RECONOCE DE OFICIO HUMEDAL URBANO RÍO ELQUI, ALTOVALSOL A DESEMBOCADURA
Núm. 833 exenta.- Santiago, 25 de julio de 2022.
Vistos:
Lo dispuesto en el artículo 70 letra z) de la ley N° 19.300, sobre Bases Generales del Medio Ambiente; en la ley N° 21.202, que Modifica diversos cuerpos legales con el objetivo de proteger los Humedales Urbanos; en el decreto supremo N° 15, de 2020, del Ministerio del Medio Ambiente, que establece Reglamento de la ley N° 21.202, que Modifica diversos cuerpos legales con el objetivo de proteger los Humedales Urbanos; en la resolución N° 960, de 3 de septiembre de 2021, de este Ministerio, que da Inicio a proceso de declaración, de oficio, por el Ministerio del Medio Ambiente, de los Humedales Urbanos que indica; en el decreto supremo N° 71, de 2022, del Ministerio del Interior y Seguridad Pública, que nombra Ministros y Ministras de Estado en las carteras que indica; en la resolución exenta N° 328, de 2022, del Ministerio del Medio Ambiente, que Extiende aplicación de las medidas extraordinarias de visación de documentos del Ministerio del Medio Ambiente-Subsecretaría del Medio Ambiente, a raíz de la alerta sanitaria por brote de coronavirus (COVID-19); en los demás antecedentes que constan en el expediente administrativo; en la resolución N° 7, de 2019, de la Contraloría General de la República, que fija normas sobre exención del trámite de toma de razón, y
Considerando:
1. Que el artículo 1° de la ley N° 21.202 establece que tiene por objeto proteger los Humedales Urbanos declarados por el Ministerio del Medio Ambiente, de oficio o a petición del municipio respectivo, entendiendo por tales todas aquellas extensiones de marismas, pantanos y turberas, o superficies cubiertas de aguas, sean estas de régimen natural o artificial, permanentes o temporales, estancadas o corrientes, dulce, salobres o saladas, incluidas las extensiones de agua marina, cuya profundidad en marea baja no exceda los seis metros y que se encuentren total o parcialmente dentro del límite urbano.
2. Que el procedimiento de declaración de humedales urbanos de oficio se encuentra regulado en el artículo 13 y siguientes del DS N° 15, de 2020, del Ministerio del Medio Ambiente, que establece Reglamento de la ley N° 21.202, que Modifica diversos cuerpos legales con el objetivo de proteger los Humedales Urbanos ("Reglamento").
3. Que, de acuerdo a lo dispuesto en la ley N° 21.202 y en su Reglamento, los requisitos contemplados para la declaración de un Humedal Urbano consisten en que se trate de un humedal y que éste se ubique total o parcialmente dentro del límite urbano. Adicionalmente, para la definición de los límites de cierto Humedal Urbano se deberá verificar la presencia de alguno de los criterios de delimitación contemplados en el artículo 8° del Reglamento.
4. Que, dicho artículo dispone que la delimitación de los humedales deberá considerar al menos uno de los siguientes criterios: (i) presencia de vegetación hidrófita; (ii) presencia de suelos hídricos con mal drenaje o sin drenaje, y/o (iii) régimen hidrológico de saturación ya sea permanente o temporal que genera condiciones de inundación periódica ("criterio régimen hidrológico").
5. Que con la resolución N° 960, de 3 de septiembre de 2021, que Da Inicio al proceso de Declaración, de Oficio por el Ministerio del Medio Ambiente, de los Humedales Urbanos que Indica ("Resolución N° 960"), se inició el segundo proceso de declaración de Humedales Urbanos de oficio respecto de los dos humedales que en dicha resolución se indican. Asimismo, dicha resolución da cuenta de la cartografía propuesta por este Ministerio para cada humedal.
6. Que, para efectos de seleccionar los Humedales Urbanos a ser incluidos en el segundo proceso de declaración de oficio por parte del Ministerio del Medio Ambiente, se consideró el cumplimiento de, al menos, alguno de los siguientes criterios: i) Que el ecosistema presente altos niveles de amenaza actual y/o proyectada; ii) Que el ecosistema constituya hábitat para especies de flora y/o fauna clasificadas en categoría de amenaza, para especies endémicas o migratorias, y iii) Que constituyan áreas de relevancia en términos culturales, sociales y turísticos o de provisión de servicios ecosistémicos esenciales a nivel local.
7. Que, según consta en el documento denominado "Ficha Descriptiva de Humedal Urbano a ser Declarado de Oficio por el Ministerio del Medio Ambiente" ("Ficha Descriptiva"), el humedal Río Elqui, Altovalsol a Desembocadura fue considerado en el presente proceso de declaratoria de oficio por cuanto es un ecosistema que presenta altos niveles de amenaza por rellenos del área producto de la urbanización sobre el humedal y en zonas aledañas. Asimismo, este humedal ha sido utilizado como zona de disposición de escombros y residuos domiciliarios; es un ecosistema de alto endemismo, riqueza y diversidad de especies de fauna vertebrada (161 especies), de las cuales 139 corresponden a especies de aves residentes y migratorias. Además de especies en categoría de conservación como el Pidencito (Laterallus jamaicensis), clasificada como "Casi Amenazada" para la Región de Coquimbo, y el Chorlo nevado (Charadrius nivosus), clasificado "Vulnerable"; y es un ecosistema relevante en términos culturales, sociales y turísticos, ya que provee servicios ecosistémicos culturales relacionadas al desarrollo de actividades de educación ambiental y recreación a la comunidad de ciudad de La Serena, así como prácticas tradicionales asociadas al pueblo Diaguita.
8. Que el humedal Río Elqui, Altovalsol a Desembocadura, según consta en la "Ficha Descriptiva", es un humedal costero, estuarino, ribereño y palustre, ubicado en la comuna de La Serena, Región de Coquimbo, que posee una superficie original propuesta aproximada de 549,2 hectáreas y que se ubica parcialmente dentro del límite urbano.
9. Que, con la publicación de la resolución N° 960 en el Diario Oficial el 9 de septiembre de 2021, comenzó el plazo de 15 días hábiles para la recepción de antecedentes contemplado en el artículo 13 del Reglamento. Se estimó como información pertinente aquella relacionada con las circunstancias que habilitan a este Ministerio para declarar determinado humedal como Humedal Urbano según lo establecido en el artículo 1° de la ley N° 21.202, esto es, que corresponda efectivamente a un humedal, su delimitación, y que se encuentre, total o parcialmente, ubicado dentro del límite urbano.
10. Que, según da cuenta la denominada "Ficha Análisis Técnico Declaratoria de Humedal Urbano de Oficio por el Ministerio del Medio Ambiente" ("Ficha Técnica"), respecto del humedal Río Elqui, Altovalsol a Desembocadura se recibieron 42 presentaciones de antecedentes adicionales dentro de plazo, de conformidad a lo dispuesto en el artículo 13 del Reglamento y 4 presentaciones fuera del plazo indicado. Del total de 46 presentaciones analizadas, se estimó que 29 son pertinentes para el Análisis Técnico de la declaratoria, en cuanto se relacionan con los criterios ya señalados, excluyendo el resto en cuanto los elementos aportados no inciden en el proceso de declaración propiamente tal.
11. Que, el "Informe Técnico Análisis de antecedentes adicionales pertinentes para la declaración de humedales urbanos de oficio del Ministerio del Medio Ambiente", contiene un análisis del polígono propuesto en relación a las presentaciones de antecedentes pertinentes. Además, el documento denominado "Respuesta observaciones realizadas por la I. Municipalidad de La Serena a la propuesta de Humedal Urbano Río Elqui", complementó el análisis realizado respecto de las observaciones formuladas por la Municipalidad. Al respecto se deja expresa constancia que analizados los antecedentes presentados por:
(i) Inmobiliaria Habita S.A., con el propósito de reducir el área a declarar, luego de visita a terreno realizada el día 15 y 17 de marzo del presente, se identificó que parte del área señalada por la inmobiliaria presenta una cobertura de vegetación indicadora de humedal inferior al 50%, por lo que será excluida del polígono oficial;
(ii) Inmobiliaria Cruz del Molino S.A., con el propósito de reducir el área a declarar, luego de visita a terreno realizada el día 15 de marzo del presente, se identificó que parte del área señalada por la inmobiliaria presenta una cobertura de vegetación indicadora de humedal inferior al 50%, por lo que será excluida del polígono oficial;
(iii) Inmobiliaria Isiete S.A., con el propósito de reducir el área a declarar, luego de visita a terreno realizada el día 17 de marzo del presente, se identificó que parte del área señalada por la inmobiliaria presenta una cobertura de vegetación indicadora de humedal inferior al 50%, principalmente por la presencia de rellenos, por lo que será excluida del polígono oficial;
(iv) Inmobiliaria Noval S.A y Constructora Noval Limitada, con el propósito de reducir el área a declarar, luego de visita a terreno realizada el día 17 de marzo del presente, se identificó que parte del área señalada por la inmobiliaria presenta una cobertura de vegetación indicadora de humedal inferior al 50%, principalmente por la presencia de un pretil de tierra para la contención de crecidas existente previo al inicio del proceso, por lo que será excluida del polígono oficial;
(v) Inmobiliaria Lagunas del Mar S.A., con el propósito de reducir el área a declarar, luego de visita a terreno realizada el día 18 de marzo del presente, se identificó que parte del área señalada por la inmobiliaria presenta una cobertura de vegetación indicadora de humedal inferior al 50%, dado que correspondía principalmente a áreas de dunas, por lo que será excluida del polígono oficial;
(vi) Inmobiliaria Monte Aconcagua S.A., con el propósito de reducir el área a declarar, luego de visita a terreno realizada el día 17 de marzo del presente, se identificó que el área señalada se encuentra intervenida por la construcción de infraestructura inmobiliaria, previa al inicio del proceso, por lo que será excluida del polígono oficial;
(vii) Consorcio Inmobiliario Ecomac S.A. y Gestión y Desarrollo S.A., con el propósito de reducir el área a declarar, luego de visita a terreno realizada el día 25 de marzo del presente, se identificó que parte del área señalada por el consorcio presenta una cobertura de vegetación indicadora de humedal inferior al 50%, principalmente por la presencia de rellenos y edificaciones, por lo que será excluida del polígono oficial;
(viii) Inmobiliaria Nuevos Proyectos SpA, con el propósito de reducir el área a declarar, luego de visita a terreno realizada el día 17 de marzo del presente, se identificó que parte del área señalada por la inmobiliaria presenta una cobertura de vegetación indicadora de humedal inferior al 50%, principalmente por la presencia de un pretil de tierra para la contención de crecidas, existente previo al inicio del proceso, por lo que será excluida del polígono oficial;
(ix) CEAZA, con el propósito de incluir dentro de la declaración la zona litoral que indica, que se compone por playas, dunas y zona intermareal, luego de su análisis, se informa que la Ley N° 21.202 circunscribe la declaración de Humedal Urbano a aquellos ecosistemas que sean de humedal, por lo tanto, no procede incorporar dentro de la declaratoria aquellas áreas de playa y dunas solicitadas, ni zonas de amortiguación. Concluye que no corresponde incorporar a la declaración las áreas señaladas en tanto, ni la Ley N° 21.202 ni su Reglamento, contemplan áreas de amortiguación ni la declaración puede recaer sobre ecosistemas distintos al de humedal, como es el caso de zonas de dunas.
(x) Inmobiliaria Vivienda 200 SpA, con el propósito de reducir el área a declarar, luego de visita a terreno realizada el día 6 de abril del presente, permite verificar que el área señalada por la inmobiliaria presenta una cobertura vegetacional indicadora de humedal superior al 50%, principalmente de Tessaria absinthioides, por lo que será incluida dentro del polígono oficial;
(xi) Francisco Díaz Santibáñez, con el propósito de incluir dentro de la declaración toda la porción de playa, incluyendo franja intermareal y submareal somera, luego de su análisis, se indica que la propuesta del Ministerio abarca desde la línea de alta marea hacia el espejo de agua en la desembocadura, en el sector donde históricamente se rompe la barra y el cauce del río Elqui aguas arriba. La zona intermareal y submareal colindante no forma parte de la propuesta del Ministerio publicada mediante resolución N° 960 a modo dado que corresponde a un distinto, por lo que será excluido del polígono oficial;
(xii) ONG Redaves, con el propósito de incluir dentro de la declaración el área intermareal, la zona de playa, las dunas, la barrera de arena, y las denominadas "islas" que quedan dentro del polígono propuesto, además de un área de 100 metros para reconocer el cauce original del río Elqui, luego de su análisis se concluye que no corresponde incorporar a la declaración las áreas señaladas en tanto, ni la Ley N° 21.202 ni su Reglamento, contemplan áreas de amortiguación ni la declaración puede recaer sobre ecosistemas distintos al de humedal, como es el caso de zonas de dunas, o zonas altamente antropizadas como canchas de fútbol, áreas rellenadas o de extracción de material. Luego, la zona intermareal y submareal colindante no forma parte del estudio "Delimitación y caracterización de usos del Humedal Desembocadura del Río Elqui y sus subcuecas Aportante, Región de Coquimbo" del proyecto GEF Humedales Costeros.
(xiii) I. Municipalidad de La Serena, con el propósito de hacer presente al Ministerio ciertas consideraciones para la definición del polígono oficial, luego de visita a terreno realizada los días 25 y 29 de marzo, 6 de abril y 10 de mayo del presente, se identificó que parte del área señalada por la Municipalidad presenta una cobertura de vegetación indicadora de humedal inferior al 50%, por lo que será excluida del polígono oficial. Además, se excluyeron otros sectores que no cumplen con ninguno de los criterios de delimitación, en tanto son áreas altamente intervenidas por la extracción de áridos;
(xiv) Dirección Regional de Aguas, Región de Coquimbo, con el propósito de informar sobre la construcción de una estación en el río Elqui, luego de visita a terreno realizada el 17 de marzo de 2022 se observa la existencia de la infraestructura, sin embargo, esta zona corresponde a humedal dado el cumplimiento del criterio hidrología dado que se encuentra en la caja inundable del río según periodo de retorno de 5 años;
(xv) ONG Ecoterra, con el propósito de incorporar a la declaratoria un sector de playa de arena y dunas, luego de su análisis se concluye que no corresponde incorporar a la declaración las áreas señaladas en tanto, ni la ley N° 21.202 ni su Reglamento, contemplan que la declaración pueda recaer sobre ecosistemas distintos al de humedal, como es el caso de zonas de dunas y de playa de arena.
12. Que, en atención a lo señalado en el considerando 9°, las presentaciones formuladas por Ismael Mena Javier Sayago, luego de ser ponderadas, fueron estimadas finalmente como no pertinentes.
13. Que para efectos de la delimitación de este Humedal se realizaron los siguientes pasos metodológicos: (i) Trabajo de gabinete; (ii) Trabajo de visita en terreno y (iii) Desarrollo de la cartografía rectificada, de conformidad a lo dispuesto en la "Guía de Delimitación y Caracterización de Humedales Urbanos de Chile" ("Guía de Delimitación"), disponible en
https://humedaleschile.mma.gob.cl/legislacion/guias-metodologicas/.
12. Que, según se desprende del análisis técnico contenido en la Ficha Técnica, con la finalidad de verificar el cumplimiento de los criterios de delimitación, se efectuaron múltiples visitas a terreno, un análisis de la información a través de imágenes satelitales disponibles en Google Earth pro en series temporales de 5 años, análisis de antecedentes presentados por terceros y demás antecedentes que constan en el expediente.
14. Que, en virtud de lo anterior, la delimitación del Humedal Urbano Río Elqui, Altovalsol a Desembocadura debe considerar la verificación de los criterios de delimitación de presencia de vegetación hidrófita; presencia de suelos hídricos con mal drenaje o sin drenaje, y régimen hidrológico, contemplados en el artículo 8° del Reglamento.
15. Que, a partir de lo concluido en trabajo de gabinete y terreno, se estimó necesaria la modificación de los límites propuestos para este humedal en la cartografía original, pasando de 549,2 hectáreas a 492,8 hectáreas, dando lugar a la cartografía oficial, en atención a la verificación de los criterios de delimitación de vegetación hidrófita, presencia de suelos hídricos con mal drenaje o sin drenaje y un régimen hidrológico.
16. Que, se verificó además que el humedal se encuentra emplazado parcialmente dentro del límite urbano de la comuna de la Serena, de acuerdo al Plan Regulador Comunal de dicha comuna.
17. Que, de este modo, el Humedal Urbano Río Elqui, Altovalsol a Desembocadura, según consta en la Ficha Técnica, corresponde a un humedal estuarino, ribereño, palustre, permanete, en la comuna de La Serena, Región de Coquimbo, que posee una superficie aproximada de 492,8 hectáreas y que se ubica parcialmente dentro del límite urbano.
18. Que todos aquellos antecedentes que se han tenido en consideración para la presente declaración se encuentran contenidos en el expediente respectivo, publicado en la página del Ministerio https://humedaleschile.mma.gob.cl/procesos-de-oficio/. Asimismo, en dicho expediente se contiene la cartografía oficial del Humedal Urbano Río Elqui, Altovalsol a Desembocadura.
Resuelvo:
1° Declárese como Humedal Urbano, para efectos de lo dispuesto en la ley N° 21.202, el humedal denominado Río Elqui, Altovalsol a Desembocadura, ubicado parcialmente en la comuna de La Serena, Región de Coquimbo, que posee una superficie aproximada de 492,8 hectáreas.
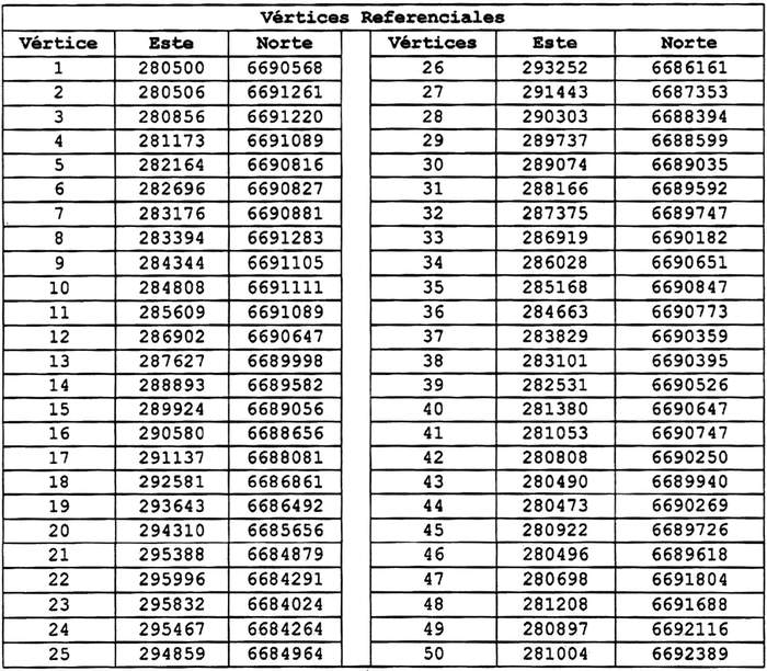
2° Establézcase los límites del Humedal Urbano Río Elqui, Altovalsol a Desembocadura, representados en la cartografía oficial, y que se detallan en coordenadas referenciales UTM según Datum WGS 84, huso 19 sur y son las siguientes:

Para todos los efectos legales, la cartografía oficial, autorizada por el Subsecretario del Medio Ambiente como ministro de fe, forma parte integrante de la presente resolución y puede ser consultada en las dependencias del Ministerio del Medio Ambiente, así como en el siguiente enlace https://humedaleschile.mma.gob.cl/wp-content/uploads/2022/07/HU_Elqui_firmado_por_DMV.pdf
3° Infórmese que la presente resolución es reclamable ante el Tribunal Ambiental competente de conformidad a lo dispuesto en el artículo 14 del Reglamento, dentro del plazo de 30 días contado desde su publicación en el Diario Oficial.
4° Publíquese la presente resolución en el Diario Oficial y en la página electrónica del Ministerio del Medio Ambiente.
Anótese, comuníquese, publíquese y archívese.- María Heloísa Rojas Corradi, Ministra del Medio Ambiente.
Lo que transcribo para Ud. para los fines que estime pertinentes.- Maximiliano Proaño U., Subsecretario del Medio Ambiente.