RECONOCE DE OFICIO HUMEDAL URBANO LA POZA Y DELTA DEL TRANCURA LAGO VILLARRICA
Núm. 580 exenta.- Santiago, 6 de junio de 2022.
Vistos:
Lo dispuesto en el artículo 70 letra z) de la ley N° 19.300, sobre Bases Generales del Medio Ambiente; en la ley N° 21.202, que modifica diversos cuerpos legales con el objetivo de proteger los Humedales Urbanos; en el decreto supremo N° 15, de 2020, del Ministerio del Medio Ambiente, que establece Reglamento de la ley N° 21.202, que modifica diversos cuerpos legales con el objetivo de proteger los Humedales Urbanos; en la resolución N° 62, de 22 de enero de 2021, de este Ministerio, que Da Inicio al proceso de Declaración de oficio de los Humedales Urbanos que indica; en la resolución exenta N° 789, de 2 de agosto de 2021, que Amplía Plazo para Reconocimiento de oficio de Humedales Urbanos que Indica; en el decreto supremo N° 71, de 2022, del Ministerio del Interior y Seguridad Pública, que nombra Ministros y Ministras de Estado en las carteras que indica; en la resolución exenta N° 328, de 2022, del Ministerio del Medio Ambiente, que Extiende aplicación de las medidas extraordinarias de visación de documentos del Ministerio del Medio Ambiente-Subsecretaría del Medio Ambiente, a raíz de la alerta sanitaria por brote de coronavirus (COVID-19); en el memorándum N° 182/2022, de la División de Recursos Naturales y Biodiversidad; en el memorándum N° 278/2022, de la División de Recursos Naturales y Biodiversidad; en los demás antecedentes que constan en el expediente administrativo; en la resolución N° 7, de 2019, de la Contraloría General de la República, que fija normas sobre exención del trámite de toma de razón, y
Considerando:
1. Que el artículo 1° de la ley N° 21.202 establece que tiene por objeto proteger los Humedales Urbanos declarados por el Ministerio del Medio Ambiente, de oficio o a petición del municipio respectivo, entendiendo por tales todas aquellas extensiones de marismas, pantanos y turberas, o superficies cubiertas de aguas, sean estas de régimen natural o artificial, permanentes o temporales, estancadas o corrientes, dulce, salobres o saladas, incluidas las extensiones de agua marina, cuya profundidad en marea baja no exceda los seis metros y que se encuentren total o parcialmente dentro del límite urbano.
2. Que el procedimiento de declaración de humedales urbanos de oficio se encuentra regulado en el artículo 13 y siguientes del DS N° 15, de 2020, del Ministerio del Medio Ambiente, que establece Reglamento de la ley N° 21.202, que Modifica diversos cuerpos legales con el objetivo de proteger los Humedales Urbanos ("Reglamento").
3. Que, de acuerdo a lo dispuesto en la ley N° 21.202 y en su Reglamento, los requisitos contemplados para la declaración de un Humedal Urbano consisten en que se trate de un humedal y que éste se ubique total o parcialmente dentro del límite urbano. Adicionalmente, para la definición de los límites de cierto Humedal Urbano se deberá verificar la presencia de alguno de los criterios de delimitación contemplados en el artículo 8° del Reglamento.
4. Que, dicho artículo dispone que la delimitación de los humedales deberá considerar al menos uno de los siguientes criterios: (i) presencia de vegetación hidrófita; (ii) presencia de suelos hídricos con mal drenaje o sin drenaje, y/o (iii) régimen hidrológico de saturación ya sea permanente o temporal que genera condiciones de inundación periódica ("criterio régimen hidrológico").
5. Que con la resolución N° 62, de 22 de enero de 2021, que Da Inicio al proceso de Declaración de oficio por el Ministerio del Medio Ambiente de los Humedales Urbanos que Indica ("resolución N° 62"), se inició el primer proceso de declaración de Humedales Urbanos de oficio respecto de los 33 humedales que en dicha resolución se indican. Asimismo, dicha resolución da cuenta de la cartografía propuesta por este Ministerio para cada humedal.
6. Que, para efectos de seleccionar los Humedales Urbanos a ser incluidos en el primer proceso de declaración de oficio por parte del Ministerio del Medio Ambiente, se consideró el cumplimiento de, al menos, alguno de los siguientes criterios: i) Que el ecosistema presente altos niveles de amenaza actual y/o proyectada; ii) Que el ecosistema constituya hábitat para especies de flora y/o fauna clasificadas en categoría de amenaza, para especies endémicas o migratorias, y iii) Que constituyan áreas de relevancia en términos culturales, sociales y turísticos o de provisión de servicios ecosistémicos esenciales a nivel local.
7. Que, según consta en el documento denominado "Ficha Descriptiva de Humedal Urbano a ser Declarado de oficio por el Ministerio del Medio Ambiente" (en adelante, "Ficha Descriptiva"), el humedal La Poza y Delta del Trancura Lago Villarrica fue considerado en el presente proceso de declaratoria de oficio por cuanto es un ecosistema que presenta altos niveles de amenaza por el desarrollo inmobiliario de la zona, y los constantes loteos y subdivisiones con ausencia de red de alcantarillado e intervenciones antrópicas, como drenajes y relleno, y es un ecosistema con presencia de Moscardón (Bombus dahlbomii), especie clasificada "En Peligro"; de las Ranas de hojarasca grande (Eupsophus vertebralis) y Rana chilena (Calyptocephalella gayi), ambas especies clasificadas como "Vulnerable", y con presencia de la Ranita de antifaz (Batrachyla taeniata) y del Sapito cuatro ojos (Pleurodema thaul), especies clasificadas como "Casi Amenazada".
8. Que el humedal La Poza y Delta del Trancura Lago Villarrica, según consta en la "Ficha Descriptiva", es un humedal ribereño y lacustre, ubicado en la comuna de Pucón, Región de La Araucanía, que posee una superficie propuesta aproximada de 1.108,96 hectáreas y que se ubica parcialmente dentro del límite urbano.
9. Que, con la publicación de la resolución N° 62 en el Diario Oficial el 2 de febrero de 2021, comenzó el transcurso del plazo de 15 días hábiles para la recepción de antecedentes contemplado en el artículo 13 del Reglamento. En relación a los antecedentes que puede aportar la ciudadanía, es importante precisar que corresponde a información pertinente aquella relacionada con las circunstancias que habilitan a este Ministerio para declarar determinado humedal como Humedal Urbano según lo establecido en el artículo 1° de la ley N° 21.202, esto es, que corresponda efectivamente a un humedal, su delimitación, y que se encuentre, total o parcialmente, ubicado dentro del límite urbano.
10. Que, según da cuenta la denominada "Ficha Análisis Técnico Declaratoria de Humedal Urbano de oficio por el Ministerio del Medio Ambiente" (en adelante, "Ficha Técnica"), respecto del humedal La Poza y Delta del Trancura Lago Villarrica se recibieron 9 presentaciones de antecedentes adicionales dentro de plazo, de conformidad a lo dispuesto en el artículo 13 del Reglamento.
11. Que, el "Informe de análisis de antecedentes pertinentes para la declaratoria de humedales urbanos de oficio del Ministerio del Medio Ambiente", contiene un análisis del polígono propuesto en relación a las presentaciones de antecedentes señaladas. Al respecto se deja expresa constancia que analizados los antecedentes presentados por María Alejandra Garrido Varela - Sociedad Eltit y Compañía Limitada, se concluye que en el área señalada se verifica la existencia del criterio de régimen hidrológico; analizados los antecedentes presentados por Consuelo Toresano - Agrícola Forestal El Rocío Limitada, se identificó un sector de plantación que será excluido del polígono oficial por no concurrir sobre él ninguno de los criterios de delimitación indicados previamente; analizados los antecedentes presentados por Damián Otoniel Garrido Varela se estima que éstos se refieren a un área que se ubica aproximadamente 18 k fuera del humedal propuesto; analizados los antecedentes presentados por Hugo Frías Ossandón - Familia Calvo Puig, se identifican área que da cuenta del cumplimiento del criterio de vegetación hidrófita y régimen hidrológico. Además, se identifica un sector de plantación que será excluido del polígono oficial por no concurrir sobre él ninguno de los criterios de delimitación indicados previamente; analizados los antecedentes presentados por Hugo Frías Ossandón - Inmobiliaria FG Mañío SpA, se identifica un sector que ha sido rellenado en forma previa al inicio del proceso y que será excluido del polígono oficial; analizados los antecedentes presentados por Hugo Frías Ossandón - Jeanette Ansorena Goycolea, se verifican los criterios de vegetación hidrófita y régimen hidrológico. Además, se identifica un sector de plantación que será excluido del polígono oficial por no concurrir sobre él ninguno de los criterios de delimitación indicados previamente; analizados los antecedentes presentados por Hugo Frías Ossandón - Lorenzo Demaría Lucchini y Sociedad Agrícola Depide Ltda., se verifica el cumplimiento del criterio de vegetación hidrófita en el área; analizados los antecedentes presentados por Inversiones Los Alerce - Christian Figueroa, se verifica en el área la presencia de criterio de régimen hidrológico y; analizados los antecedentes presentados por René Díaz Ramírez, se verifica el criterio de hidrología. Además, respecto de estas presentaciones, como se indicará, es un humedal que se ubica parcialmente dentro del límite urbano, por lo tanto, es susceptible de ser declarado Humedal Urbano al alero de la ley N° 21.202, artículo 1°.
12. Que, para efectos de la delimitación de este Humedal se realizaron los siguientes pasos metodológicos: (i) Trabajo de gabinete; (ii) Trabajo de visita en terreno y (iii) Desarrollo de la cartografía rectificada, de conformidad a lo dispuesto en la "Guía de Delimitación y Caracterización de Humedales Urbanos de Chile" ("Guía de Delimitación"), disponible en https://humedaleschile.mma.gob.cl/legislacion/guias-metodologicas/.
13. Que, según se desprende del análisis técnico contenido en la Ficha Técnica, con la finalidad de verificar el cumplimiento de los criterios de delimitación, se efectuó visita a terreno, un análisis de la información a través de imágenes satelitales disponibles en Google Earth, análisis de antecedentes presentados por terceros y demás antecedentes que constan en el expediente.
14. Que, en virtud de lo anterior, la delimitación del Humedal Urbano La Poza y Delta del Trancura Lago Villarrica debe considerar la verificación de los criterios de delimitación de vegetación hidrófita y un régimen hidrológico, contemplados en el artículo 8° del Reglamento.
15. Que, a partir de lo concluido en trabajo de gabinete y terreno, resulta necesaria la modificación de los límites propuestos para este humedal en la cartografía original a fin de excluir los sectores indicados en el considerando 10, por no concurrir sobre ellos ninguno de los criterios de delimitación indicados previamente. Por lo tanto, producto de la modificación de los límites para este humedal en la cartografía original, el área pasa de 1.108,96 hectáreas a 804,8 hectáreas, dando lugar a la cartografía oficial, en atención a la verificación de los criterios de delimitación de vegetación hidrófita y un régimen hidrológico.
16. Que, se verificó además que el humedal se encuentra emplazado parcialmente dentro del límite urbano de la comuna de Pucón, de acuerdo al Plan Regulador Comunal de dicha comuna.
17. Que, de este modo, el Humedal Urbano La Poza y Delta del Trancura Lago Villarrica, según consta en la Ficha Técnica, corresponde a un humedal ribereño y lacustre, en la comuna de Pucón, Región de La Araucanía, que posee una superficie aproximada de 804,8 hectáreas y que se ubica parcialmente dentro del límite urbano.
18. Que mediante memorándum 467/2021, la División de Recursos Naturales y Biodiversidad solicitó la declaración del Humedal Urbano La Poza y Delta del Trancura Lago Villarrica, considerado en el listado de 33 humedales contenido en la resolución N° 62. Dicho memorándum fue complementado mediante el memorándum 278/2022, de la División de Recursos Naturales y Biodiversidad.
19. Que todos aquellos antecedentes que se han tenido en consideración para la presente declaración se encuentran contenidos en el expediente respectivo, publicado en la página del Ministerio https://humedaleschile.mma.gob.cl/procesos-de-oficio/. Asimismo, en dicho expediente se contiene la cartografía oficial del Humedal Urbano La Poza y Delta del Trancura Lago Villarrica.
Resuelvo:
1° Declárese como Humedal Urbano, para efectos de lo dispuesto en la ley N° 21.202, el humedal denominado La Poza y Delta del Trancura Lago Villarrica, ubicado en la comuna de Pucón, Región de La Araucanía, que posee una superficie aproximada de 804,8 hectáreas.
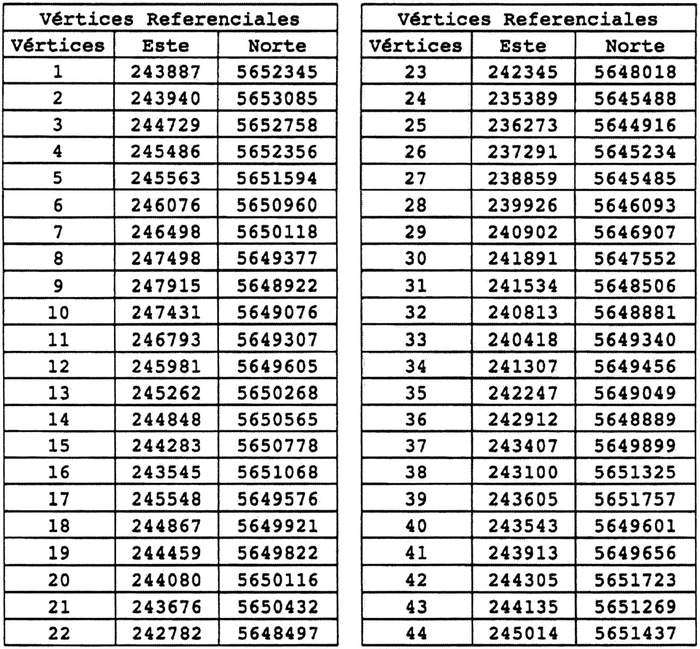
2° Establézcanse los límites del Humedal Urbano La Poza y Delta del Trancura Lago Villarrica, representados en la cartografía oficial, y que se detallan en coordenadas referenciales UTM según Datum WGS 84, huso 19 Sur y son las siguientes:

Para todos los efectos legales, la cartografía oficial, autorizada por el Subsecretario del Medio Ambiente como ministro de fe, forma parte integrante de la presente resolución y puede ser consultada en las dependencias del Ministerio del Medio Ambiente, así como en el siguiente enlace: https://humedaleschile.mma.gob.cl/wp-content/uploads/2022/06/mapa-Trancura-1.pdf.
3° Infórmese que la presente resolución es reclamable ante el Tribunal Ambiental competente de conformidad a lo dispuesto en el artículo 14 del Reglamento, dentro del plazo de 30 días contado desde su publicación en el Diario Oficial.
4° Publíquese la presente resolución en el Diario Oficial y en la página electrónica del Ministerio del Medio Ambiente.
Anótese, comuníquese, publíquese y archívese.- María Heloísa Rojas Corradi, Ministra del Medio Ambiente.
Lo que transcribo para Ud. para los fines que estime pertinentes.- Maximiliano Proaño U., Subsecretario del Medio Ambiente.