COMPLEMENTA SELECCIÓN DE PROYECTOS CALIFICADOS AL AÑO 2021, QUE POSTULARON AL LLAMADO EN CONDICIONES ESPECIALES DISPUESTO POR LA RESOLUCIÓN N° 224 EXENTA (V. Y U.), DE 2021, Y SUS MODIFICACIONES, DEL PROGRAMA FONDO SOLIDARIO DE ELECCIÓN DE VIVIENDA, EN LA ALTERNATIVA DE POSTULACIÓN COLECTIVA PARA PROYECTOS DE CONSTRUCCIÓN EN NUEVOS TERRENOS EN LAS REGIONES QUE INDICA
Santiago, 27 de enero de 2022.- Hoy se resolvió lo que sigue:
Núm. 105 exenta.
Vistos:
a) El DS N° 49 (V. y U.), de 2011 y sus modificaciones, que reglamenta el Programa Habitacional Fondo Solidario de Elección de Vivienda;
b) La resolución exenta N° 2.007 (V. y U.), de fecha 17 de diciembre de 2021, que autoriza efectuar llamados a postulación y/o comprometer recursos durante el año 2022 en el otorgamiento de subsidios habitacionales y señala el monto de los recursos destinados, entre otros, a la atención a través del programa regulado por el DS N° 49 (V. y U.) de 2011;
c) La resolución exenta N° 224 (V. y U.), de fecha 24 de febrero de 2021, y sus modificaciones, que llama a proceso de selección en condiciones especiales para el otorgamiento de subsidios del Programa Habitacional Fondo Solidario de Elección de Vivienda, regulado por el DS N° 49 (V. y U.), de 2011, y sus modificaciones, en la alternativa de postulación colectiva para proyectos de Construcción en Nuevos Terrenos en las regiones que indica;
d) La resolución exenta N° 1.875 (V. y U.), de 2015, y sus modificaciones, que fija procedimiento para la prestación de servicios de asistencia técnica, jurídica y social para el programa Fondo Solidario de Elección de Vivienda, y,
Considerando:
a) Que mediante la resolución citada en el Visto c) de esta resolución se llamó a concurso en condiciones especiales para el otorgamiento de subsidios del Programa Habitacional Fondo Solidario de Elección de Vivienda, regulado por el DS N° 49 (V. y U.), de 2011, y sus modificaciones, en la alternativa de postulación colectiva para proyectos de Construcción en Nuevos Terrenos en las regiones que indica.
b) Que se calificaron proyectos en el cierre del proceso, del llamado señalado en el Visto c), que no pudieron ser financiados con el saldo de recursos disponibles del año 2021.
c) La necesidad de complementar la nómina de selección de proyectos habitacionales correspondiente al llamado dispuesto por la resolución citada en el Visto c) de esta resolución.
d) El correo electrónico de fecha 26 de enero de 2022, que da cuenta de la conformidad del Jefe de División de Política Habitacional de este Ministerio con el tenor del presente acto administrativo, dicto la siguiente
Resolución:
1. Compleméntase la nómina de proyectos seleccionados y los recursos respectivos, para el otorgamiento de subsidios habitacionales del Programa Fondo Solidario de Elección de Vivienda en la alternativa de postulación colectiva, para proyectos de Construcción en Nuevos Terrenos, en las Regiones de Coquimbo, Valparaíso, O'Higgins, Maule, Ñuble, Biobío, Araucanía, Los Ríos, Los Lagos y Metropolitana, correspondiente al concurso cuyo cierre de postulación se efectuó el día 28 de diciembre de 2021, en el llamado efectuado por resolución exenta N° 224 (V. y U.), de 2021:

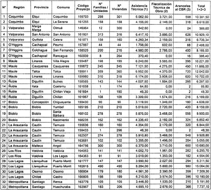
El detalle de los recursos comprometidos por concepto de subsidio base y subsidios complementarios para cada uno de los proyectos seleccionados en el presente Resuelvo y que por este acto se asignan, se informa en la nómina que se adjunta como anexo y forma parte integrante de la presente resolución.
2. El monto del subsidio asignado de conformidad con el cuadro del Resuelvo 1. de esta resolución comprende los siguientes montos por concepto de Servicios de Asistencia Técnica, de Labores de Fiscalización Técnica de Obra y pago de Aranceles al Conservador de Bienes Raíces:

Dichos montos fueron calculados conforme a la resolución exenta N° 1.875 (V. y U.), de 2015, mencionada en el visto d) de la presente resolución:
(1) En el Caso de los Servicios de Asistencia Técnica, de acuerdo al número de familias postulantes que se beneficiarán por esta resolución, conforme los recursos descritos en las tablas insertas en los números 1.1 y 1.2 del numeral 1 de su artículo 3°. Se adiciona además 1 UF por familia, considerando lo señalado en el inciso segundo, del número 1.1. del numeral 1 del citado artículo y los incrementos señalados en las letras a), b), c) y d) del numeral 3 del ya señalado artículo 3°, referidos a Densificación en Altura o Habilitación, Factibilización, Discapacidad, Territorios Especiales y Localidades Aisladas.
(2) En el caso de la Fiscalización Técnica de Obras, de acuerdo a la totalidad de viviendas del proyecto y según mecanismo expresado en su artículo 4° número 17.
Mediante resolución del Director del Serviu respectivo, se determinarán los montos definitivos de Asistencia Técnica, cuando corresponda otorgar los incrementos que la resolución exenta N° 1.875 (V. y U.), de 2015, establece en las letras e), g), h), j) y k) del número 3 de su artículo 3°.
3. Resolución 509 EXENTA,
VIVIENDA
N° 1 b)
D.O. 04.03.2023Los montos de subsidios asignados mediante la presente resolución, ascendentes a 6.685.102,07 Unidades de Fomento, se imputarán a los recursos dispuestos para el año 2022, para el Programa Fondo Solidario de Elección de Vivienda de las Regiones de Coquimbo, Valparaíso, O'Higgins, Maule, Ñuble, Biobío, Araucanía, Los Ríos, Los Lagos y Metropolitana, según el siguiente detalle:
VIVIENDA
N° 1 b)
D.O. 04.03.2023Los montos de subsidios asignados mediante la presente resolución, ascendentes a 6.685.102,07 Unidades de Fomento, se imputarán a los recursos dispuestos para el año 2022, para el Programa Fondo Solidario de Elección de Vivienda de las Regiones de Coquimbo, Valparaíso, O'Higgins, Maule, Ñuble, Biobío, Araucanía, Los Ríos, Los Lagos y Metropolitana, según el siguiente detalle:
.NOTA
La letra a del numeral 1 de la Resolución 509 Exenta, Vivienda, publicada el 04.03.2023, modifica la presente norma en el sentido de reemplazar en el cuadro inserto en el presente resuelvo, la fila 13 por la que la citada norma indica.
La letra a del numeral 1 de la Resolución 509 Exenta, Vivienda, publicada el 04.03.2023, modifica la presente norma en el sentido de reemplazar en el cuadro inserto en el presente resuelvo, la fila 13 por la que la citada norma indica.
Anótese, comuníquese, publíquese en el Diario Oficial y archívese.- Felipe Ward Edwards, Ministro de Vivienda y Urbanismo.
Lo que transcribo para su conocimiento.- Guillermo Rolando Vicente, Subsecretario de Vivienda y Urbanismo.
.
.