OTORGA CONCESIÓN DE SERVICIO PÚBLICO DE TRANSMISIÓN DE DATOS A LA SOCIEDAD WI-PLUS S.p.A.
Santiago, 2 de junio de 2022.- Con esta fecha se ha decretado lo que sigue:
Núm. 155.
Vistos:
a) El decreto ley Nº1.762 de 1977, que creó la Subsecretaría de Telecomunicaciones, en adelante la Subsecretaría.
b) La Ley Nº18.168, General de Telecomunicaciones, en adelante la ley.
c) La resolución N°7 de 2019, de la Contraloría General de la República, que Fija Normas sobre Exención del Trámite de Toma de Razón.
d) El decreto supremo Nº103 de 2008, del Ministerio de Transportes y Telecomunicaciones.
Considerando:
a) Lo solicitado por la interesada mediante ingreso Subtel N°149.643 de 03.07.2020, complementado mediante ingreso N°32.316 de 23.02.2021.
b) Que no se presentaron oposiciones a la publicación en extracto de la solicitud de concesión.
Decreto:
Otórgase una concesión de Servicio Público de Transmisión de Datos, a la empresa Wi-Plus S.p.A., RUT Nº 76.440.437-8, con domicilio en Santuario Poniente N°19237, comuna San José de Maipo, Región Metropolitana de Santiago, en adelante la concesionaria, en el sentido que se indica en los numerandos siguientes.
1. Autorízase a la concesionaria para instalar, operar y explotar dos (2) enlaces punto a punto de fibra óptica, según se indica a continuación:

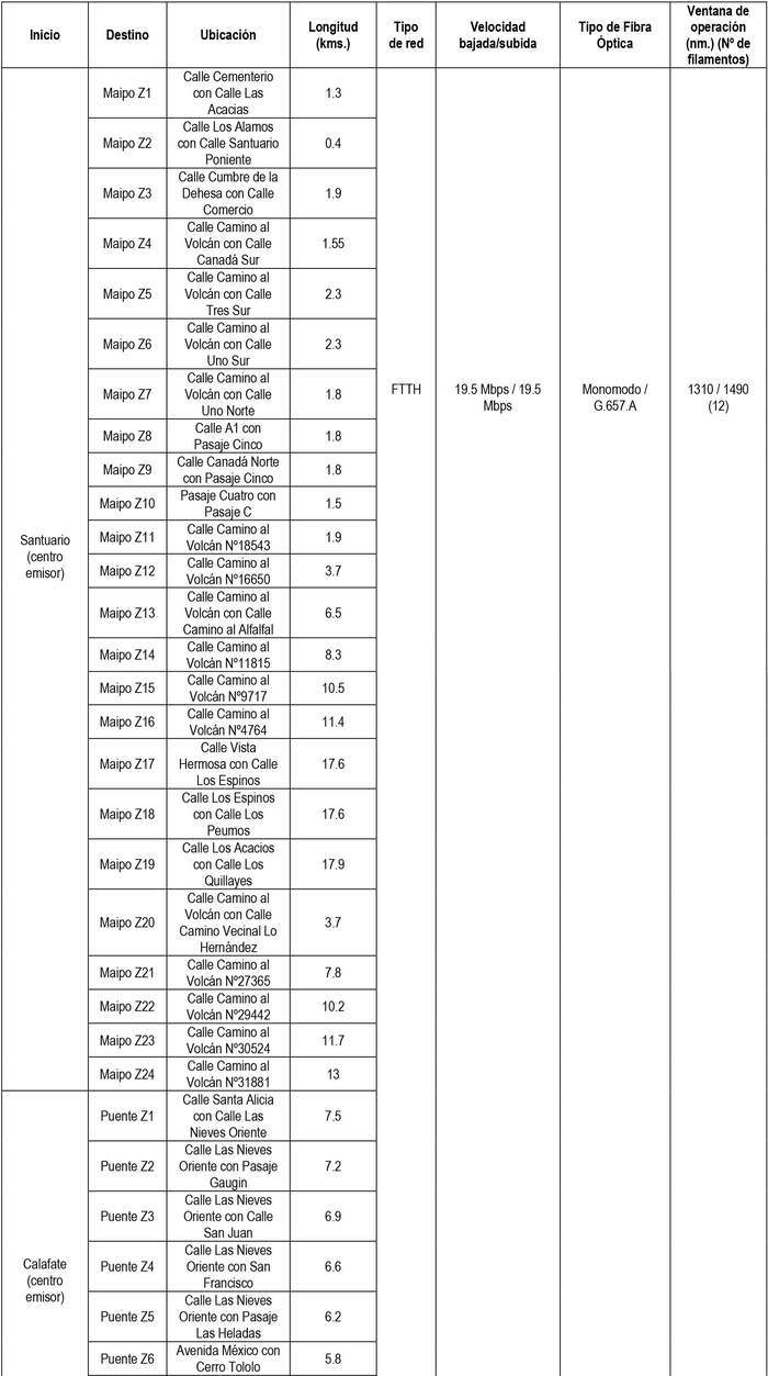
2. Autorízase a la concesionaria para instalar, operar y explotar un sistema FTTH, como se indica a continuación:



3. Ubicación de las instalaciones:

La red de fibra óptica (FTTH) se extenderá por avenidas y calles de las comunas de Puente Alto y de San José de Maipo, Región Metropolitana de Santiago. En lugares específicos, se instalarán cierres de empalme de fibra óptica (también llamados Mufas) y splitter ópticos para llegar a cajas terminales (NAP), lo más cercano posible a los domicilios de los abonados mediante la tecnología de tipo EPON.
Los medios de transmisión y/o conmutación serán propios o de terceros debidamente autorizados.
La Zona de Servicio comprende las comunas de Puente Alto y de San José de Maipo, en la Región Metropolitana de Santiago.
4. Los plazos para el inicio y término de obras e inicio de servicio, son los que se indican a continuación:

5. El período de vigencia de la presente concesión será de 30 años, contados desde la publicación en el Diario Oficial del decreto que autorice la concesión solicitada.
6. Apruébase el proyecto técnico base de la solicitud presentada por la concesionaria, en lo relacionado con los sistemas y equipos de telecomunicaciones autorizados en el presente decreto, conforme a las disposiciones técnico-legales que rigen el servicio de telecomunicaciones concedido. La documentación respectiva quedará archivada en la Subsecretaría de Telecomunicaciones.
7. Es obligación de la concesionaria el conocimiento y cumplimiento de las disposiciones legales, reglamentarias y técnicas que las telecomunicaciones, regulan en lo que le sean aplicables.
Anótese, comuníquese, notifíquese a la interesada y publíquese en el Diario Oficial.- Por orden del Presidente de la República, Juan Carlos Muñoz Abogabir, Ministro de Transportes y Telecomunicaciones.
Lo que transcribo para su conocimiento.- Saluda atentamente a Ud., Claudio Araya San Martín, Subsecretario de Telecomunicaciones.
CONTRALORÍA GENERAL DE LA REPÚBLICA
División de Infraestructura y Regulación
Cursa con alcance el decreto N°155, de 2022, del Ministerio de Transportes y Telecomunicaciones
N° E251580/2022.- Santiago, 31 de agosto de 2022.
Esta Contraloría General ha dado curso al decreto de la suma, que otorga a la empresa que indica una concesión de servicio público de transmisión de datos, pero cumple con hacer presente, en lo meramente formal, que se advierte un error en la numeración correlativa de las páginas del acto en examen, lo que deberá evitarse en lo sucesivo.
Por orden del Contralor General de la República.- Saluda atentamente a Ud., Juan Carlos Lillo Valenzuela, Subjefe de División.