OTORGA A LA EMPRESA PARQUE EÓLICO LOS TRIGALES SpA CONCESIÓN ELÉCTRICA DEFINITIVA PARA ESTABLECER EL PROYECTO DENOMINADO "LÍNEA DE TRANSMISIÓN 1X220 KV TRIGALES-RÍO MALLECO", EN LA REGIÓN DE LA ARAUCANÍA, PROVINCIA DE MALLECO, COMUNAS DE ERCILLA Y COLLIPULLI
Núm. 56.- Santiago, 20 de junio de 2022.
Vistos:
Lo informado por la Superintendencia de Electricidad y Combustibles en su oficio ordinario electrónico Nº 119585, de 3 de junio de 2022; lo dispuesto en los artículos 11º y 29º del decreto con fuerza de ley Nº 4/20.018, de 2006, del Ministerio de Economía, Fomento y Reconstrucción, que fija el texto refundido, coordinado y sistematizado del decreto con fuerza de ley Nº 1, de Minería, de 1982, Ley General de Servicios Eléctricos, en materia de energía eléctrica, en adelante e indistintamente "Ley General de Servicios Eléctricos" o "LGSE" y sus modificaciones posteriores; en la ley Nº 19.880, que establece bases de los procedimientos administrativos que rigen los actos de los órganos de la Administración del Estado; en la resolución Nº 7, de 2019, de la Contraloría General de la República, y
Considerando:
Lo informado por la Superintendencia de Electricidad y Combustibles, en su oficio ordinario electrónico Nº 119585, de 3 de junio de 2022, el cual pasa a formar parte del presente acto administrativo de acuerdo a lo dispuesto en el artículo 41 de la ley Nº 19.880, que establece bases de los procedimientos administrativos que rigen los actos de los órganos de la Administración del Estado.
Decreto:
Artículo 1.- Otórgase a la empresa Parque Eólico Los Trigales SpA concesión definitiva para establecer el proyecto denominado "Línea de Transmisión 1x220 kV Trigales - Río Malleco", en la Región de la Araucanía, provincia de Malleco, comunas de Ercilla y Collipulli, el cual se detalla a continuación:

Artículo 2.- El objetivo del proyecto cuya concesión se solicita es transportar energía eléctrica del futuro Parque Eólico Los Trigales entre la futura Subestación Elevadora Trigales y la Subestación Río Malleco, esta última conectada al Sistema Eléctrico Nacional (SEN), lo que permitirá satisfacer la diversificación de la matriz eléctrica mediante el uso de fuentes renovables; el constante crecimiento de la demanda de energía eléctrica en la Región y en los principales centros de consumo del país, además de mejorar las condiciones de operación y calidad de servicio del suministro eléctrico.
La "Línea de Transmisión 1x220 kV Trigales - Río Malleco", se encuentra ubicada en las comunas de Ercilla y Collipulli, provincia de Malleco, Región de la Araucanía, contempla establecer un tramo de línea de transmisión eléctrica de categoría C, en un circuito de 220 kV, con una potencia nominal de 162,95 MVA, el cual se conectará desde la Subestación Elevadora Trigales (proyectada) a la Subestación Eléctrica Río Malleco (existente), aumentando la capacidad del SEN.
La Longitud de la Línea es de 6.773 metros y corresponde a la totalidad de la línea desde su inicio al interior de los terrenos de la Subestación Elevadora Trigales, contados desde el marco de línea (ML) (coordenadas Este: 736.538,77 metros; Norte: 5.779.470,35 metros); hasta su término en el marco de línea (ML) (coordenadas Este: 738.198,88 metros; Norte: 5.786.015,41 metros) al interior de la Subestación Río Malleco. Las coordenadas mencionadas hacen referencia al sistema de coordenadas UTM Datum WGS 84 Huso 18 S.
La Longitud por la cual se solicita concesión eléctrica definitiva es de 6.666 metros, y contiene un solo tramo, que se ha definido desde los vértices referenciales VREF1, en su inicio se encuentra ubicado en el cerco del terreno de la Subestación Elevadora Trigales (coordenadas Este: 736.543,86 metros; Norte: 5.779.486,97 metros); hasta el VREF2 en su término ubicado en el cerco de la Subestación Río Malleco (coordenadas Este: 738.166,91 metros; Norte: 5.785.932,22 metros) todos medidos en sistema de coordenadas UTM Datum WGS 84 Huso 18 S.
Artículo 3.- El presupuesto del costo de las obras asciende a la suma de $1.930.608.056.- (mil novecientos treinta millones seiscientos ocho mil cincuenta y seis pesos).
Artículo 4.- Copia de los antecedentes relativos a la concesión que por el presente decreto se otorga, quedarán archivados en la Superintendencia de Electricidad y Combustibles.
Artículo 5.- En su recorrido, las instalaciones del proyecto "Línea de Transmisión 1x220 kV Trigales - Río Malleco", ocuparán bienes nacionales de uso público y predios particulares, respecto de los cuales será necesario constituir servidumbre eléctrica, en los términos que señala el artículo 7º del presente decreto, además de lo dispuesto en la Ley General de Servicios Eléctricos.
Artículo 6.- Apruébense los planos especiales de servidumbre que se indican en el artículo 7º del presente decreto.
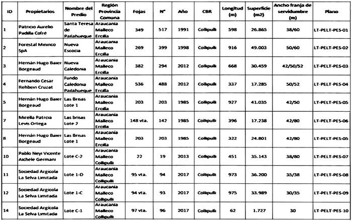
Artículo 7.- Constitúyanse, de acuerdo con lo establecido en la Ley General de Servicios Eléctricos, las servidumbres eléctricas para el establecimiento de las instalaciones del proyecto "Línea de Transmisión 1x220 kV Trigales - Río Malleco" en los predios que se indican a continuación:

Artículo 8.- Las líneas podrán atravesar los ríos, canales, las líneas férreas, puentes, acueductos, cruzar calles, caminos y otras líneas eléctricas.
En su recorrido, el proyecto "Línea de Transmisión 1x220 kV Trigales - Río Malleco" afectará las líneas eléctricas, obras e instalaciones existentes que se indica a continuación:
a) Cruces con otras líneas eléctricas:

b) Cruces con rutas o caminos públicos:

c) Cruce con río:

d) Paralelismos:

Estos cruces y paralelismo se ejecutarán en conformidad con las prescripciones que establecen los reglamentos, de manera que garanticen la seguridad de las personas y propiedades.
Artículo 9.- La presente concesión se otorga en conformidad a lo dispuesto en la Ley General de Servicios Eléctricos y queda sometida a todas las disposiciones legales y reglamentarias vigentes o que se dicten en el futuro sobre la materia.
Artículo 10.- Esta concesión se otorga por plazo indefinido.
Artículo 11.- El plazo de construcción del proyecto desde el inicio de los trabajos hasta la terminación total de las obras será de doce (12) meses, considerando el inicio de ellas después de 30 días contados desde la reducción a escritura pública del presente decreto de concesión eléctrica definitiva. Sin perjuicio de lo anterior, la empresa propietaria del proyecto, podrá dar inicio a los trabajos en el evento que obtenga todas las autorizaciones y derechos que lo habiliten para ello. Los plazos para su terminación por etapas y secciones serán los que se indican a continuación:

Artículo 12.- El presente decreto deberá ser reducido a escritura pública por el concesionario, antes de quince días contados desde su publicación en el Diario Oficial.
Artículo 13.- El concesionario estará obligado a prestar el servicio de transporte de energía eléctrica, en las condiciones de calidad y continuidad que establezca la ley y los reglamentos.
Artículo 14.- El concesionario estará obligado a levantar íntegramente las instalaciones cuando ellas queden inutilizadas para el objetivo de la presente concesión. Esta obligación sólo es válida para aquellas instalaciones que hagan uso de bienes nacionales de uso público, terrenos fiscales o terrenos particulares, en virtud de servidumbres constituidas.
El levantamiento deberá efectuarse dentro del plazo y en las condiciones que fije la Superintendencia, de conformidad a los reglamentos y normas técnicas aplicables.
Artículo 15.- La concesión que por este acto se otorga no exime del cumplimiento de las demás obligaciones legales, como lo es el acatamiento de la legislación ambiental en forma previa a la ejecución de las obras que se amparen en esta concesión.
Anótese, tómese razón, notifíquese y publíquese en el Diario Oficial y en el sitio web del Ministerio de Energía.- Por orden del Presidente de la República, Claudio Huepe Minoletti, Ministro de Energía.
Lo que transcribo para su conocimiento.- Saluda atentamente a Ud., María Fernanda Riveros Inostroza, Jefa División Jurídica, Subsecretaría de Energía.