DECLARA SANTUARIO DE LA NATURALEZA HUMEDAL COSTERO Y LAGUNA QUILO
Núm. 21.- Santiago, 17 de junio de 2021.
Vistos:
Lo dispuesto en los artículos 19 N° 8 y 32 N° 6 de la Constitución Política de la República; en los artículos 34, 70 letra b), 71 letra c) y 73 de la ley N° 19.300, sobre Bases Generales del Medio Ambiente; en el artículo 31 de la ley N° 17.288, sobre Monumentos Nacionales; en el decreto supremo N° 1.963, de 1994, del Ministerio de Relaciones Exteriores, que promulga como Ley de la República el Convenio sobre la Diversidad Biológica; en la carta de solicitud de creación del santuario de la naturaleza denominado Humedal Costero y Laguna Quilo, de 5 de junio de 2020, presentada por el Centro de Estudio y Conservación del Patrimonio Natural (CECPAN); el oficio ordinario N° 4579, de 29 de diciembre de 2020, del Consejo de Monumentos Nacionales; en el acuerdo N° 1/2021, del Consejo de Ministros para la Sustentabilidad, adoptado el 12 de enero de 2021; en la resolución N° 7, de 2019, de la Contraloría General de la República, y
Considerando:
1. Que es deber del Estado tutelar la preservación de la naturaleza, así como velar por la protección y conservación de la diversidad biológica del país.
2. Que son santuarios de la naturaleza todos aquellos sitios terrestres o marinos que ofrezcan posibilidades especiales para estudios e investigaciones geológicas, paleontológicas, zoológicas, botánicas o de ecología, o que posean formaciones naturales, cuya conservación sea de interés para la ciencia o para el Estado.
3. Que, conforme lo dispone el artículo 71 letra c) de la ley N° 19.300 sobre Bases Generales del Medio Ambiente, es atribución del Consejo de Ministros para la Sustentabilidad el proponer al Presidente de la República la creación de las Áreas Protegidas del Estado, que incluye parques y reservas marinas, así como santuarios de la naturaleza y áreas marinas costeras protegidas de múltiples usos.
4. Que el área que se propone declarar como santuario de la naturaleza posee una superficie aproximada de 282 hectáreas y se encuentra emplazada en la comuna de Ancud, provincia de Chiloé, Región de Los Lagos.
5. Que el área propuesta corresponde a parte de la red hídrica de la cuenca de Quilo y considera los cursos y cuerpos de agua fundamentales para la mantención del ciclo hidrológico de la cuenca, incluyendo humedales continentales y costeros. Este sistema de humedales comprende tanto la denominada laguna Quilo, el río homónimo en su recorrido hasta la desembocadura, esteros y tributarios, como también las zonas aledañas de marismas y mallines, además de la extensión de playas de grava, arena, y planicies intermareales.
6. Que el área propuesta se destaca por poseer influencia marina, lo que le otorga condiciones ecológicas particulares que la convierten en una zona de transición para la sobrevivencia de una gran diversidad de especies, dentro de las que dominan principalmente las aves acuáticas y otras asociadas a estos sistemas de humedales costeros y palustres. Por esta razón, el área ha sido reconocida como un área de gran importancia para las aves migratorias siendo declarada como Área Importante para la Conservación de las Aves (IBA). Además, fue considerada dentro del Programa para la Conservación de las Aves Playeras del Pacífico (2018) y en el Programa de Conservación de Aves Migratorias de Chiloé (2010-2018). Este es uno de los diez humedales costeros más importantes para las aves migratorias de Chile.
7. Que en relación a la flora y vegetación presentes en el área son dominantes el coihue de Chiloé y mañío de hojas punzantes, así como también son frecuentes el canelo, mañío de hojas cortas, luma, tineo, tepú, taique, sauco del diablo y quila, y entre las especies herbáceas se encuentra el coralito y especies epífitas frecuentes son la botellita y estrellita. A su vez, una de las formaciones vegetacionales características de la Laguna Quilo, y que generalmente corresponden a humedales poco valorados en su función ecosistémica, son las denominadas marismas.
8. Que respecto de la fauna vertebrada presente en el área, se pueden distinguir 113 especies, de las que 102 corresponden a aves, 5 mamíferos, 1 anfibio, 2 reptiles y 3 peces. Destacamos aquellas en categoría de amenaza como el playero ártico, el cisne de cuello negro, el flamenco chileno, el pudú, el zorro chilote, el guiña, el pejey y el puye.
9. Que respecto a los valores productivos asociados destaca la riqueza de especies de interés para la comunidad, especies bentónicas y peces, que se extraen principalmente para autoconsumo de familias aledañas al humedal y para la comercialización a pequeña escala.
10. Que entre los objetos de conservación del área propuesta destacan el humedal costero estuarino, los humedales interiores de hualves, mallines y marismas, los servicios ecosistémicos de provisión de agua, hábitats y alimentos, y las prácticas de pesca artesanal, cultivo y recolección de algas, recolección de orilla y pesca de pejerrey.
11. Que se entenderán plenamente compatibles con los objetos de conservación antes indicados la actividad pesquera artesanal, y la acuicultura tradicional de especies hidrobiológicas, salvo aquellas que se declaren como amenazas en el plan de manejo del área. Dichas actividades podrán desarrollarse con la factibilidad operativa requerida para ello.
12. Que el plan de manejo será elaborado con la participación de los órganos de la Administración del Estado con competencia sobre los usos y actividades desarrollados en el área, quienes además deberán emitir un informe relativo a los efectos de las acciones establecidas en el plan de manejo sobre dichos usos y actividades.
13. Que en caso que el plan de manejo del área contemple acciones recaídas en especies hidrobiológicas sometidas a medidas de administración, conservación y/o de regulación, conforme a la Ley General de Pesca y Acuicultura, o en actividades asociadas a dicha ley, éstas acciones deberán ser compatibles con dichas medidas. En caso de que estas medidas no sean compatibles con las acciones del plan de manejo del área, el Ministerio del Medio Ambiente deberá trabajar conjuntamente con la Subsecretaría de Pesca y Acuicultura, a fin de conciliar estos aspectos y adecuar dichas medidas.
14. Que el plan de manejo del santuario de la naturaleza considerará la construcción de infraestructura en ejecución y actividades de mantención, conservación y reparación de la infraestructura existente o en ejecución. Asimismo, considerará la ampliación de dicha infraestructura.
Las actividades descritas deberán ser compatibles con los objetos de conservación del área y cumplir con la normativa vigente.
15. Que el proyecto denominado "Parque Eólico Chiloé" calificado favorablemente mediante Resolución de Calificación Ambiental N° 550, de 28 de septiembre de 2015, no forma parte del polígono del santuario de la naturaleza Humedal Costero y Laguna Quilo.
16. Que la propuesta se inserta en la Zona de Interés Turístico (ZOIT) "Archipiélago de Chiloé", declarada mediante decreto supremo N° 145, de 12 de agosto de 2019, del Ministerio de Economía, Fomento y Turismo, instrumento que releva la biodiversidad y valor cultural del área propuesta como santuario de la naturaleza.
17. Que la propuesta se inserta dentro del Plan Nacional de Protección de Humedales 2018 - 2022, promovido por el Presidente de la República y aprobado mediante resolución exenta N° 17, de 10 de enero de 2019, del Ministerio del Medio Ambiente.
18. Que el Consejo de Monumentos Nacionales, en sesión ordinaria realizada el 14 de octubre de 2020, ha emitido su informe previo respecto a la declaración del santuario de la naturaleza Humedal Costero y Laguna Quilo, de acuerdo a lo establecido en el artículo 31 de la Ley de Monumentos Nacionales.
19. Que, en conformidad con lo establecido en el artículo 71 letra c) de la ley N° 19.300, el Consejo de Ministros para la Sustentabilidad, mediante Acuerdo N° 1, de 12 de enero de 2021, acordó unánimemente proponer a S.E. el Presidente de la República, la creación del santuario de la naturaleza Humedal Costero y Laguna Quilo.
Decreto:
Artículo 1°. Declara santuario de la naturaleza. Declárese el santuario de la naturaleza Humedal Costero y Laguna Quilo, que posee una superficie aproximada de 282 hectáreas y se encuentra emplazado en la comuna de Ancud, provincia de Chiloé, Región de Los Lagos.
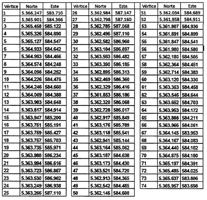
Artículo 2°. Límites y coordenadas. Los límites del santuario de la naturaleza Humedal Costero y Laguna Quilo, representados en el mapa adjunto, se detallan en coordenadas UTM según Datun WGS 84, huso 18 sur y son las siguientes:

Para todos los efectos legales, dicho mapa, autorizado por el Subsecretario del Medio Ambiente como Ministro de Fe, forma parte integrante del presente decreto y puede ser consultado en las dependencias del Ministerio del Medio Ambiente, así como en su sitio electrónico.
Artículo 3°. Objetos de Conservación. El santuario de la naturaleza Humedal Costero y Laguna Quilo tendrá como objetos de conservación los siguientes: el humedal costero estuarino, los humedales interiores de hualves, mallines y marismas, los servicios ecosistémicos de provisión de agua, hábitats y alimentos, y las prácticas de pesca artesanal de cultivo y recolección de algas, recolección de orilla y pesca de pejerrey.
Artículo 4°. Administración. El santuario de la naturaleza Humedal Costero y Laguna Quilo quedará bajo la administración del Centro de Estudio y Conservación del Patrimonio Natural (CECPAN), y bajo la supervigilancia y custodia del Ministerio del Medio Ambiente. En este acto se delega en el Subsecretario del Medio Ambiente las modificaciones de la administración del santuario de la naturaleza, para que lo resuelva mediante resolución.
Artículo 5°. Plan de manejo. En un plazo de 24 meses contado desde la publicación del presente decreto, el administrador señalado en el artículo precedente deberá presentar una propuesta de plan de manejo del santuario al Ministerio del Medio Ambiente. Dicho plan contendrá las acciones concretas para hacer efectiva la protección y conservación del área, además de los responsables de su ejecución.
Anótese, tómese razón y publíquese.- SEBASTIÁN PIÑERA ECHENIQUE, Presidente de la República.- Carolina Schmidt Zaldívar, Ministra del Medio Ambiente.
Lo que transcribo para Ud. para los fines que estime pertinentes.- Maximiliano Proaño U., Subsecretario del Medio Ambiente.