MODIFICA RESOLUCIÓN N° 446 EXENTA (V. Y U.), DE 2021, QUE LLAMA A PROCESO DE SELECCIÓN EN CONDICIONES ESPECIALES PARA EL OTORGAMIENTO DE SUBSIDIOS HABITACIONALES DEL FONDO SOLIDARIO DE ELECCIÓN DE VIVIENDA, REGULADO POR EL DS N° 49 (V. Y U.), DE 2011, EN LA ALTERNATIVA DE POSTULACIÓN INDIVIDUAL Y COLECTIVA PARA LAS TIPOLOGÍAS DE PEQUEÑO CONDOMINIO, DENSIFICACIÓN PREDIAL Y CONSTRUCCIÓN EN SITIO PROPIO, INCLUYENDO EL PROCEDIMIENTO DE AUTOCONSTRUCCIÓN ASISTIDA, EN LOS CASOS QUE PROCEDE Y N° 1.536 (V. Y U.), DE 2021, QUE APROBÓ NÓMINA DE PROYECTOS CALIFICADOS AL 24 DE JUNIO DE 2021 Y APRUEBA NÓMINA DE PROYECTOS CALIFICADOS AL 30 DE SEPTIEMBRE DE 2021
Santiago, 27 de diciembre de 2021.- Hoy se resolvió lo que sigue:
Núm. 2.037 exenta.
Visto:
a) El DS N° 49 (V. y U.), de 2011, y sus modificaciones, que reglamenta el Programa Habitacional Fondo Solidario de Elección de Vivienda;
b) La resolución exenta N° 68 (V. y U.), de fecha 22 de enero de 2021, y sus modificaciones, que autoriza efectuar llamados a postulación y/o comprometer recursos durante el año 2021 en el otorgamiento de subsidios habitacionales y señala el monto de los recursos destinados, entre otros, a la atención a través del programa regulado por el DS N° 49 (V. y U.), de 2011;
c) La resolución exenta N° 446 (V. y U.), de fecha 8 de abril de 2021, y sus modificaciones, que llama a proceso de selección en condiciones especiales para el otorgamiento de subsidios habitacionales del Fondo Solidario de Elección de Vivienda, regulado por el DS N° 49 (V. y U.), de 2011, en la alternativa de postulación individual y colectiva para las tipologías de pequeño condominio, densificación predial y construcción en sitio propio, incluyendo el procedimiento de autoconstrucción asistida en los casos que procede;
d) La resolución exenta N° 1.536 (V. y U.), de fecha 30 de septiembre de 2021, que aprueba nómina de proyectos calificados al 24 de junio de 2021, que postularon al llamado en condiciones especiales dispuesto por la resolución exenta N° 446 (V. y U.), de 2021, del Programa Fondo Solidario de Elección de Vivienda, que incluye, entre otros, al siguiente proyecto de construcción en sitio propio:

e) La resolución exenta N° 1.875 (V. y U.), de 2015 y sus modificaciones, que fija procedimiento para la prestación de servicios de asistencia técnica, jurídica y social para el programa Fondo Solidario de Elección de Vivienda, y
Considerando:
a) Que mediante la resolución señalada en el Visto c) precedente y sus modificaciones, se llamó a proceso de selección en condiciones especiales para el otorgamiento de subsidios habitacionales del Fondo Solidario de Elección de Vivienda, regulado por el DS N° 49 (V. y U.), de 2011, en la alternativa de postulación individual y colectiva para proyectos de las tipologías de pequeño condominio, densificación predial y construcción en sitio propio que obtengan su Calificación hasta los días 29 de abril, 24 de junio, 30 de septiembre y 15 de diciembre de 2021, siendo para este caso la selección correspondiente al cierre del día 30 de septiembre.
b) Que, conforme al procedimiento establecido en el DS N° 49 (V. y U.), de 2011, corresponde aprobar la selección de las postulaciones presentadas hasta el cierre del día 30 de septiembre, en el llamado a que se convocó mediante la resolución indicada en el Visto c) precedente.
c) La necesidad de ajustar los recursos dispuestos en el llamado a que se convocó mediante la resolución exenta indicada en el Visto c) precedente, en atención a la demanda y alternativa de postulación recibida y a los recursos disponibles a nivel nacional.
d) Que, durante la revisión de los proyectos que participarían del cierre del 24 de junio del llamado a concurso señalado en el Visto c) precedente, se detectó que debido a un error de reporte del sistema, no se incorporó el monto de subsidio correspondiente al Plan de Descontaminación Atmosférica a un postulante del proyecto Génesis III, de la comuna de Conchalí de la Región Metropolitana, código 155715, quedando con un déficit de 80 Unidades de Fomento en el financiamiento de obras de construcción.
e) Los correos electrónicos de fechas 13 y 16 de diciembre de 2021, que dan cuenta de la conformidad de los Jefes de División de Política Habitacional y Jurídica con el tenor del presente acto administrativo, dicto la siguiente
Resolución:
1. Modifícase la resolución exenta N° 446 (V. y U.), de fecha 8 de abril de 2021 y sus modificaciones, en el sentido de reemplazar la tabla inserta en su Resuelvo 2 por la siguiente:

2. Modifícase la resolución exenta N° 1.536 (V. y U.) de 2021, en el siguiente sentido:
a. Reemplázase en la tabla inserta en su Resuelvo 3., construcción en sitio propio, su fila N° 6, por la siguiente:

b. Reemplázase en la tabla Alternativa Colectiva inserta en su Resuelvo 5., la fila correspondiente a, Metropolitana y Total País, por las siguientes:

c. Reemplázase en la tabla Construcción en Sitio Propio inserta en su Anexo Único, en su fila N° 6, correspondiente a la Región Metropolitana, proyecto Génesis III, código 155715, los siguientes montos, según las columnas que se identifican a continuación:

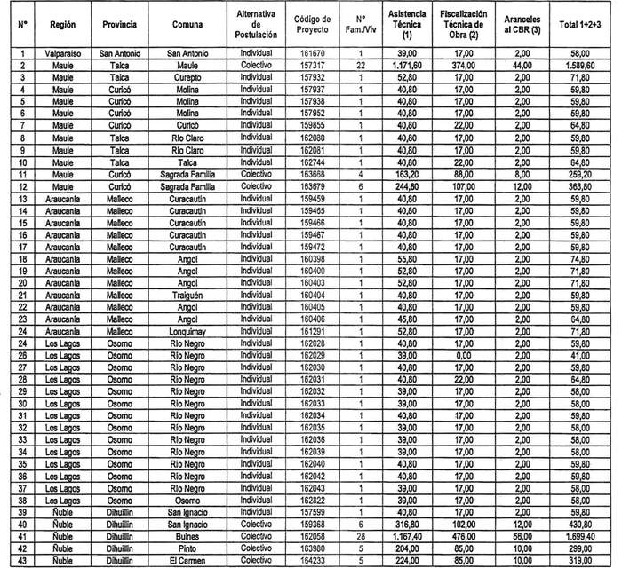
3. Apruébase la siguiente nómina de proyectos seleccionados para el otorgamiento de subsidios del Programa Habitacional Fondo Solidario de Elección de Vivienda, con su respectivo financiamiento total, incluyendo los servicios de asistencia técnica y fiscalización técnica de obras, correspondientes a: 43 proyectos en la modalidad de Construcción en Sitio Propio, 7 de ellos postulados de manera colectiva en las regiones de Maule y Ñuble, y 36 proyectos postulados de manera individual en las regiones de Valparaíso, Maule, Ñuble, Araucanía y Los Lagos; y 1 proyecto en la modalidad de Pequeños Condominios en la Región de Antofagasta, correspondiente al proceso de selección cuyo cierre de postulación se efectuó el día 30 de septiembre de 2021, en el llamado efectuado por resolución exenta N° 446 (V. y U.), de 2021:
Construcción en Sitio Propio

Pequeños Condominios

El detalle de los recursos comprometidos por concepto de subsidio base y subsidios complementarios para cada uno de los proyectos seleccionados en el presente Resuelvo y que por este acto se asignan, se informa en la nómina que se adjunta como anexo y forma parte integrante de la presente resolución.
4. El monto del subsidio asignado de conformidad con el cuadro del Resuelvo 3. de esta resolución comprende los siguientes montos por concepto de Servicios de Asistencia Técnica, de Labores de Fiscalización Técnica de Obra y pago de Aranceles al Conservador de Bienes Raíces:
Construcción en Sitio Propio

Pequeños Condominios

Dichos montos fueron calculados conforme a la resolución exenta N° 1.875 (V. y U.), de 2015, mencionada en el visto e) de la presente resolución:
En el caso de los Servicios de Asistencia Técnica, los montos a pagar se determinan de acuerdo al número de familias que se benefician por esta resolución, conforme a lo establecido en el artículo 3, número 2 de la resolución exenta N° 1.875 ya citada. En dicho monto, en los casos que correspondía, se incluyó el incremento relativo al área de "Elaboración de proyectos técnicos y contratación de obra", que se señala en el resuelvo 7.1 de la resolución exenta N° 446 (V. y U.), de 2021. Junto a ello, el monto total incluye los incrementos por concepto de Habilitación, Territorios Especiales y Localidades Aisladas, Discapacidad y Movilidad Reducida que determina la resolución exenta N° 1.875 (V. y U.), de 2015. En el caso de aquellos proyectos que se acogieron a lo establecido en el resuelvo 9.1 de la resolución exenta N° 446 (V. y U.), de 2021, si bien les fue otorgado el monto de asistencia técnica correspondiente, de acuerdo a lo señalado precedentemente, para el pago de los servicios, el Serviu deberá haber otorgado la calificación definitiva del o los proyectos.
Mediante resolución del Director del Serviu respectivo, se determinarán los montos definitivos de Asistencia Técnica, cuando corresponda otorgar los incrementos que la resolución exenta N° 1.875 (V. y U.), de 2015, establece en las letras g.l), g.2), j) y k) del número 3 de su artículo 3°. En el caso de Pequeños Condominios y Densificación Predial, el Director deberá resolver el otorgamiento de las 5 UF adicionales que se establecen en el resuelvo 7.2 de la resolución exenta N° 446 (V. y U.), de 2021, si es que dichos proyectos cumplen las condiciones ahí expresadas.
Los montos a pagar por la Fiscalización Técnica de Obras se determinan de acuerdo a la totalidad de viviendas del proyecto, según el mecanismo expresado en el artículo 4°, número 17, de la resolución exenta N° 1.875, ya citada.
5. Los recursos comprometidos en los Resuelvos 3. y 4. de la presente resolución, para los proyectos seleccionados en el concurso que se llamó por resolución exenta N° 446 (V. y U.), de 2021, cuyo cierre de postulación se efectuó el día 30 de septiembre de 2021, se resumen en el siguiente cuadro para cada región del país, incluyendo la suma total de familias beneficiadas y Unidades de Fomento comprometidas, considerando los montos de subsidio de los proyectos, incluidos sus respectivos servicios de asistencia técnica y fiscalización técnica de obras, según alternativa de postulación:
Alternativa Colectiva

Alternativa Individual

NOTA
Las letras a y b, d del número 2 de la Resolución 131 Exenta, Vivienda, publicada el 05.10.2021, modifican las tablas insertas en los resuelvos 3 y 5 de la presente norma, respectivamente, en el sentido que la citada norma indica.
Las letras a y b, d del número 2 de la Resolución 131 Exenta, Vivienda, publicada el 05.10.2021, modifican las tablas insertas en los resuelvos 3 y 5 de la presente norma, respectivamente, en el sentido que la citada norma indica.
Anótese, publíquese en el Diario Oficial y archívese.- Felipe Ward Edwards, Ministro de Vivienda y Urbanismo.
Lo que transcribo para su conocimiento.- Guillermo Rolando Vicente, Subsecretario de Vivienda y Urbanismo.
NÓMINA DE PROYECTOS PARA CONSTRUCCIÓN EN SITIO PROPIO Y PEQUEÑO CONDOMINIO SELECCIONADOS - LLAMADO EFECTUADO MEDIANTE RESOLUCIÓN N° 446 EXENTA (V. Y U.), DE 2021 - CIERRE DEL 30 DE SEPTIEMBRE DE 2021
Construcción en Sitio Propio

Pequeños Condominios

NOTA
La letra c del número 2 de la Resolución 131 Exenta, Vivienda, publicada el 09.02.2022, modifica la tabla pequeños condominios, inserta del Anexo Único de la presente norma, en el sentido que la citada norma indica.
La letra c del número 2 de la Resolución 131 Exenta, Vivienda, publicada el 09.02.2022, modifica la tabla pequeños condominios, inserta del Anexo Único de la presente norma, en el sentido que la citada norma indica.