1. Modifícase la resolución exenta Nº 148 (V. y U.), de 2022 y su modificación, en el sentido de reemplazar la tabla inserta en su resuelvo 2. por la siguiente:

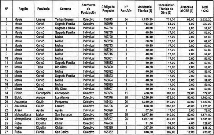
2. Apruébase la siguiente nómina de proyectos seleccionados para el otorgamiento de subsidios del Programa Habitacional Fondo Solidario de Elección de Vivienda, con su respectivo financiamiento total, incluyendo los servicios de asistencia técnica y fiscalización técnica de obras, correspondientes a 27 proyectos en la modalidad de Construcción en Sitio Propio, 11 de ellos postulados de manera colectiva en las regiones de Maule, Biobío, Araucanía, Metropolitana y Ñuble, y 16 proyectos postulados de manera individual en las regiones de Maule y Aysén; correspondientes al proceso de selección cuyo cierre de postulación se efectuó el día 5 de mayo de 2022, en el llamado efectuado por resolución exenta Nº 148 (V. y U.), de 2022:
CONSTRUCCIÓN EN SITIO PROPIO

El detalle de los recursos comprometidos por concepto de subsidio base y subsidios complementarios para cada uno de los proyectos seleccionados en el presente resuelvo y que por este acto se asignan, se informa en la nómina que se adjunta como anexo y forma parte integrante de la presente resolución.
3. El monto del subsidio asignado de conformidad con el cuadro del resuelvo 2 de esta resolución comprende los siguientes montos por concepto de Servicios de Asistencia Técnica, de Labores de Fiscalización Técnica de Obra y pago de Aranceles al Conservador de Bienes Raíces:
CONSTRUCCIÓN EN SITIO PROPIO

Dichos montos fueron calculados conforme a la resolución exenta Nº 1.875 (V. y U.), de 2015, mencionada en el visto d) de la presente resolución:
i. En el caso de los Servicios de Asistencia Técnica, los montos a pagar se determinan de acuerdo al número de familias que se benefician por esta resolución, conforme a lo establecido en el artículo 3, número 2 de la resolución exenta Nº 1.875 ya citada. En dicho monto, en los casos que correspondía, se incluyó el incremento relativo al área de "Elaboración de proyectos técnicos y contratación de obras", que se señala en el resuelvo 7.1 de la resolución exenta Nº 148 (V. y U.), de 2022. Junto a ello, el monto total incluye los incrementos por concepto de Habilitación, Territorios Especiales y Localidades Aisladas, Discapacidad y Movilidad Reducida que determina la resolución exenta Nº 1.875 (V. y U.), de 2015. En el caso de aquellos proyectos que se acogieron a lo establecido en el resuelvo 9.1 de la resolución exenta Nº 148 (V. y U.), de 2022, si bien les fue otorgado el monto de asistencia técnica correspondiente, de acuerdo a lo señalado precedentemente, para el pago de los servicios, el Serviu deberá haber otorgado la calificación definitiva del o los proyectos.
Mediante resolución del Director del Serviu respectivo, se determinarán los montos definitivos de Asistencia Técnica, cuando corresponda otorgar los incrementos que la resolución exenta Nº 1.875 (V. y U.), de 2015, establece en las letras g.1), g.2), j) y k) del número 3 de su artículo 3º.
ii. Los montos a pagar por la Fiscalización Técnica de Obras se determinan de acuerdo a la totalidad de viviendas del proyecto, según el mecanismo expresado en el artículo 4º, número 17, de la resolución exenta Nº 1.875, ya citada.
4. Los recursos comprometidos en los resuelvos 2 y 3 de la presente resolución, para los proyectos seleccionados en el concurso que se llamó por resolución exenta Nº 148 (V. y U.), de 2022, cuyo cierre de postulación se efectuó el día 5 de mayo de 2022, se resumen en el siguiente cuadro para cada región del país, incluyendo la suma total de familias beneficiadas y Unidades de Fomento comprometidas, considerando los montos de subsidio de los proyectos, incluidos sus respectivos servicios de asistencia técnica y fiscalización técnica de obras, según alternativa de postulación:
ALTERNATIVA COLECTIVA

ALTERNATIVA INDIVIDUAL
