OTORGA CONCESIÓN DE SERVICIO PÚBLICO DE TRANSMISIÓN DE DATOS A LA EMPRESA NETLAND CHILE S.A.
Santiago, 6 de octubre de 2021.- Con esta fecha se ha decretado lo que sigue:
Núm. 190.
Vistos:
a) El decreto ley Nº 1.762, de 1977, que creó la Subsecretaría de Telecomunicaciones, en adelante "la Subsecretaría".
b) La ley Nº 18.168, Ley General de Telecomunicaciones, en adelante "la Ley".
c) El decreto supremo Nº 103, de 2008, del Ministerio de Transportes y Telecomunicaciones, que faculta al Ministro de Transportes y Telecomunicaciones para firmar "Por orden de la Presidenta de la República".
d) El decreto supremo Nº 353, de 2001, del Ministerio de Transportes y Telecomunicaciones, Reglamento del Fondo de Desarrollo de las Telecomunicaciones y sus modificaciones.
e) La resolución Nº 7, de 2019, de la Contraloría General de la República, que fija normas sobre exención del trámite de toma de razón.
f) La resolución afecta Nº 16, de 2013, que aprueba las Bases Generales para Concursos Públicos para la Asignación de Proyectos y sus respectivos Subsidios correspondientes al Programa Anual de Proyectos Subsidiables, del Fondo de Desarrollo de las Telecomunicaciones.
g) La resolución afecta Nº 1, modificada mediante resolución afecta Nº 7, ambas de 2020 y de la Subsecretaría, que aprueba las Bases Específicas del Concurso Público "Servicios de Telecomunicaciones para Zonas WiFi 2.0", Código: FDT-2019-02.
h) La Sesión LV, del Consejo de Desarrollo de las Telecomunicaciones, de fecha 29.01.2019, que autoriza el llamado al Concurso Público del literal g) de los Vistos y fija el monto máximo de Subsidio para la asignación del mismo.
i) La resolución exenta Nº 1.004, de 2020, de la Subsecretaría, que aprueba el Informe de Respuestas a las Consultas y Aclaraciones formuladas a las Bases Generales y Específicas del Concurso Público de los literales f) y g) de los Vistos, respectivamente.
j) Los ingresos Subtel Nº 8.964, Nº 8.979, Nº 8.993 y Nº 9.003, todos de fecha 18.01.2021, por los cuales Netland Chile S.A. presenta su Propuesta para el Segundo Período de Postulación, del Concurso Público del literal g) de los Vistos, para el Área de Postulación Libertador General Bernardo O'Higgins Sur Cordillera, Código: FDT-2019-02-LGBO-SE.
k) El ingreso Subtel Nº 37.654, fecha 03.03.2021, por el cual Netland Chile S.A. da respuesta a los primeros requerimientos aclaratorios formulados por la Subsecretaría a su Propuesta del literal j) de los Vistos para el Área de Postulación Libertador General Bernardo O'Higgins Sur Cordillera, Código: FDT-2019-02-LGBO-SE.
l) El ingreso Subtel Nº 65.402 de fecha 14.04.2021, por el cual Netland Chile S.A. da respuesta a los segundos requerimientos aclaratorios formulados por la Subsecretaría a su Propuesta del literal j) de los Vistos y el ingreso Subtel del literal k), de los Vistos, para el Área de Postulación Libertador General Bernardo O'Higgins Sur Cordillera, Código: FDT-2019-02-LGBO-SE.
m) El Ord. Nº 6.877 GFDT Nº 159, de 10.05.2021, de la Subsecretaría, por el cual se comunica a Netland Chile S.A., la adjudicación de la Propuesta presentada al Segundo Período de Postulación del Concurso Público "Servicio de Telecomunicaciones para Zonas WiFi 2.0" Código: FDT-2019-02 correspondiente al Área de Postulación Libertador General Bernardo O'Higgins Sur Cordillera, Código: FDT-2019-02-LGBO-SE.
n) La resolución exenta Nº 746, de 2004, de la Subsecretaría, que fija norma técnica para el uso de la banda de frecuencia 2.400 - 2.483,5 MHz, y sus posteriores modificaciones.
o) La resolución exenta Nº 1.558, de 2008, de la Subsecretaría, que fija norma técnica para el uso de la banda de frecuencia 5.250 - 5.350 MHz y 5.470 - 5.725 MHz, y sus posteriores modificaciones.
p) La resolución exenta Nº 517, de 2001, de la Subsecretaría, que fija norma técnica para el uso de la banda de frecuencia 5.725 - 5.850 MHz, y sus posteriores modificaciones.
q) La resolución exenta Nº 1.962, de 2018, de la Subsecretaría, que fija norma técnica que establece canalizaciones para radioenlaces del servicio fijo en bandas de frecuencias que se indica, y sus posteriores modificaciones.
Considerando:
a) Lo solicitado por la interesada mediante ingreso Subtel Nº 100.604, de fecha 28.05.2021, complementado mediante ingreso Subtel Nº 156.362 de fecha 13.09.2021, para el Área de Postulación Libertador General Bernardo O'Higgins Sur Cordillera, Código: FDT-2019-02-LGBO-SE, del Concurso Público "Servicios de Telecomunicaciones para Zonas WiFi 2.0", Código: FDT-2019-02, cuya Propuesta consta de los ingresos Subtel señalados en los literales j), k) y l) de los Vistos.
b) El Acta del 29.04.2021, correspondiente a la sexagésima sexta sesión del Consejo de Desarrollo de las Telecomunicaciones, que resolvió adjudicar para el Segundo Periodo de Postulación del Concurso Público "Servicio de Telecomunicaciones para Zonas WiFi 2.0", Código: FDT-2019-02, para el Área de Postulación Libertador General Bernardo O'Higgins Sur Cordillera, Código: FDT-2019-02-LGBO-SE, y su respectivo Subsidio, a Netland Chile S.A.
Decreto:
Otórgase concesión de Servicio Público de Transmisión de Datos, a la empresa Netland Chile S.A., RUT Nº 99.518.830-9, con domicilio en Teatinos Nº 251 Oficina 304, comuna de Santiago, Región Metropolitana de Santiago, en adelante la concesionaria, en el sentido que se indica en los numerandos siguientes.
1. Autorízase a la concesionaria para instalar, operar explotar:
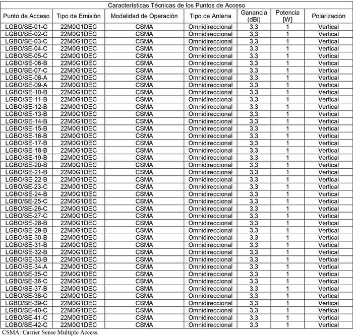
1.1 Puntos de Acceso, según se indica a continuación:






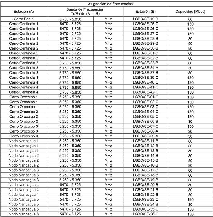
1.2 Enlaces Punto a Multipunto, según se indica a continuación:




1.3 Enlaces Punto a Punto, según se indica a continuación:


La interconexión a la red pública, se efectuará mediante medios propios y/o de terceros debidamente autorizados.
2. Zona de Servicio.
La Zona de Servicio de la concesión corresponde a la Región del Libertador General Bernardo O'Higgins.
3. Zona de Servicio Mínima.
Es aquella extensión geográfica en la cual la concesionaria se encuentra obligada a prestar el Servicio Público de Transmisión de Datos, en los términos establecidos en las Bases del Concurso y en su Proyecto Técnico, durante todo el Período de Obligatoriedad de las Exigencias de las Bases. La Zona de Servicio Mínima corresponde a la sumatoria de las coberturas de las Zonas WiFi según ubicación y superficie informada en la primera tabla del numeral 1.1 del presente decreto.
4. Calidad, operación y uso del Servicio en las Zonas WiFi.
El Servicio objeto de la presente concesión, deberá prestarse con estricto apego a la normativa de calidad que al efecto contemple la Ley Nº 18.168, sus modificaciones y demás normas reglamentarias y/o técnicas vigentes.
No se deberá disminuir, la calidad, operación y uso del Servicio en las Zonas WiFi y características de las prestaciones comprometidas en el Proyecto Técnico que la concesionaria presentó para postular al Concurso Público, Código FDT-2019-02, dentro de la Zona de Servicio Mínima.
La cantidad mínima de Usuarios Concurrentes y su evolución durante todo el Período de Obligatoriedad de las Exigencias de las Bases comprometido y por Zona WiFi serán en relación a la clase de la Zona WiFi señalada en la primera tabla del numeral 1.1 del presente Decreto, según se indican a continuación:

Por su parte, la Velocidad de Acceso mínima garantizada por Usuario Concurrente deberá ser de 2 Mbps de Downlink y 0,5 Mbps de Uplink, durante todo el Período de Obligatoriedad de las Exigencias de las Bases que fuere comprometido.
Cada Zona WiFi deberá tener la capacidad de mantener la cantidad de Usuarios de forma concurrente en todo momento.
Cada sesión de navegación deberá durar un máximo de 30 minutos, transcurridos desde el ingreso al Portal Cautivo. Concluida la sesión, el Usuario podrá reconectarse de forma inmediata siempre y cuando el límite de Usuarios Concurrentes lo permita. El límite de acceso por Usuario (o dirección MAC) en una Zona WiFi serán cinco (5) sesiones diarias, sin límite de descarga de tráfico por sesión, asimismo, cada Punto de Acceso deberá disponer de un sistema de balanceo de carga que gestione el tráfico.
Este Servicio deberá ser exento de pago para todos los Usuarios Concurrente de las Zonas WiFi, por cuatro (4) años contados desde el inicio del Servicio concesionado, según su respectiva etapa.
Por su parte el Período de Obligatoriedad de las Exigencias de las Bases, será de cuatro (4) años y se computará desde la publicación en el Diario Oficial del presente Decreto Supremo, más el tiempo que medie entre dicha fecha de publicación y el oficio de recepción conforme de las obras e instalaciones de cada una de las etapas.
5. Los plazos máximos de implementación del Proyecto, serán los que se indican a continuación:

La concesionaria deberá ingresar a la Subsecretaria de Telecomunicaciones la solicitud de recepción de las obras e instalaciones, objeto de la presente concesión, con a lo menos treinta (30) días hábiles previos al vencimiento del plazo máximo de inicio del Servicio por etapa, de conformidad a lo previsto en el artículo 24 A de la ley Nº 18.168.
6. El monto de Subsidio asignado para el Proyecto Concursable adjudicado a la concesionaria es el siguiente:

7. Las concesionarias que utilicen las bandas 2.400 - 2.483,5 MHz, 5.250 - 5.350 MHz, 5.470 - 5.725 MHz y 5.725 - 5.850 MHz, las compartirán sin reclamar protección contra interferencias que produzcan otros usuarios de estas bandas, debidamente autorizados.
8. Las transmisiones de los equipos de radiocomunicaciones autorizados, no deben causar interferencia a los equipos de cobro electrónico automático de peaje que operan en la banda de 5.795 - 5.815 MHz, los que tendrán prioridad independientemente de la fecha de instalación. Por lo tanto, quien provoque interferencias al sistema de cobro electrónico automático de peaje, deberá suspender inmediatamente sus transmisiones hasta subsanar dicha situación, informando a la Subsecretaría de Telecomunicaciones.
9. Apruébase el Proyecto Comprometido, base de la solicitud presentada por la concesionaria, conforme a las disposiciones técnico-legales que rigen el servicio de telecomunicaciones concedido. La documentación respectiva quedará archivada en la Subsecretaría de Telecomunicaciones.
10. El período de vigencia de la presente concesión será de 30 años, contados desde la publicación del presente Decreto en el Diario Oficial.
11. Es obligación de la concesionaria el conocimiento y cumplimiento de las disposiciones legales, reglamentarias y técnicas que regulan el servicio de telecomunicaciones concesionado, en lo que le es aplicable. Asimismo, lo establecido en las Bases de Concurso y lo comprometido en la Propuesta adjudicada a la concesionaria, todos indicados en los literales f), g), i), j) y k) de los Vistos, respectivamente, y la solicitud de concesión referenciada en el literal a) de los Considerandos.
12. La concesionaria podrá solicitar la modificación de su concesión, con estricta sujeción a lo dispuesto en las Bases del Concurso, en lo particular a los Artículos 16º, 31º, 33º y 35º de las Bases Específicas, siempre y cuando no se menoscabe el cumplimiento de los requisitos establecidos en las mismas y el Proyecto Comprometido, asegurando la correcta y adecuada instalación, operación y explotación de los elementos comprometidos para las Zonas WiFi pertenecientes al Área de Postulación Libertador General Bernardo O'Higgins Sur Cordillera.
Anótese, tómese de razón, comuníquese, notifíquese a la interesada y publíquese en el Diario Oficial.- Por orden del Presidente de la República, Gloria Hutt Hesse, Ministra de Transportes y Telecomunicaciones.
Lo que transcribo para su conocimiento.- Saluda atentamente a Ud., Francisco Moreno Guzmán, Subsecretario de Telecomunicaciones.