíjase a través del presente decreto los valores máximos y montos totales a ser garantizados por el Estado, así como el otorgamiento de la Garantía del Estado a los créditos concedidos cuya finalidad es financiar estudios de educación superior por las instituciones financieras nacionales durante el año 2019.
Artículo 2°.- La Garantía del Estado a los créditos concedidos por las instituciones financieras nacionales durante el año 2019, de conformidad con lo dispuesto en el inciso segundo del artículo 2° de la ley N° 20.027, no podrá exceder el monto máximo de $259.456.063.000 (doscientos cincuenta y nueve mil cuatrocientos cincuenta y seis millones sesenta y tres mil pesos), establecidos en la ley N° 21.125, de Presupuestos del Sector Público del año 2019 y se someterá a las disposiciones contenidas en dichas leyes, demás normas legales y reglamentarias aplicables, y a las reglas siguientes.
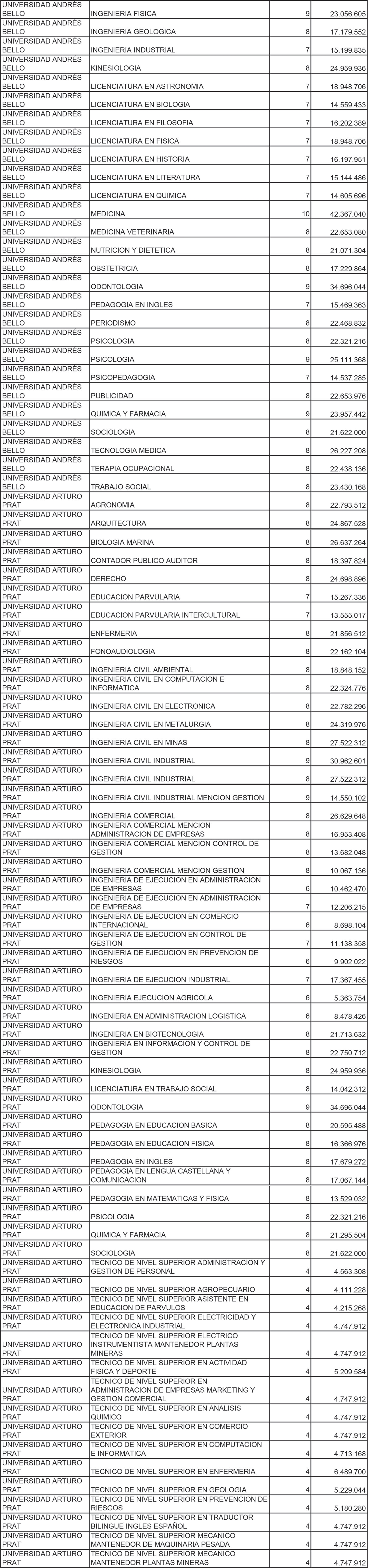
Artículo 3°.- Para efectos de lo dispuesto en los incisos primero y segundo del artículo 4° de la ley N° 20.027, y de acuerdo a lo establecido en el artículo 33° del Reglamento de la ley N° 20.027, cuyo texto fue establecido por el decreto supremo N° 182, de 2005, modificado por los decretos supremos N° 266, de 2009, y N° 47, de 2013, todos del Ministerio de Educación, fíjase para el año 2019, como valor máximo a garantizar por el Fisco en las carreras que se indican, los valores que a continuación se señalan:










Artículo 4°.- Determínase, para efectos de lo dispuesto en el inciso tercero del artículo 4° de la ley N° 20.027 y en el artículo 34° de su Reglamento, que el monto total garantizado por alumno no podrá exceder los valores que para cada institución superior y carrera se indican en la tabla siguiente, valores a los que se les agregará:
a) La variación que experimente el Índice de Precios al Consumidor (IPC) elaborado por el Instituto Nacional de Estadísticas;
b) La capitalización de los intereses devengados y no pagados de los créditos otorgados por las instituciones financieras; y,
c) La variación que registre anualmente el valor del arancel de referencia para cada carrera e institución de educación superior. Las variaciones de los valores que se producen por estos tres conceptos serán contadas desde la fecha de otorgamiento de los créditos garantizados y hasta el momento en que se deba ejercer el pago de la garantía del Estado.
En el caso específico de aquellos alumnos que, cumpliendo con lo dispuesto en el artículo 9° de la ley N° 20.027, y de acuerdo a lo señalado en el artículo 24° de su Reglamento, hayan ejercido su derecho a cambiar de carrera o programa de estudios, ya sea dentro de una misma institución o entre instituciones de educación superior distintas, el monto total garantizado para dichos alumnos, no podrá exceder de la suma de los montos totales garantizados para cada una de las dos carreras en que se haya matriculado.
Al igual que en el inciso primero de este artículo, al valor de los montos a que se refiere el inciso anterior, se agregará:
a) La variación que experimente el Índice de Precios al Consumidor (IPC) elaborado por el Instituto Nacional de Estadísticas;
b) La capitalización de los intereses devengados y no pagados de los créditos otorgados por las instituciones financieras; y,
c) La variación que registre anualmente el valor del arancel de referencia para cada carrera e institución de educación superior. Este ajuste se aplicará, desde la fecha de otorgamiento de los créditos garantizados y hasta el momento en que se deba ejercer el pago de la garantía del Estado.













































Artículo 5°.- Otórgase la garantía del Estado hasta por el 90% del capital más intereses de los créditos destinados a financiar estudios de educación superior que se concedan durante el año 2019, conforme a lo establecido en el artículo 3° de la Ley N° 20.027; en el Reglamento de la Ley N° 20.027, el texto fue establecido por el decreto supremo N° 182, de 2005, modificado por los Decretos Supremos N° 266, de 2009, y N° 47, de 2013, todos del Ministerio de Educación; en las Bases administrativas, técnicas y anexos de la Licitación Pública para la contratación del Servicio de Financiamiento y Administración de Créditos para Estudios de Educación Superior establecidos según Ley N° 20.027 para el año 2019 contenidas en la resolución (T.R.) N° 57/2019, de fecha 12 de marzo de 2019, de la Comisión Administradora del Sistema de Créditos para Estudios Superiores; y en el presente decreto.
Las condiciones financieras de los créditos otorgados de acuerdo a las Bases administrativas, técnicas y anexos de la Licitación Pública para la contratación del Servicio de Financiamiento y Administración de Créditos para Estudios de Educación Superior establecidos según Ley N° 20.027 para el año 2019, contenidas en la resolución (T.R.) N° 57/2019, de fecha 12 de marzo de 2019, de la Comisión Administradora del Sistema de Créditos para Estudios Superiores, son las siguientes:
a) Plazo de Amortización: El Financiamiento desembolsado debe ser pagado a la Institución Financiera o a su cesionario, una vez transcurrido el Período de Gracia, mediante cuotas mensuales y sucesivas, que comprenderán la amortización de capital, intereses y comisión, en el plazo de 10, 15 o 20 años, dependiendo del tipo de carrera y monto del financiamiento otorgado al estudiante, según se explicita en la siguiente tabla:

Sin perjuicio de lo anterior, tratándose de Estudiantes declarados Desertores Académicos por parte de la Comisión, el plazo de amortización de la respectiva deuda se reducirá a la mitad del plazo que le corresponda a cada Estudiante, de acuerdo con las condiciones originales de su financiamiento. Considerando lo explicitado en la tabla e incisos precedentes, los calendarios de pagos para la amortización de la deuda se generarán de acuerdo con el siguiente criterio:
1. Para aquellos financiamientos cuyo plazo de servicio total de la deuda es de 60, 90 o 120 meses, corresponderán tres tramos de cuotas de 20, 30 o 40 meses, respectivamente. Un primer tramo se conformará de cuotas iguales entre sí y equivalentes al 60% del valor nocional de la cuota. Un segundo tramo de cuotas iguales entre sí y equivalentes al 100% del valor nocional de la cuota. Finalmente, un tercer tramo de cuotas iguales entre sí de un valor tal que amorticen en su totalidad el saldo de la deuda.
2. Para aquellos financiamientos cuyo plazo de servicio total de la deuda es de 180 o 240 meses, corresponderán cuatro tramos de cuotas de 45 y 60 meses, respectivamente. Un primer tramo se conformará de cuotas iguales entre sí y equivalentes 60% del valor nocional de la cuota. Un segundo tramo de cuotas iguales entre sí y equivalentes al 80% del valor nocional de la cuota. Un tercer tramo de cuotas iguales entre sí y equivalentes al 120% del valor nocional de la cuota. Finalmente, un cuarto tramo de cuotas iguales entre sí de un valor tal que amorticen en su totalidad el saldo de la deuda.
Para estos efectos, se entiende por Valor Nocional de la Cuota, aquel valor obtenido al desarrollar un calendario de pagos para la amortización de la deuda, considerando cuotas fijas e iguales entre sí para todo el Plazo de Amortización;
b) Período de Gracia: Desde la fecha del desembolso del crédito y hasta 18 meses posteriores a la fecha de egreso del estudiante, o hasta el mes subsiguiente de la declaración de la deserción académica.
c) Forma de Pago: Cuotas mensuales y sucesivas que comprende capital, intereses y comisión.
d) Tasa de Interés: El Crédito se otorgará con una tasa de interés que se devengará desde su desembolso y hasta su total extinción. La tasa de interés anual real aplicable a los Créditos será de un 2%. La tasa de interés se calculará sobre la base de meses de 30 días y años de 360 días.
e) Comisión: Mensual, fija por todo el período del crédito, a favor de la institución financiera y expresada en unidades de fomento, se aplica según la siguiente estructura:
1. Para Créditos cuyo valor inicial es menor o igual a 40 UF, comisión de 0,03 UF;
2. Para Créditos cuyo valor inicial es mayor a 40 UF y menor o igual a 70 UF, comisión de 0,04 UF;
3.Para Créditos cuyo valor inicial es mayor a 70 UF y menor o igual a 100 UF, comisión de 0,05 UF; y
4. Para Créditos cuyo valor inicial es mayor a 100 UF, comisión de 0,06 UF.
Artículo 6°.- En virtud de lo dispuesto en los artículos 40°, 45° y 46° del decreto ley N° 1.263, de 1975, la garantía a que se refieren los artículos precedentes deberá ser suscrita por el Tesorero General de la República y refrendada por el Contralor General de la República, lo que se hará efectivo en una o más nóminas de alumnos deudores, cuyos montos sumados no podrán exceder del monto total de la garantía otorgada, a que se refiere el artículo 2° del presente decreto.
Cada una de dichas nóminas generadas de forma anual contendrá, a lo menos, las siguientes menciones: la carrera, la institución financiera, el Rut o la cédula de identidad y nombre del alumno, individualización de la institución de educación superior en que se encuentra matriculado, número de pagaré o de operación, monto del crédito, monto garantizado en conformidad con la ley y una certificación previa del cumplimiento de los requisitos establecidos en la ley N° 20.027 para el otorgamiento de esta garantía, que deberá ser suscrita por el Director Ejecutivo de la Comisión Administradora del Sistema de Créditos para Estudios Superiores, en su calidad de ministro de fe de dicha entidad.
Artículo 7°.- De conformidad con lo dispuesto en el artículo 45° del decreto ley N° 1.263, del año 1975, el Tesorero General de la República, en representación del Estado, suscribirá la garantía del Estado en la nómina o en cada una de las nóminas señaladas en el artículo anterior.
Artículo 8°.- La nómina o nóminas referidas en los artículos precedentes deberán ser refrendadas por el Contralor General de la República, según lo dispuesto en el artículo 46° del decreto ley N° 1.263, del año 1975.
Anótese, tómese razón, comuníquese y publíquese.- Por orden del Presidente de la República, Raúl Figueroa Salas, Ministro de Educación.- Rodrigo Cerda Norambuena, Ministro de Hacienda.
Lo que transcribo para su conocimiento.- Saluda atentamente a usted, Juan Eduardo Vargas Duhart, Subsecretario de Educación Superior.