OTORGA A BESALCO TRANSMISIÓN SpA CONCESIÓN ELÉCTRICA DEFINITIVA PARA ESTABLECER EL TRAMO 2 DEL PROYECTO DENOMINADO "LÍNEA 2X110 KV BY PASS SAN RAFAEL", EN LA REGIÓN DE VALPARAÍSO, PROVINCIA DE LOS ANDES, COMUNA DE CALLE LARGA
Núm. 18.- Santiago, 25 de febrero de 2022.
Vistos:
Lo informado por la Superintendencia de Electricidad y Combustibles en su oficio Ord. Nº 10376/ACC 2999070/DOC 3004011, de 28 de enero de 2022; lo informado por la Dirección Nacional de Fronteras y Límites del Estado (Difrol), a través de oficio público Nº 595, de 16 de abril de 2021; lo dispuesto en los artículos 11º y 29º del decreto con fuerza de ley Nº 4/20.018, de 2006, del Ministerio de Economía, Fomento y Reconstrucción, que fija el texto refundido, coordinado y sistematizado del decreto con fuerza de ley Nº 1, de Minería, de 1982, Ley General de Servicios Eléctricos, en materia de energía eléctrica, en adelante la "Ley General de Servicios Eléctricos", y sus modificaciones posteriores; en la Ley Nº 19.880 que establece bases de los procedimientos administrativos que rigen los actos de los órganos de la Administración del Estado; en la resolución Nº 7, de 2019, de la Contraloría General de la República, y
Considerando:
1. Lo informado por la Superintendencia de Electricidad y Combustibles, en su oficio Ord. Nº 10376/ACC 2999070/DOC 3004011, de 28 de enero de 2022, el cual pasa a formar parte del presente acto administrativo, de acuerdo a lo dispuesto en el artículo 41 de la Ley Nº 19.880, que establece bases de los procedimientos administrativos que rigen los actos de los órganos de la Administración del Estado.
2. Que, la resolución exenta Nº 9.224, de 8 de noviembre de 2021, de la Superintendencia de Electricidad y Combustibles, acogió la petición de división de la solicitud de concesión definitiva para establecer las instalaciones relativas al proyecto "Línea 2x110 kV By Pass San Rafael", dividiéndose la concesión solicitada en dos tramos, a saber: Tramo 1 y Tramo 2.
3. Que, la aceptación la Superintendencia de Electricidad y Combustibles, señalada en el considerando anterior, se efectuó de acuerdo a lo dispuesto en el artículo 29º de la Ley General de Servicios Eléctricos, dividiéndose la concesión solicitada en los tres tramos antes indicados, correspondiendo el presente acto administrativo al Tramo 2.
Decreto:
Artículo 1º.- Otórguese a Besalco Transmisión SpA concesión eléctrica definitiva para establecer el Tramo 2 del proyecto de transmisión de energía eléctrica denominado "Línea 2x110 kV By Pass San Rafael", en la Región de Valparaíso, provincia de Los Andes, comunas de Los Andes y Calle Larga.

Artículo 2º.- El Tramo 2, cuya concesión se otorga a través del presente decreto, forma parte del proyecto denominado "Línea 2x110 kV By Pass San Rafael", que consiste en la construcción y operación de una línea de transmisión de energía eléctrica, que tiene por objeto aumentar la confiabilidad y la flexibilidad de operación del actual Sistema Eléctrico Nacional (SEN), en virtud de que esta línea se enmarca dentro del plan de expansión del Sistema Eléctrico Nacional, según lo establecido por el Ministerio de Energía en el decreto exento Nº 418, de 2017, del Ministerio de Energía, que fija listado de instalaciones de Transmisión Zonal de ejecución obligatoria para el abastecimiento de la demanda y las Bases de Licitación que fueron dictadas por el Coordinador Eléctrico Nacional, en el mes de noviembre de 2017, previo establecimiento de sus términos y condiciones, mediante la resolución exenta Nº 269, de fecha 31 de mayo de 2017 de la Comisión Nacional de Energía y sus modificaciones.
El proyecto denominado "Línea 2x110 kV By Pass San Rafael", contempla un doble circuito de tensión 110 kV, de categoría C, que comienza su trazado en el marco de línea al interior de la futura "Subestación Seccionadora Nueva San Rafael 110 kV" y termina en la estructura 81 de la línea 2x110 kV Aconcagua - Esperanza. La línea de transmisión proyectada tiene una longitud de 6.383,58 metros, comenzando su trazado en el marco de línea ML SR, al interior de la futura Subestación Seccionadora Nueva San Rafael 110 kV, en las coordenadas UTM WGS84 19S Este [m] 347.626,35 y Norte [m] 6.365.616,42, y termina su trazado en la estructura 81 de la línea 2x110 kV Aconcagua - Esperanza, vértice VR, en las coordenadas UTM WGS84 19S Este [m] 352.479,29 y Norte [m] 6.363.183,30.
De la longitud antes indicada, se solicita concesión eléctrica definitiva por una longitud total de 6.366,65 metros, la cual se inicia en el punto PI, en el límite de la futura Subestación Seccionadora Nueva San Rafael 110 kV, en las coordenadas UTM WGS84 19S Este [m] 347.621,35 y Norte [m] 6.365.600,25 y finaliza en el vértice VR.
Asimismo, cabe señalar que las obras de conexión a la estructura 81 tienen por finalidad mantener la continuidad del servicio de la línea proveniente desde la subestación Aconcagua existente. De esta manera la línea existente 2x110 kV Aconcagua - Esperanza puede ser intervenida en el tramo comprendido entre la estructura 82 y la futura Subestación Seccionadora Nueva San Rafael 110 kV. Dentro de las obras está considerada la desconexión eléctrica de conductores en el vano 81 - 82, para conectar los circuitos desde la estructura 81 a la estructura proyectada 22 del Proyecto.
Cabe hacer presente que la estructura ML SR que se encuentra representada en el layout de las obras contenido en el Plano General de Obras, no forma parte del Proyecto y sólo se ha considerado para efectos de calcular la franja de seguridad de la línea y permitir un entendimiento cabal del proyecto. En el plano general de obras se detalla el trazado y/o área de emplazamiento del proyecto. Asimismo, en la memoria explicativa se exponen los alcances del proyecto, se detalla la ejecución de los trabajos y se muestran las características de las estructuras, de los conductores y demás componentes.
Artículo 3º.- El presupuesto del costo de las obras asciende a la suma de $2.801.000.000 (dos mil ochocientos un millones de pesos).
Artículo 4º.- Copia de los antecedentes relativos a la concesión que por el presente decreto se otorga, quedarán archivados en la Superintendencia de Electricidad y Combustibles.
Artículo 5º.- Las instalaciones del proyecto "Línea 2x110 kV By Pass San Rafael" ocuparán bienes nacionales de uso público y predios particulares.
En particular, el Tramo 2 del proyecto "Línea 2x110 kV By Pass San Rafael", cuya concesión se otorga en el presente decreto, afectará bienes particulares sobre los cuales será necesario constituir servidumbres eléctricas en los términos que señala el artículo 7º de este decreto, además de lo dispuesto en la Ley General de Servicios Eléctricos.
Artículo 6º.- Apruébese los planos especiales de servidumbres indicados en el artículo 7º del presente decreto.
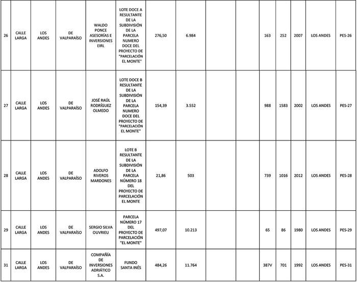
Artículo 7º.- Constitúyase, de acuerdo con lo que sobre el particular establece la Ley General de Servicios Eléctricos, las servidumbres para el establecimiento de las instalaciones del proyecto en los predios que se indican a continuación:


Artículo 8º.- Las instalaciones del proyecto podrán atravesar los ríos, canales, las líneas férreas, puentes, acueductos, cruzar calles, caminos y otras líneas eléctricas. Estos cruzamientos se ejecutarán en conformidad con las prescripciones que establecen los reglamentos, de manera que garanticen la seguridad de las personas y propiedades.
En su recorrido, las instalaciones del proyecto "Línea 2x110 kV By Pass San Rafael" afectarán las líneas eléctricas, obras e instalaciones existentes que se indican a continuación:
a. Cruces con líneas eléctricas:

b. Cruces con canales:

c. Cruce con línea eléctrica existente:

Artículo 9º.- La presente concesión se otorga en conformidad a lo dispuesto en la Ley General de Servicios Eléctricos y queda sometida a todas las disposiciones legales y reglamentarias vigentes o que se dicten en el futuro sobre la materia.
Artículo 10°.- Esta concesión se otorga por plazo indefinido.
Artículo 11º.- El plazo de construcción de las obras del proyecto "Línea 2x110 kV By Pass San Rafael", desde el inicio de los trabajos hasta la terminación total de las obras será de 15 meses. El inicio de las obras será a los 180 días de la reducción a escritura pública del presente decreto, sin perjuicio de que las obras puedan iniciar su construcción en un plazo inferior al señalado, en el caso que se logren acuerdos voluntarios con los propietarios afectados. Los plazos para su terminación por etapas y secciones serán los siguientes:
Duración de las actividades de construcción del proyecto:

Artículo 12º.- El presente decreto deberá ser reducido a escritura pública por el concesionario, antes de quince días contados desde su publicación en el Diario Oficial.
Artículo 13º.- El concesionario estará obligado a prestar el servicio de transporte de energía eléctrica, en las condiciones de calidad y continuidad que establezca la ley y los reglamentos.
Artículo 14º.- El concesionario estará obligado a levantar íntegramente las instalaciones cuando ellas queden inutilizadas para el objetivo de la presente concesión. Esta obligación sólo es válida para aquellas instalaciones que hagan uso de bienes nacionales de uso público, terrenos fiscales o terrenos particulares, en virtud de servidumbres constituidas.
El levantamiento deberá efectuarse dentro del plazo y en las condiciones que fije la Superintendencia de Electricidad y Combustibles, de conformidad a los reglamentos y normas técnicas aplicables.
Artículo 15º.- Si por cualquiera circunstancia, alguno de los tramos en que se ha dividido el proyecto de transmisión "Línea 2x110 kV By Pass San Rafael" no pudiere ejecutarse, el retiro de las instalaciones que ocupen bienes nacionales de uso público, terrenos fiscales o particulares, deberá hacerse dentro del plazo y en las condiciones que fije la Superintendencia de Electricidad y Combustibles, de conformidad a la normativa vigente.
La división por tramos del proyecto "Línea 2x110 kV By Pass San Rafael" no afectará en modo alguno la prohibición de fraccionamiento contemplada en la Ley Nº 19.300, sobre Bases Generales del Medio Ambiente.
Artículo 16º.- La concesión que por este acto se otorga no exime del cumplimiento de las demás obligaciones legales, como lo es el acatamiento de la legislación ambiental en forma previa a la ejecución de las obras que se amparen en esta concesión.
Anótese, tómese razón, notifíquese y publíquese en el Diario Oficial y en el sitio web del Ministerio de Energía.- Por Orden del Presidente de la República, Juan Carlos Jobet Eluchans, Ministro de Energía.
Lo que transcribo a Ud. para su conocimiento.- Saluda a Ud., María Fernanda Riveros Inostroza, Jefa División Jurídica, Subsecretaría de Energía.
CONTRALORÍA GENERAL DE LA REPÚBLICA
División de Infraestructura y Regulación
Cursa con alcance el decreto Nº 18, de 2022, del Ministerio de Energía
N° E195420/2022.- Santiago, 17 de marzo de 2022.
Esta Contraloría General ha dado curso al decreto de la suma, que otorga una concesión eléctrica definitiva a la empresa que indica, pero cumple con precisar, por una parte, que, a diferencia de lo consignado en su epígrafe, dicha concesión abarca las comunas de Los Andes y Calle Larga y, por otra, que el proyecto de que se trata fue dividido en dos tramos, y no en tres como se indica en el considerando Nº 3 del acto administrativo en examen.
Por orden del Contralor General de la República.- Saluda atentamente a Ud., Juan Carlos Lillo Valenzuela, Subjefe de División.
Al señor
Ministro de Energía
Presente.