DECLARA MONUMENTO NACIONAL, EN LA CATEGORÍA DE MONUMENTO HISTÓRICO, LA IGLESIA CORPUS DOMINI, PROVINCIA Y COMUNA DE SANTIAGO, REGIÓN METROPOLITANA
Núm. 17.- Valparaíso, 8 de marzo de 2022.
Visto:
Lo dispuesto en los artículos 6, 7, 32 N° 6 y 35 de la Constitución Política de la República, cuyo texto fue refundido, coordinado y sistematizado por el decreto supremo N° 100, de 2005, del Ministerio Secretaría General de la Presidencia de la República; en el decreto con fuerza de ley N° 1/19.653, de 2001, del Ministerio Secretaría General de la Presidencia, que fija el texto refundido, coordinado y sistematizado de la Ley N° 18.575, Orgánica Constitucional de Bases Generales de la Administración del Estado; en la Ley N° 21.045, que crea el Ministerio de las Culturas, las Artes y el Patrimonio; la ley N° 17.288 que legisla sobre Monumentos Nacionales, modifica las leyes N° 16.617 y N° 16.719, deroga el decreto ley N° 651, de 17 de octubre de 1925; en el decreto supremo N° 11, de 2018, que modifica el decreto supremo N° 19, de 2001, ambos del Ministerio Secretaría General de la Presidencia de la República; en las actas de sesiones ordinarias de fechas 27 de diciembre de 2017 y 13 de mayo de 2020, del Consejo de Monumentos Nacionales; en la resolución N° 7, de 2019, de la Contraloría General de la República, y en los antecedentes que obran en el expediente de declaratoria.
Considerando:
1. Que, mediante ingresos CMN N° 6.007 y N° 9.435, de fechas 25 de agosto de 2017 y 27 de diciembre de 2017 respectivamente, se ingresó el requerimiento de declaratoria de Monumento Nacional en la categoría de Monumento Histórico, de la Iglesia Corpus Domini, ubicada en calle Santo Domingo N° 2027, provincia y comuna de Santiago, Región Metropolitana.
2. Que, la Iglesia Corpus Domini es obra del arquitecto Eugenio Joannon Crozier (1860-1938), oriundo de Lyon, Francia. A través de Carlos Antúnez, entonces Embajador de Chile en Francia, es contratado por el gobierno de Chile por un periodo de tres años, junto a los arquitectos Emile Jequier y Emile Doyére y a los ingenieros belgas Gustave Verniory y Jorge Neut, con el fin de cambiar la imagen del país a través de la arquitectura y el urbanismo. En 1889 los profesionales llegan a Chile, en una época de esplendor económico para el país.
3. Que, Eugenio Joannon Crozier se desempeñó, a partir de 1889, en la Dirección de Obras Públicas, desarrollando escuelas, liceos y hospitales; en la Dirección de Obras Municipales de Santiago (1892); en la Facultad de Arquitectura de la Pontificia Universidad Católica de Chile como profesor de construcción (1900) y como arquitecto oficial del Arzobispado de Santiago (1911). Se destacó además por ser socio fundador y vicepresidente de la Sociedad Central de Arquitectos, precursora del Colegio de Arquitectos, y Decano del grupo de Ingenieros Franceses residentes en Chile. También por participar en la fundación de la Escuela de Arquitectura de la Pontificia Universidad Católica de Chile, así como por su innovación en el uso del acero en construcciones comerciales y del hormigón armado.
4. Que, en 1873 se realizó la venta y urbanización de la chacra de doña Mercedes Portales que da origen a la formación del barrio Brasil. Este loteo se consolida con el Plan de Canalización del Estero de Negrete, que pasa a conformar la Avenida Brasil con su Plaza. Posteriormente, en 1884 el Monasterio de la Adoración Perpetua adquirió el predio y en 1896 se iniciaron las obras de la Iglesia Corpus Domini, cuyo término de obra gruesa queda en manos del ingeniero constructor Marcel Duhaut en 1900. La finalización de terminaciones de fachada y decoración se realiza quince años más tarde.
5. Que, la Iglesia Corpus Domini se construyó en homenaje a Jesús Cristo Redentor, en base a donaciones y, según referencias, con el patrimonio recibido por las primeras religiosas. A pesar de su finalidad contemplativa, dado su carácter de claustro, se ubicó en un lugar poblado porque la constitución de la orden sacramentina exige que no sólo ellas deben adorar a Cristo sino dar la posibilidad de que los laicos también lo hagan. Se encuentra inmediata a Avenida Brasil, en un sector de mediana y baja altura, configurándose como un hito para el entorno cercano por su altura y verticalidad, y por su arquitectura con numerosos elementos decorativos y detalles, que le otorgan singularidad respecto de su entorno.
6. Que, el sistema constructivo de la Iglesia Corpus Domini es en base a estructura perimetral rígida en albañilería de ladrillo y estructura central y superior en madera. La nave central está conformada por una estructura de madera bien articulada, rígida y liviana a la vez, lo cual explica la ausencia de arbotantes, contrafuertes propios del estilo gótico. La fachada está compuesta por un cuerpo horizontal coronado por pináculos y una torre que alcanza los 39 metros, cuya composición se acerca al esquema del gótico tardío. El cuerpo horizontal está constituido por dos planos: el nártex, con sus tres accesos y la fachada retranqueada. Cada acceso se configura mediante un arco principal ojival rematado por un gablete. Los accesos laterales se encuentran divididos por una columna de capitel corintio, en dos arcos menores. Enmarcan el acceso principal dos hornacinas de arco ojival con esculturas de San Benito y San Alejo, mendigos adoradores del Santísimo. Sobre el acceso, un espacio entrante configurado por pequeñas columnas y arcos trebolados, rematado por un pequeño y agudo gablete, contiene un crucifijo. Destaca la ornamentación con motivos vegetales.
7. Que, respecto de su espacialidad, la Iglesia Corpus Domini posee una planta basilical de tres naves, una principal y dos laterales, precedidas por un nártex o pórtico exterior. El transepto se encuentra desfasado hacia el oriente y poniente. En el transepto poniente se ubica el coro, cerrado por una reja de fierro forjado, dado el carácter de claustro que rige la orden. En el transepto oriente se ubican la sacristía de las religiosas y la de los sacerdotes. En el crucero se dispone el presbiterio, donde se instala el altar construido en mármol. Rodeando el crucero se dispone de un deambulatorio. El clásico sentido de espacialidad continua del gótico se ve alterado por el cierre de las dos naves laterales hacia el crucero. Tiene 25 vitrales propios del estilo gótico, 4 de ellos diseñados por el francés Félix Gaudín, conocido por su importante fábrica en Francia y sus obras a nivel internacional.
8. Que, como valores que sustentan la solicitud de declaración de la Iglesia Corpus Domini, el Consejo de Monumentos Nacionales reconoce específicamente los siguientes:
. El templo es obra del connotado arquitecto francés Eugenio Joannon Crozier, contratado en 1889 por el Estado de Chile junto a otros arquitectos e ingenieros, en el marco de una serie de contrataciones de profesionales extranjeros iniciada a mitad del siglo XIX. Su obra contribuyó a la construcción de la imagen finisecular del Chile decimonónico, aportando a la construcción de importantes edificios públicos y privados, que destacan por su calidad constructiva y prestancia arquitectónica. Su obra se caracterizó por el uso de elementos arquitectónicos del neogótico y el art decó, conjugados en sistemas constructivos innovadores que dotan a sus inmuebles de un componente estético propio, destacándose de su entorno y constituyéndose en hitos urbanos relevantes de la ciudad.
. Fue la primera iglesia de la Orden de las Adoratrices Perpetuas del Santísimo Sacramento constituida en Chile y Sudamérica, siendo la única que se conserva en el país.
. La iglesia es representativa de la inserción de órdenes de claustro en centros poblados en el siglo XIX, con el objetivo de posibilitar que las labores propias de la vida contemplativa se abrieran a las personas laicas en los contextos de secularización de los estados nacionales en América Latina.
. El inmueble, como obra aislada en altura y con un importante desarrollo ornamental, se constituye como un hito a escala de barrio para el entorno cercano de baja altura, destacando por su calidad estética en un contexto de arquitectura modesta.
. Proyectada en el año 1896, y concluida 19 años después, su estilo neogótico está impregnado del sello personal del arquitecto Eugenio Joannon, quien constantemente incorporaba reminiscencias art decó en sus proyectos.
. Es uno de los pocos ejemplos de arquitectura neogótica de la ciudad de Santiago, en la cual destacan la Basílica del Salvador, la Iglesia del Santísimo Sacramento y la Parroquia Milagroso Niño Jesús de Praga.
. Presenta elementos constructivos mixtos, recurriendo a las posibilidades estructurales de diferentes materialidades dispuestas en distintos elementos y ubicaciones, sin los cuales no es posible alcanzar la volumetría, morfología y estética que lo caracteriza. Ejemplo de esto es el uso del acero en la torre y de la madera en la nave central, permitiendo la ausencia de arbotantes.
9. Que, los atributos que presenta el bien y que se reconocen por el Consejo de Monumentos Nacionales, son los siguientes:
. Presencia, verticalidad y arquitectura de detalles que la configuran como un hito singular que destaca y toma importancia respecto de su entorno.
. Al mismo tiempo, escala urbana acorde al barrio en el cual se inserta.
. Innovador sistema constructivo en base a elementos perimetrales de albañilería de ladrillo y estructura superior en madera, que permite la ausencia de arbotantes, propios del estilo gótico.
. Composición de fachada de carácter simétrico y vertical, con jerarquía axial denotada por la presencia de la torre de 39 metros de altura.
. Elementos arquitectónicos propios del estilo neogótico como arcos ojivales, pináculos alargados, gabletes con ganchillos y arquivoltas.
. Conjunto de elementos ornamentales exteriores e interiores de gran belleza, en sobrerrelieve, con motivos vegetales, construidos en cemento, yeso, hojalata y pizarra.
. 25 vitrales, propios del estilo, algunos realizados por el francés Felix Gaudín.
. El falso triforio constituido por cuatro pequeños arcos trebolados dispuestos sobre columnillas semicirculares.
. Los pavimentos exteriores en baldosas de colores, con motivos naturales e interiores en entablado de madera.
. El cielo construido en entablado de madera con nervaduras cruzadas, decorado con pinturas con estrellas y motivos vegetales en azul, rojo y dorado.
. El coro alto, sostenido por dos medias bóvedas de madera en forma de cáliz o palmetas adosadas al muro.
. El altar de mármol blanco, formado por dos escalinatas que suben hasta el templete, lugar de exposición del Santísimo.
. Las pinturas interiores y exteriores con policromías decorativas.
. La reja interior, en fierro forjado que separa el presbiterio del transepto poniente, lugar de oración de las monjas.
. El órgano, ubicado en el coro, que data de 1920 y fue fabricado en Chile por Oreste Carlini.
10. Que, en sesión ordinaria de fecha 27 de diciembre de 2017 rectificada en sesión ordinaria del 13 de mayo de 2020, el Consejo de Monumentos Nacionales acordó aprobar, por unanimidad, la solicitud de declaración y pedir a la Ministra de las Culturas, las Artes y el Patrimonio la dictación del decreto que declare Monumento Nacional, en la categoría de Monumento Histórico, la Iglesia Corpus Domini, ubicada en calle Santo Domingo N° 2027, provincia y comuna de Santiago, Región Metropolitana.
Decreto:
Artículo primero: Declárase Monumento Nacional, en la categoría de Monumento Histórico, la Iglesia Corpus Domini, ubicada en calle Santo Domingo N° 2027, provincia y comuna de Santiago, Región Metropolitana.
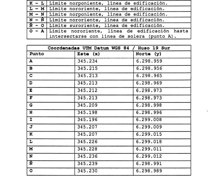
El área protegida abarca una superficie de 1.512 m², como se grafica en el plano de límites oficial (N° 084-2017) que se adjunta y forma parte del presente decreto, y cuyos límites son los siguientes:


Artículo segundo: Archívese oficialmente el plano N° 084-2017 de límites de la Iglesia Corpus Domini, con el fin de dejar constancia indubitada de su contenido y ajustarse al principio de transparencia y publicidad que debe imperar en los procedimientos administrativos de los órganos de la Administración del Estado.
Artículo tercero: Incorpórase el presente decreto al Registro Patrimonial de acceso público, de conformidad a la normativa vigente y lo dispuesto por el artículo 3° N° 30 de la ley 21.045, que crea el Ministerio de las Culturas, las Artes y el Patrimonio.
Artículo cuarto: Incorpórese por la Secretaría Técnica del Consejo de Monumentos Nacionales la presente declaración de Monumento Nacional, en la categoría de Monumento Histórico, de la Iglesia Corpus Domini, en el Registro de Monumentos Nacionales a que se refiere el N° 4 del artículo 30 de la ley N° 21.045.
Artículo quinto: Remítase por la Secretaría Técnica del Consejo de Monumentos Nacionales una copia del presente decreto, una vez totalmente tramitado, al Monasterio de la Adoración Perpetua y la Municipalidad de Santiago.
Artículo sexto: Una vez que este acto administrativo se encuentre totalmente tramitado, publíquese por la Subsecretaría del Patrimonio Cultural, en el sitio electrónico de Gobierno Transparente del Ministerio de las Culturas, las Artes y el Patrimonio, en la categoría "Actos y documentos publicados en el Diario Oficial", en cumplimiento de lo previsto en el artículo 6° del artículo primero de la ley N° 20.285, sobre Acceso a la información pública, y en el artículo 6°, numeral 1° de su reglamento.
Anótese, tómese razón, regístrese, comuníquese y publíquese.- Por orden del Presidente de la República, Consuelo Valdés Chadwick, Ministra de las Culturas, las Artes y el Patrimonio.
Lo que transcribo a usted para su conocimiento.- Saluda atentamente a usted, Andrea Gutiérrez Vásquez, Subsecretaria de las Culturas y las Artes.