RECONOCE, POR SOLICITUD MUNICIPAL, HUMEDAL URBANO LAGUNA AVENDAÑO
Núm. 1.377 exenta.- Santiago, 7 de diciembre de 2021.
Vistos:
Lo dispuesto en el artículo 70 letra z) de la ley N° 19.300, sobre Bases Generales del Medio Ambiente; en la ley N° 21.202, que Modifica diversos cuerpos legales con el objetivo de proteger los humedales urbanos; en el decreto supremo N° 15, de 2020, del Ministerio del Medio Ambiente, que establece Reglamento de la ley N° 21.202, que Modifica diversos cuerpos legales con el objetivo de proteger los humedales urbanos; en la solicitud de reconocimiento de humedal urbano contenido en el ordinario alcaldicio N° 342/22021, de 2 de junio de 2021 presentado por la Municipalidad de Quillón; en la resolución N° 110, de 11 de junio de 2021, de la Secretaría Regional del Ministerio del Medio Ambiente de la Región de Ñuble, que declara admisible solicitud de reconocimiento de Humedal Urbano Laguna de Avendaño presentada por la Municipalidad de Linares; en la resolución exenta N° 249, de 2020, del Ministerio del Medio Ambiente, que instruye medidas extraordinarias de visación de documentos del Ministerio del Medio Ambiente-Subsecretaría del Medio Ambiente a raíz de la alerta sanitaria por Emergencia de Salud Pública de Importancia Internacional (ESPII) por brote de coronavirus (COVID-19); en la resolución exenta N° 1.118, de 2021, del Ministerio del Medio Ambiente, que modifica e instruye medidas extraordinarias de visación de Documentos del Ministerio del Medio Ambiente-Subsecretaría del Medio Ambiente, a raíz de la Alerta Sanitaria por Emergencia de Salud Pública de Importancia Internacional (ESPII) por brote de coronavirus (COVID-19); en el memorándum N° 538/2021, de 6 de diciembre de 2021, de la División de Recursos Naturales y Biodiversidad del Ministerio del Medio Ambiente; en los demás antecedentes que constan en el expediente administrativo; en la resolución N° 7, de 2019, de la Contraloría General de la República, que fija normas sobre exención del trámite de toma de razón; y,
Considerando:
1. Que, el artículo 1° de la ley N° 21.202 establece que tiene por objeto proteger los Humedales Urbanos declarados por el Ministerio del Medio Ambiente, de oficio o a petición del municipio respectivo, entendiendo por tales todas aquellas extensiones de marismas, pantanos y turberas, o superficies cubiertas de aguas, sean estas de régimen natural o artificial, permanentes o temporales, estancadas o corrientes, dulce, salobres o saladas, incluidas las extensiones de agua marina, cuya profundidad en marea baja no exceda los seis metros y que se encuentren total o parcialmente dentro del límite urbano.
2. Que, el procedimiento de declaración de Humedales Urbanos a solicitud de los municipios se encuentra regulado en el artículo 6 y siguientes del DS N° 15, de 2020, del Ministerio del Medio Ambiente, que establece Reglamento de la ley N° 21.202, que Modifica diversos cuerpos legales con el objetivo de proteger los humedales urbanos ("Reglamento").
3. Que, mediante el ordinario alcaldicio N° 342/2021, de la I. Municipalidad de Quillón, ingresado a oficina de partes de la Secretaría Regional Ministerial del Medio Ambiente de la Región de Ñuble con fecha 7 de junio de 2021, se solicitó el reconocimiento del Humedal Urbano Laguna Avendaño, de la comuna de Quillón, Región de Ñuble, con una superficie de 204,9 hectáreas, ubicado parcialmente dentro del límite urbano. Asimismo, en dicha solicitud acompañó la cartografía propuesta, entre otros antecedentes.
4. Que, la información presentada por la Municipalidad para la identificación del respectivo humedal se encuentra en el documento denominado "Ficha técnica solicitud de declaración de humedal urbano Municipalidad de Quillón". Dicho documento y todos aquellos que se han tenido en consideración para la presente declaración se encuentran contenidos en el expediente respectivo, publicado en la página del Ministerio: https://humedaleschile.mma.gob.cl/procesos-
desde-municipios/.
5. Que, mediante la resolución N° 110, de 11 de junio de 2021, la Secretaría Regional Ministerial del Medio Ambiente de la Región de Ñuble declaró admisible la solicitud de reconocimiento de Humedal Urbano Laguna Avendaño, presentada por la Municipalidad de Quillón, de conformidad al artículo 9° del Reglamento.
6. Que, en cumplimiento de lo dispuesto en el artículo 9° del Reglamento, con la publicación en el Diario Oficial del listado de solicitudes de reconocimiento de Humedales Urbanos declaradas admisibles en el mes anterior, con fecha 1° de julio de 2021, comenzó el transcurso del plazo de 15 días hábiles para la recepción de antecedentes adicionales. Cabe señalar que se considera como información pertinente aquella recibida dentro de plazo y relacionada con las circunstancias que habilitan a este Ministerio para declarar determinado humedal como Humedal Urbano de conformidad con lo dispuesto en el artículo 1° de la ley N° 21.202, esto es, que corresponda efectivamente a un humedal y que se encuentre, total o parcialmente, ubicado dentro del límite urbano.
7. Que, según da cuenta la denominada "Ficha Análisis Técnico Reconocimiento Humedal Urbano a Solicitud de la Municipalidad de Quillón" ("Ficha Técnica"), en dicha etapa se recibieron 8 presentaciones, de las cuales 5 fueron consideradas como pertinentes para el análisis técnico, dado que consistía en información sobre la existencia del humedal, su ubicación y delimitación. Las restantes presentaciones consisten en información sobre la futura gestión y gobernanza del área propuesta y de apoyo a la iniciativa de conservación.
8. Que, el artículo 8° del Reglamento dispone que la delimitación de los humedales deberá considerar al menos uno de los siguientes criterios: (i) la presencia de vegetación hidrófita; (ii) la presencia de suelos hídricos con mal drenaje o sin drenaje; y/o (iii) un régimen hidrológico de saturación ya sea permanente o temporal que genera condiciones de inundación periódica.
9. Que, como consecuencia del análisis técnico, contenido en la Ficha Técnica, fue necesario ajustar la cartografía presentada por la I. Municipalidad de Quillón dando paso a la cartografía oficial del Humedal Urbano, en atención a la recepción de información pertinente a la declaratoria por parte de la ciudadanía y al cumplimiento de los criterios de delimitación relativos a la presencia de vegetación hidrófita y de un régimen hidrológico de saturación ya sea permanente o temporal que genera condiciones de inundación periódica. Por lo tanto, se estimó necesaria la modificación de los límites propuestos para este humedal en la cartografía original, pasando de 204,9 hectáreas a 156,3 hectáreas, dando lugar a la cartografía oficial.
10. Que, de este modo, el Humedal Urbano Laguna Avendaño, según consta en la Ficha Técnica, corresponde a un humedal natural, tipo lacustre y palustre permanente de la comuna de Quillón, Región de Ñuble, que posee una superficie aproximada de 156,3 hectáreas y que se ubica parcialmente dentro del límite urbano.
11. Que mediante memorándum N° 538/2021, de 6 de diciembre de 2021, la División de Recursos Naturales y Biodiversidad solicitó la declaración del Humedal Urbano Laguna Avendaño.
Resuelvo:
1° Declárese como Humedal Urbano, para efectos de lo dispuesto en la ley N° 21.202, el humedal denominado Humedal Urbano Laguna Avendaño, cuya superficie aproximada es de 156,3 hectáreas, ubicado en la comuna de Quillón, Región de Ñuble.
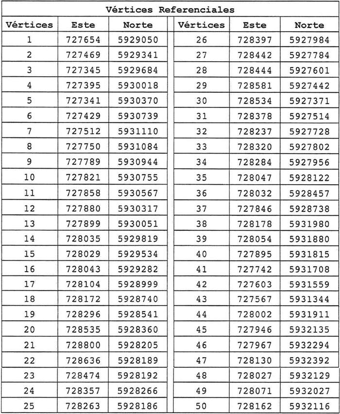
2° Establézcase los límites del Humedal Urbano Laguna Avendaño, representados en la cartografía oficial, y que se detallan en coordenadas referenciales UTM según Datum WGS 84, huso 18 sur y son las siguientes:

Para todos los efectos legales, la cartografía oficial, autorizada por el Subsecretario del Medio Ambiente como ministro de fe, forma parte integrante de la presente resolución y puede ser consultada en las dependencias del Ministerio del Medio Ambiente, así como en el siguiente enlace: https ://humedaleschile.mma.gob.cl/wp-content/uploads/2022/01/mapa-laguna-avendano.pdf.
3° Infórmese que la presente resolución es reclamable ante el Tribunal Ambiental competente de conformidad a lo dispuesto en el artículo 12 del Reglamento, dentro del plazo de 30 días contado desde su publicación en el Diario Oficial.
4° Publíquese la presente resolución en el Diario Oficial y en la página electrónica del Ministerio del Medio Ambiente.
Anótese, comuníquese, publíquese y archívese.- Javier Naranjo Solano, Ministro del Medio Ambiente.