IDENTIFICA LOS PRODUCTOS QUE CONSTITUYEN ENVASES, INDICANDO, ADEMÁS, LA CATEGORÍA A QUE CORRESPONDEN, DE CONFORMIDAD CON LO DISPUESTO EN EL DECRETO SUPREMO Nº 12, DE 2020, DEL MINISTERIO DEL MEDIO AMBIENTE, QUE ESTABLECE METAS DE RECOLECCIÓN Y VALORIZACIÓN Y OTRAS OBLIGACIONES ASOCIADAS DE ENVASES Y EMBALAJES
Núm. 240 exenta.- Santiago, 8 de marzo de 2022.
Vistos:
Lo dispuesto en la Ley Nº 20.920, Marco para la Gestión de Residuos, la Responsabilidad Extendida del Productor y Fomento al Reciclaje; la ley Nº 19.300, sobre Bases Generales del Medio Ambiente; la ley Nº 19.880 que Establece Bases de los Procedimientos Administrativos que rigen los Actos de los Órganos de la Administración del Estado; la ley Nº 18.575, Orgánica Constitucional de Bases Generales de la Administración del Estado, cuyo texto refundido, coordinado y sistematizado fue fijado por el decreto con fuerza de ley Nº 1/19.653, de 2000, del Ministerio Secretaría General de la Presidencia; el decreto supremo Nº 12, de 2020, del Ministerio del Medio Ambiente, que establece metas de recolección y valorización y otras obligaciones asociadas de envases y embalajes; la resolución exenta Nº 1.026, de 2021, del Ministerio del Medio Ambiente, que Aprueba propuesta de resolución que identifica los productos que constituyen envases, indicando, además, la categoría a que corresponden, de conformidad con lo dispuesto en el decreto supremo Nº 12, de 2020, del Ministerio del Medio Ambiente, que establece metas de recolección y valorización y otras obligaciones asociadas de envases y embalajes; la resolución exenta Nº 1.191, de 2021, del Ministerio del Medio Ambiente, que Amplía plazo de consulta pública de propuesta de resolución que identifica los productos que constituyen envases, indicando, además, la categoría a que corresponden, de conformidad con lo dispuesto en el decreto supremo Nº 12, de 2020, del Ministerio del Medio Ambiente, que establece metas de recolección y valorización y otras obligaciones asociadas de envases y embalajes; la resolución exenta Nº 1.543, de 31 de diciembre de 2021, del Ministerio del Medio Ambiente - Subsecretaría del Medio Ambiente, que Amplía aplicación de las medidas extraordinarias de visación de documentos del Ministerio del Medio Ambiente - Subsecretaría del Medio Ambiente, a raíz de la alerta sanitaria por emergencia de salud pública de importancia internacional (ESPII) por brote de coronavirus (COVID-19); la resolución Nº 7, de 2019, de la Contraloría General de la República, que fija normas sobre exención de trámite de toma de razón, y
Considerando:
1.- Que, conforme al artículo 69 de la Ley Nº 19.300, sobre Bases Generales del Medio Ambiente ("Ley Nº 19.300"), el Ministerio del Medio Ambiente ("Ministerio") es la Secretaría de Estado encargada de colaborar con el Presidente de la República en el diseño y aplicación de políticas, planes y programas en materia ambiental, así como en la protección y conservación de la diversidad biológica y de los recursos naturales renovables e hídricos, promoviendo el desarrollo sustentable, la integridad de la política ambiental y su regulación normativa.
2.- Que, en particular, el artículo 70 letra g) de la ley Nº 19.300, establece que le corresponderá al Ministerio del Medio Ambiente proponer políticas y formular normas, planes y programas en materia de residuos y suelos contaminados, así como la evaluación del riesgo de productos químicos, organismos genéticamente modificados y otras sustancias que puedan afectar el medio ambiente.
3.- Que, en este contexto, y con la finalidad de potenciar la prevención en la generación de residuos y promover su valorización, el año 2016 se publicó la ley Nº 20.920, Marco para la Gestión de Residuos, la Responsabilidad Extendida del Productor y Fomento al Reciclaje ("Ley Nº 20.920"). Dicha Ley instauró la Responsabilidad Extendida del Productor ("REP"), que consiste en un régimen especial de gestión de residuos, conforme al cual los productores de productos prioritarios son responsables de la organización y financiamiento de la gestión de los residuos de los productos prioritarios que comercialicen en el país.
4.- Que, la referida Ley establece que la REP aplicará, entre otros productos prioritarios, a los envases y embalajes. Asimismo, establece que la definición de las categorías o subcategorías a las que aplicará este instrumento, así como las metas de recolección y valorización y demás obligaciones asociadas, serán establecidas mediante decretos supremos dictados por el Ministerio.
5.- Que, con fecha 16 de marzo de 2021, se publicó en el Diario Oficial el decreto supremo Nº 12, de 2020, del Ministerio del Medio Ambiente, que establece metas de recolección y valorización y otras obligaciones asociadas de envases y embalajes ("DS Nº 12/2020").
6.- Que, de acuerdo con el artículo 3 del DS Nº 12/2020, este último aplica a los envases que se introduzcan en el mercado, con excepción de los envases reutilizables, los que no se considerarán introducidos en el mercado para efectos del cumplimiento de las metas. Estos últimos, de acuerdo con el artículo 2 Nº 13 del DS Nº 12/2020 corresponden a "aquellos envases que cumplen con un número mayor a uno de ciclos o rotaciones en los que son rellenados de forma industrial, o usados por un productor, para el mismo propósito para el que fueron originalmente concebidos".
7.- Que, por su parte, el artículo 2 Nº 18 del DS Nº 12/2020, en línea con el artículo 3 Nº 21 de la Ley Nº 20.920 -que establece que en el caso de los envases y embalajes, el productor es aquel que introduce en el mercado el bien de consumo envasado y/o embalado- define "introducir al mercado nacional", como: (i) enajenar un bien de consumo envasado o embalado por primera vez en el mercado nacional; (ii) enajenar bajo marca propia un bien de consumo envasado o embalado adquirido de un tercero que no es el primer distribuidor; o, (iii) importar un bien de consumo envasado o embalado para el propio uso profesional.
8.- Que, en consecuencia, si una persona enajena o importa un envase que no contiene un bien de consumo -entendiéndose por bien de consumo cualquier mercancía susceptible de ser introducida en el mercado, con independencia del uso que el consumidor haga de la misma- envasado y/o embalado, no tiene la calidad de productor de envases y/o embalajes.
9.- Que, el DS Nº 12/2020 define envases y embalajes en su artículo 2 Nº 5 como "aquellos productos hechos de cualquier material, de cualquier naturaleza, que sean usados para contener, proteger, manipular, facilitar el consumo, almacenar, conservar, transportar, o para mejorar la presentación de las mercancías, así como los elementos auxiliares integrados o adosados a aquellos, cuando cumplen con la función de informar al consumidor o alguna de las funciones ya señaladas" (en adelante, "envases").
10.- Que, como es posible advertir de lo anterior, esta definición comprende cuatro tipos de productos o elementos: (i) productos usados para contener, proteger, manipular, facilitar el consumo, almacenar, conservar o transportar mercancías; (ii) productos usados para mejorar la presentación de las mercancías, que incluyen, por ejemplo, envoltorios o cajas de regalo, film o envolturas de plástico alrededor del envase o adorno; (iii) elementos auxiliares integrados o adosados al producto, cuando cumplen las funciones anteriores, y que incluyen, por ejemplo, bombillas de cajas de leche o jugos, elementos que acompañan medicamentos, dosificadores, jeringas, gotarios o cucharas; y, (iv) elementos auxiliares integrados o adosados al producto, cuando cumplen con la función de informar al consumidor, y que incluyen, por ejemplo, etiquetas, trípticos y dípticos publicitarios o folletos.
11.- Que, adicionalmente, en su artículo 2 Nº 12, el DS Nº 12/2020 define envases primarios como "aquellos envases que están en contacto directo con el bien de consumo que envasan o embalan, o que están concebidos para constituir una unidad de venta en el lugar en que el bien de consumo es enajenado al consumidor final". Por su parte, en su artículo 2 Nº 14, define envases secundarios como "aquellos envases que contienen uno o más bienes de consumo envasados o embalados en envases primarios". Finalmente, en su artículo 2 Nº 15 define envases terciarios como "aquellos envases que contienen uno o más bienes de consumo envasados o embalados en envases primarios o secundarios, con el objeto de facilitar su transporte o manipulación, excluyéndose los contenedores".
12.- Que, por su parte, en lo que respecta a su clasificación, el DS Nº 12/2020 en su artículo 4 establece que los envases se dividen en dos categorías: (i) domiciliarios y (ii) no domiciliarios. Los primeros se definen como "aquellos envases que se generan normalmente en el domicilio de una persona natural", mientras que los segundos como "aquellos envases que no constituyen envases domiciliarios".
13.- Que, la misma disposición establece que los envases secundarios y terciarios siempre pertenecerán a la categoría de envases no domiciliarios, con la excepción de aquellos que sean utilizados para el transporte de bienes de consumo enajenados a personas naturales que los adquirieron a distancia o a través de medios electrónicos o internet, en cuyo caso serán domiciliarios. Por su parte, los envases primarios se clasificarán como domiciliarios o no domiciliarios.
14.- Que, a su vez, el artículo 5 establece que los envases domiciliarios pertenecerán a las siguientes subcategorías, en función de su composición material: (a) cartón para líquidos; (b) metal; (c) papel y cartón; (d) plástico; y, (e) vidrio. Los envases no domiciliarios, por su parte, podrán corresponder únicamente a alguna de las subcategorías señaladas en las letras (b), (c) y (d) anteriores. Por consiguiente, los envases de cartón para líquidos y los envases de vidrio siempre serán considerados domiciliarios.
15.- Que, adicionalmente, la misma disposición establece que los envases compuestos por materiales distintos a los enunciados anteriormente pertenecerán a una subcategoría residual denominada "otros", la que no está sujeta a metas. No obstante, sus productores tienen la obligación de informar lo introducido en el mercado de forma anual a través del Registro de Emisiones y Transferencias de Contaminantes -RETC-, de conformidad con lo establecido en el artículo 10 del DS Nº 12/2020. Lo mismo aplica para los productores que introduzcan en el mercado envases reutilizables.
16.- Que, en este contexto, el párrafo segundo del artículo 2 Nº 5 del DS Nº 12/2020, establece que el Ministerio dictará una resolución que identificará con precisión los productos que constituyen envases, indicando, además, la categoría a la que corresponden, la que se actualizará al menos cada cinco años.
17.- Que, adicionalmente, el DS Nº 12/2020 establece que, previo a la dictación de la referida resolución, el Ministerio publicará en su sitio web una propuesta de resolución, a fin de que cualquier persona pueda presentar sus observaciones y los antecedentes técnicos que las sustentan.
18.- Que, dando cumplimiento a lo anterior, mediante resolución exenta Nº 1.026, de 2021, del Ministerio del Medio Ambiente, se aprobó una propuesta de resolución que identifica los productos que constituyen envases, indicando, además, la categoría a que corresponden, de conformidad con lo dispuesto en el DS Nº 12/2020, la que fue sometida a consulta pública por el plazo de un mes, en el período comprendido entre el 21 de septiembre y el 21 de octubre del año en curso.
19.- Que, considerando el universo de regulados por el DS Nº 12/2020 -el que, según estimaciones de la propia industria, ascendería a más de 100.000 empresas- así como el reducido número de observaciones recibidas en el período de consulta pública antes referenciado, mediante resolución exenta Nº 1.191, de 2021, del Ministerio del Medio Ambiente, se amplió el plazo de consulta pública de propuesta de resolución hasta el día 4 de noviembre de 2021.
20.- Que, durante dicho proceso de consulta pública se recibieron un total de 36 presentaciones, que derivaron en 202 observaciones, las que fueron analizadas por este Ministerio en conjunto con los antecedentes acompañados para sustentarlas, producto de lo cual se incorporaron diversas modificaciones y mejoras a la propuesta de resolución.
21.- Que, en consideración de lo anteriormente expuesto, y dando cumplimiento a lo mandatado por el párrafo segundo del artículo 2 Nº 5 del DS Nº 12/2020, se resuelve lo siguiente.
Resuelvo:
1.- Identificar los productos que constituyen envases, indicando, además, la categoría a la que corresponden, de conformidad con lo dispuesto en el artículo 2 Nº 5 del DS Nº 12/2020:
a) Identificación de los productos que constituyen envases.
a.1) Criterios para determinar si un producto constituye un envase:
De acuerdo con el artículo 2, numeral 5 del DS Nº 12/2020, son envases:
1. Los productos usados para contener, proteger, manipular, facilitar el consumo, almacenar, conservar, transportar, o para mejorar la presentación de las mercancías;
2. Los elementos auxiliares integrados o adosados a los productos enunciados en el numeral 1, cuando cumplen la función de contener, proteger, manipular, facilitar el consumo, almacenar, conservar, transportar, o mejorar la presentación de las mercancías, y
3. Los elementos auxiliares integrados o adosados a los productos enunciados en el numeral 1, cuando cumplen con la función de informar al consumidor.
Cabe destacar que en algunos casos el bien de consumo o mercancía puede estar integrado por varios componentes, que pueden cumplir algunas de las funciones enumeradas anteriormente. No obstante, dado que dichos componentes forman parte integrante del bien de consumo o de la mercancía en cuestión, éstos no constituyen envases. Este es el caso de alimentos que están envueltos en una capa comestible (por ejemplo, la piel de un embutido) o bienes durables que tienen componentes que cumplen la función de contener otros componentes de dicho bien durante toda su vida útil (por ejemplo, la caja de un juego de mesa). Se entenderá como "bien durable" a aquel bien o mercancía que no se consume al utilizarlo.
a.2) Identificación de productos que constituyen envases y de productos que no tienen dicha calidad:
Para efectos de lo dispuesto en el artículo 2 numeral 5 del DS Nº 12/2020, el listado que se indica a continuación identifica con precisión aquellos productos que constituyen envases y los que no tienen dicha calidad, considerando los criterios ya referidos. Sin perjuicio de lo anterior, al ser una lista no exhaustiva, los productos que no estén expresamente señalados en el siguiente listado constituirán envases en la medida que cumplan con la definición de envases señalada en el DS Nº 12/2020, y siempre y cuando no se encuentren expresamente catalogados como "no envases" en la presente resolución.





b) Categoría a la que corresponden los envases.
b.1) Criterios para determinar si los envases corresponden a la categoría de domiciliarios o no domiciliarios:
Se debe aclarar que un envase solo puede pertenecer a una de las dos categorías establecidas en el DS Nº 12/2020, esto es, domiciliarios o no domiciliarios.
En el caso de aquellos envases que en la práctica se convierten en residuos tanto en el ámbito domiciliario como no domiciliario, estos serán categorizados en una de estas dos categorías de acuerdo con lo establecido en la presente resolución.
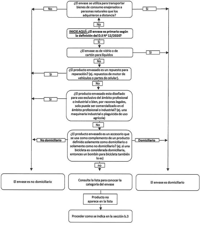
Para efectos de determinar si un envase se encuentra comprendido en la categoría de domiciliario o no domiciliario, se consideran los siguientes criterios:
(i) Los envases secundarios y terciarios siempre pertenecerán a la categoría de envases no domiciliarios, con la excepción de aquellos que sean utilizados para el transporte de bienes de consumo enajenados a personas naturales que los adquirieron a distancia o a través de medios electrónicos o internet, en cuyo caso serán domiciliarios;
(ii) Por su parte, los envases primarios se clasificarán como domiciliarios o no domiciliarios, de conformidad con los criterios establecidos en la presente resolución;
(iii) Asimismo, y de acuerdo con el artículo 5 del DS Nº 12/2020, los envases primarios que pertenezcan a la subcategoría cartón para líquidos y los envases de vidrio siempre serán considerados domiciliarios;
(iv) Considerando que los envases no domiciliarios son aquellos envases que no se generan normalmente en el domicilio de una persona natural, pertenecen a esta categoría los envases de aquellos productos que constituyen repuestos para reparación o se encuentran diseñados para uso exclusivo del ámbito profesional o industrial. Asimismo, se consideran envases no domiciliarios, los envases de aquellas mercancías que, producto de una normativa nacional, solamente pueden ser comercializados para uso profesional o industrial, como ocurre con algunos pesticidas, y
(v) Asimismo, y considerando que el envase de un producto que constituye un complemento o accesorio de otro sigue la suerte del producto al que complementa o accede, estos serán considerados domiciliarios o no domiciliarios dependiendo de la categoría a la que pertenece el envase del producto principal.
(vi) Por su parte, los envases que no puedan ser clasificados en función de los criterios indicados en los literales (i) a (vi) anteriores, serán clasificados según se indica en la sección b.2) de la presente resolución;
(vii) Finalmente, en caso de que la aplicación de los criterios expuestos indique que se debe clasificar un envase de acuerdo con la lista detallada en la sección b.2), pero el producto en cuestión no se encuentre listado en dicha sección, entonces se deberá seguir el procedimiento establecido en la sección b.3).
Con la finalidad de apoyar a los productores en la identificación de si un envase debe ser clasificado bajo la categoría de envases domiciliarios o no domiciliarios, la Figura Nº 1 ilustra la aplicación de los criterios mencionados precedentemente.
Figura Nº 1. Análisis de criterios de las categorías de envases

b.2) Categoría de envases domiciliarios/no domiciliarios, de acuerdo con las características del producto que contienen:
En caso de que no sea posible determinar si un envase es domiciliario o no domiciliario, de conformidad con los criterios expuestos en el literal b.1), a continuación, se establece un listado de productos cuyos envases serán considerados domiciliarios o no domiciliarios, en atención al lugar más probable de su generación como residuo, lo que en algunos casos se determina de acuerdo con el peso u otra característica relevante del producto envasado.
El siguiente catálogo indica, para cada producto listado, si su envase es considerado: (i) domiciliario; (ii) no domiciliario; o bien, (iii) si su pertenencia a una categoría u otra depende de su peso, volumen u otra característica. En este último caso, cuando el producto envasado y/o embalado se encuentre por debajo o sea igual al límite establecido se entenderá que tiene la calidad de domiciliario. En el caso de que un producto se venda agrupado con otros ("pack"), el límite indicado se refiere a las características de cada unidad contenida en el referido pack.












b.3) Categoría de envases domiciliarios/no domiciliarios, en caso de no encontrarse definido en la presente resolución:
En los casos en que un envase no se pueda clasificar según los criterios expuestos en la sección b.1), y que el producto envasado no se encuentre en el listado de la sección b.2), los productores deberán determinar la categoría del envase introducido en el mercado utilizando los criterios establecidos en los numerales 9 y 10 del artículo 2 del DS Nº 12/2020, y siguiendo los criterios detallados en la presente resolución.
En dichos casos, los productores deberán informar a su sistema de gestión que dicho envase no se encuentra especificado en la presente resolución y entregar los antecedentes que respalden su declaración bajo una categoría determinada. A su vez, el sistema de gestión deberá informar dicha circunstancia y los antecedentes respectivos en un anexo del informe final referido en el artículo 18 del DS Nº 12/2020.
2.- Publíquese la presente resolución en el Diario Oficial y en la página web del Ministerio del Medio Ambiente (http://rechile.mma.gob.cl).
Anótese, comuníquese, publíquese y archívese.- Marcelo Fernández Gómez, Subsecretario del Medio Ambiente.