DECLARA SANTUARIO DE LA NATURALEZA LAGOS HUILLINCO Y CUCAO
Núm. 24.- Santiago, 17 de junio de 2021.
Vistos:
Lo dispuesto en los artículos 19 N° 8 y 32 N° 6 de la Constitución Política de la República; en los artículos 34, 70 letra b), 71 letra c) y 73 de la ley N° 19.300, sobre Bases Generales del Medio Ambiente; en el artículo 31 de la ley N° 17.288, sobre Monumentos Nacionales; en el decreto supremo N° 1.963, de 1994, del Ministerio de Relaciones Exteriores, que promulga como ley de la República el Convenio sobre la Diversidad Biológica; la carta de solicitud de creación del santuario de la naturaleza denominado Lagos Huillinco y Cucao, de 17 junio de 2020, presentada por la Ilustre Municipalidad de Chonchi; el oficio ordinario N° 4581, de 29 de diciembre de 2020, del Consejo de Monumentos Nacionales; en el Acuerdo N° 4/2021 del Consejo de Ministros para la Sustentabilidad, adoptado el 7 de abril de 2021; en la resolución N° 7, de 2019, de la Contraloría General de la República; y
Considerando:
1. Que es deber del Estado tutelar la preservación de la naturaleza, así como velar por la protección y conservación de la diversidad biológica del país.
2. Que son santuarios de la naturaleza todos aquellos sitios terrestres o marinos que ofrezcan posibilidades especiales para estudios e investigaciones geológicas, paleontológicas, zoológicas, botánicas o de ecología, o que posean formaciones naturales, cuya conservación sea de interés para la ciencia o para el Estado.
3. Que, conforme lo dispone el artículo 71 letra c) de la Ley N° 19.300 sobre Bases Generales del Medio Ambiente, es atribución del Consejo de Ministros para la Sustentabilidad el proponer al Presidente de la República la creación de las Áreas Protegidas del Estado, que incluye parques y reservas marinas, así como santuarios de la naturaleza y áreas marinas costeras protegidas de múltiples usos.
4. Que el área que se propone declarar como santuario de la naturaleza posee una superficie aproximada de 3.030,6 hectáreas y se emplaza en la comuna de Chonchi, provincia de Chiloé, Región de Los Lagos.
5. Que la cuenca de Cucao contiene en su centro a los lagos más grandes del archipiélago de Chiloé, el lago Huillinco y el lago Cucao, con una fuerte influencia marina, proveniente del océano Pacífico, generando aguas salobres, que brindan condiciones particulares de hábitat a un gran número de especies. Ambos humedales están conectados por el estrecho Contento y desembocan a través del río Cucao hacia el océano Pacífico.
6. Que el área propuesta se encuentra integrada por 3 unidades claramente identificables por sus características geográficas y hábitat para aves: (i) zona que conecta el lago Cucao con el río y desemboca al mar, comprendiendo áreas limítrofes de dunas, playas y mallines; (ii) la ribera o margen ripariana de los lagos Huillinco y Cucao; y (iii) los lagos Huillinco, Cucao y laguna Quilque.
7. Que, en términos ecológicos, esta cuenca hidrográfica presenta distintas especies de flora de alto valor natural, como el alerce, el mañío de hojas punzantes, el coihue de Chiloé, el tepú, el avellano y el coigüe. Entre las especies emblemáticas de mamíferos presentes se encuentran el huillín, el coipo, el pudú, el monito del monte, el quique, el zorro de Chiloé y el guiña.
8. Que dentro del área que se propone declarar como santuario de la naturaleza se destaca su diversidad de avifauna con más de 80 especies, de ellas algunas corresponden a subespecies endémicas de la isla Grande de Chiloé como la diuca de Chiloé, el diucón de Chiloé, el concón de Chiloé y el rayadito de Chiloé. Además, en los humedales palustres, vegas y mallines destaca la presencia del becasina, el chorlo chileno, el chorlo nevado, el playero de Baird, el colegial, el bailarín chico, el nuco, la tagua común y el vari. En tanto, en la ribera es posible encontrar especies como el tordo, el jilguero, el cometocino patagónico, el rayadito, el piloto común, el tiuque y el cachudito. Finalmente, hay presencia de aves acuáticas como la huala, el yeco, la garza cuca, la garza grande, la garza chica, el pimpollo, el pato real, el pato jergón chico y el pato jergón grande.
9. Que respecto a los servicios ecosistémicos que brindan estos lagos se encuentran los servicios de abastecimiento, al ser parte de las fuentes de agua dulce y de alimentación de los habitantes aledaños a los cuerpos de agua. Además, es importante resaltar los servicios ecosistémicos de recreación que provee esta zona, especialmente en lo relacionado al turismo de naturaleza y sus diferentes ramas, como el turismo científico, ecoturismo y turismo cultural. La cuenca de Cucao conforma un producto turístico único que cuenta con el parque nacional Chiloé, colindante al área propuesta, como uno de sus principales atractivos, siendo reconocida a nivel provincial por ser la zona que recibe más visitas en la época estival, beneficiando a los habitantes que se dedican directa o indirectamente a este rubro.
10. Que entre los objetos de conservación del área propuesta destacan el sistema hídrico, la flora acuática, el huillín, la avifauna, las formaciones vegetacionales terrestres, la flora y fauna en categoría de conservación y su zona ripariana.
11. Que el plan de manejo del santuario de la naturaleza considerará la construcción de infraestructura en ejecución y actividades de mantención, conservación y reparación de la infraestructura existente o en ejecución.
Asimismo, considerará la ampliación de dicha infraestructura.
12. Que las concesiones de acuicultura otorgadas mediante res. ex. (Subpesca) N° 900, de 25 de agosto de 1988, y res. ex. (SubFFAA) N° 330, de 6 de mayo de 1991; res. ex. (Subpesca) N° 900, de 25 de agosto de 1988, y res. ex. (SubFFAA) N° 331, de 6 de mayo de 1991; res. ex. (Subpesca) N° 900, de 25 de agosto de 1988, y res. ex. (SubFFAA) N° 334, de 6 de mayo de 1991m y res. ex. (Subpesca) N° 1.284, de 7 de julio de 1989, y res. ex. (SubFFAA) N° 454m de 25 de julio de 1992, no forman parte del área propuesta como santuario de la naturaleza, lo que quedará expresamente graficado en la cartografía oficial del área.
13. Que la propuesta se inserta en la Zona de Interés Turístico (ZOIT) "Archipiélago de Chiloé", declarada mediante decreto supremo N° 145, de 12 de agosto de 2019, del Ministerio de Economía, Fomento y Turismo, instrumento que releva la biodiversidad y valor cultural del área propuesta como santuario de la naturaleza.
14. Que la propuesta se inserta dentro del Plan Nacional de Protección de Humedales 2018 - 2022, promovido por el Presidente de la República y aprobado mediante resolución exenta N° 17, de 10 de enero de 2019, del Ministerio del Medio Ambiente.
15. Que el Consejo de Monumentos Nacionales, en sesión ordinaria realizada el 25 de noviembre de 2020, ha emitido su informe previo respecto a la declaración del santuario de la naturaleza Lagos Huillinco y Cucao, de acuerdo a lo establecido en el artículo 31 de la Ley de Monumentos Nacionales.
16. Que, en conformidad con lo establecido en el artículo 71 letra c) de la ley N° 19.300, el Consejo de Ministros para la Sustentabilidad, mediante Acuerdo N° 4, de 12 de enero de 2021, acordó unánimemente proponer a S.E. el Presidente de la República, la creación del santuario de la naturaleza Lagos Huillinco y Cucao.
Decreto:
Artículo 1°. Declara santuario de la naturaleza. Declárese el santuario de la naturaleza Lagos Huillinco y Cucao, que tiene una superficie aproximada de 3.030,6 hectáreas y se emplaza en la comuna de Chonchi, provincia de Chiloé, Región de Los Lagos.
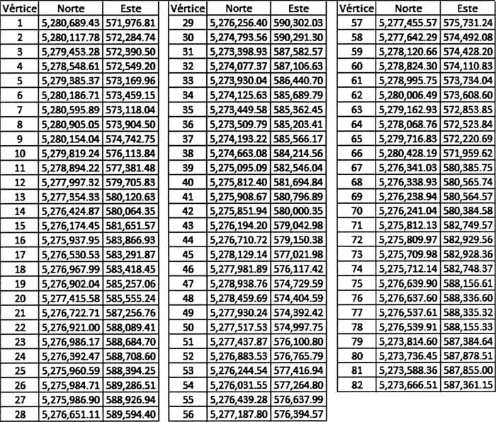
Artículo 2°. Límites y coordenadas. Los límites del santuario de la naturaleza Lagos Huillinco y Cucao, representados en el mapa adjunto, se detallan en coordenadas UTM según Datum WGS 84, huso 18 sur y son las siguientes:

Para todos los efectos legales, dicho mapa, autorizado por el Subsecretario del Medio Ambiente como ministro de fe, forma parte integrante del presente decreto y puede ser consultado en las dependencias del Ministerio del Medio Ambiente, así como en su sitio electrónico.
Artículo 3°. Objetos de Conservación. El santuario de la naturaleza Lagos Huillinco y Cucao tendrá como objetos de conservación los siguientes: el sistema hídrico, la zona ripariana, la flora acuática, el huillín, la avifauna, las formaciones vegetacionales terrestres, la flora y fauna en categoría de conservación.
Artículo 4°. Administración. El santuario de la naturaleza Lagos Huillinco y Cucao quedará bajo la administración de la Ilustre Municipalidad de Chonchi y bajo la supervigilancia y custodia del Ministerio del Medio Ambiente. En este acto se delega en el Subsecretario del Medio Ambiente las modificaciones de la administración del santuario de la naturaleza, para que lo resuelva mediante resolución.
Artículo 5°. Plan de manejo. En un plazo de 24 meses contado desde la publicación del presente decreto, el administrador señalado en el artículo precedente deberá presentar una propuesta de plan de manejo del santuario al Ministerio del Medio Ambiente. Dicho plan contendrá las acciones concretas para hacer efectiva la protección y conservación del área, además de los responsables de su ejecución.
Anótese, tómese razón, y publíquese.- SEBASTIÁN PIÑERA ECHENIQUE, Presidente de la República.- Carolina Schmidt Zaldívar, Ministra del Medio Ambiente.
Lo que transcribo para Ud., para los fines que estime pertinentes.- Maximiliano Proaño U., Subsecretario del Medio Ambiente.