MODIFICA CONCESIÓN DE SERVICIO INTERMEDIO DE TELECOMUNICACIONES QUE ÚNICAMENTE PROVEA INFRAESTRUCTURA FÍSICA PARA TELECOMUNICACIONES A LA EMPRESA WOM S.A.
Santiago, 21 de noviembre de 2022.- Con esta fecha se ha decretado lo que sigue:
Núm. 950 exento.
Vistos:
a) El decreto ley Nº 1.762, de 1977, que creó la Subsecretaría de Telecomunicaciones, en adelante "la Subsecretaría".
b) La Ley Nº 18.168, Ley General de Telecomunicaciones, en adelante "la Ley".
c) La resolución Nº 7 de 2019, de la Contraloría General de la República, que Fija Normas sobre Exención del Trámite de Toma de Razón.
d) El decreto supremo Nº 103, de 2008, del Ministerio de Transportes y Telecomunicaciones, que faculta al Ministro de Transportes y Telecomunicaciones para firmar "Por orden de la Presidenta de la República".
e) El decreto supremo Nº 353, de 2001, del Ministerio de Transportes y Telecomunicaciones, Reglamento del Fondo de Desarrollo de las Telecomunicaciones, y sus modificaciones.
f) El decreto supremo Nº 99, de 2012, del Ministerio de Transportes y Telecomunicaciones, Reglamento que establece los requisitos para obtener, instalar, operar y explotar concesiones de servicios intermedios de telecomunicaciones que únicamente provean infraestructura física para telecomunicaciones, y sus modificaciones.
g) La resolución Nº 7, de 2019, de la Contraloría General de la República, que Fija Normas sobre Exención del Trámite de Toma de Razón.
h) La resolución afecta Nº 16, de fecha 12.02.2013, de la Subsecretaría, que aprueba las Bases Generales para Concursos Públicos para la Asignación de Proyectos y sus respectivos Subsidios, correspondientes al Programa Anual de Proyectos Subsidiables del Fondo de Desarrollo de las Telecomunicaciones.
i) La resolución afecta Nº 01, de fecha 28.06.2019, de la Subsecretaría, que aprueba las Bases Específicas del Concurso Público "Fibra Óptica Nacional", Código: FDT-2019-01, modificada mediante resolución afecta Nº 6, de fecha 19.12.2019.
j) La Sesión LV, del Consejo de Desarrollo de las Telecomunicaciones, de fecha 29.01.2019, que autoriza el llamado a Concurso Público del literal h) de los Vistos y fija el monto máximo de Subsidio para la asignación del mismo.
k) La resolución exenta Nº 2.380, de fecha 21.11.2019, de la Subsecretaría, que aprueba el Informe de Respuestas a las Consultas formuladas a las Bases Generales y Específicas del Concurso Público de los literales g) y h) de los Vistos, respectivamente, complementada mediante resolución exenta Nº 2.414, de fecha 28.11.2019.
l) El oficio Ord. Nº 5.220, GFDT Nº 87, de fecha 15.04.2020, de la Subsecretaría, por el cual se comunica a la empresa Wom S.A. la adjudicación de su Propuesta presentada para la Macrozona Centro Norte, Código: FDT-2019-01-CTN, del Concurso Público "Fibra Óptica Nacional", Código: FDT-2019-01.
m) El oficio Ord. Nº 7.524, DJ-GFDT-DIP Nº 243, de fecha 03.06.2022, de la Subsecretaría, por el cual se informa favorablemente a la empresa Wom S.A. la calificación de hecho sobreviniente del Artículo 36º de las Bases Generales del literal h) de los Vistos y la extensión de plazos solicitada para el término de obras y de inicio del Servicio de Infraestructura del Proyecto Macrozona Centro Norte, Código: FDT-2019-01-CTN, del Concurso Público "Fibra Óptica Nacional", Código: FDT-2019-01.
n) El decreto supremo Nº 67, de 2020, del Ministerio de Transportes y Telecomunicaciones que otorgó la concesión a Wom S.A., para el desarrollo del Proyecto Macrozona Centro Norte, Código: FDT-2019-01-CTN, del Concurso Público "Fibra Óptica Nacional", Código: FDT-2019-01 publicado en la Edición Nº 42.749, de fecha 05.09.2020, del Diario Oficial, modificado por el decreto exento Nº 723, de 02.09.2022 publicado en la Edición Nº 43.382, de fecha 21.10.2022, del Diario Oficial.
o) El decreto supremo Nº 71, de 2022, del Ministerio del Interior y Seguridad Pública que nombra a Ministros y Ministras de Estado en las carteras que indica.
Considerando:
a) Lo solicitado por la interesada mediante ingreso Subtel Nº 161.327 de fecha 06.09.2022 y Nº165.975 de fecha 14.09.2022, complementado por los ingresos Subtel Nº166.509 de fecha 14.09.2022, Nº187.579 de fecha 28.10.2022 para el primero mencionado, sumado a los Nº172.608 de fecha 27.09.22 y 189.918 de fecha 04.11.22 para segundo ingreso.
b) Que la solicitud incorpora infraestructura de telecomunicaciones que no se encuentra destinada a soportar elementos radiantes, acorde al inciso séptimo del artículo 6º, decreto supremo Nº 99, de 2012, es decir, no requiere de publicación del extracto de la solicitud.
Decreto:
Modifícase la concesión de Servicio Intermedio de Telecomunicaciones que únicamente provea infraestructura física, otorgada a la empresa Wom S.A RUT Nº 78.921.690-8, con domicilio en Avenida General Mackenna Nº 1369, comuna de Santiago, Región Metropolitana de Santiago, en adelante la concesionaria, en el sentido que se indica en los numerandos siguientes:
1. Autorízase a la concesionaria para modificar:
1.1 La ubicación de los PIX de la Macrozona Centro Norte, según se indica a continuación:
1.1.1 La ubicación del PIX Coquimbo, según se indican a continuación:

1.1.2 La ubicación del PIX Valparaíso, según se indica a continuación:

1.2 La ubicación de los POIIT Terrestres de la Macrozona Centro Norte, según se indica a continuación:
1.2.1 La ubicación de los POIIT Terrestre del Trazado Regional de Infraestructura Óptica Coquimbo, según se indica a continuación:

1.2.2 La ubicación de los POIIT Terrestre del Trazado Regional de Infraestructura Óptica Valparaíso, según se indica a continuación:

1.3 La ubicación de los TRIOT Terrestres, según origen-destino de los respectivos Trazados Regionales de Infraestructura Óptica de la Macrozona Centro Norte, según se indica a continuación:
1.3.1 La ubicación de los TRIOT Terrestres, según origen y destino del Trazado Regional de Infraestructura Óptica Coquimbo, según se indica a continuación:

1.3.2 La ubicación de los TRIOT Terrestre, según origen y destino del Trazado Regional de Infraestructura Óptica Valparaíso, según se indica a continuación:

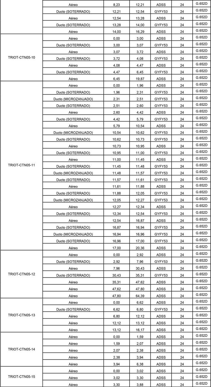
1.4 Las características técnicas de los TRIOT Terrestre de los respectivos Trazados Regionales de Infraestructura Óptica de la Macrozona Centro Norte, según se indica a continuación:
1.4.1 Las características de los TRIOT Terrestre del Trazado Regional de Infraestructura Óptica Coquimbo, según se indica a continuación:




1.4.2 Las características de los TRIOT Terrestre del Trazado Regional de Infraestructura Óptica Valparaíso, según se indica a continuación:



1.5 La ubicación de los Puntos de Derivación de los respectivos Trazados Regionales de Infraestructura Óptica de la Macrozona Centro Norte, según se indica a continuación:
1.5.1 La ubicación de los Puntos de Derivación del Trazado Regional de Infraestructura Óptica Coquimbo, según se indica a continuación:


1.5.2. La ubicación de los Puntos de Derivación del Trazado Regional de Infraestructura Óptica Valparaíso, según se indica a continuación:


1.6 La Zona de Servicio y Zona de Servicio Mínima
1.6.1 La Zona de Servicio Mínima corresponde a las áreas de emplazamiento (sitios) y la ubicación de los PIX, Puntos de Derivación y POIIT Terrestre. Por su parte la superficie de los PIX y los POIIT Terrestres de cada Trazado Regional de Infraestructura Óptica de la Macrozona Centro Norte corresponden a los siguientes:
1.6.1.1 La Zona de Servicio Mínima del PIX y POIIT Terrestre del Trazado de Infraestructura Óptica Coquimbo, según se indica a continuación:

1.6.1.2 La Zona de Servicio Mínima del PIX y POIIT Terrestre del Trazado de Infraestructura Óptica Valparaíso, según se indica a continuación:

1.7 El Centro de Control y Monitoreo de la Infraestructura Óptica (NOC) de la Macrozona Centro Norte corresponde al NOC de Wom S.A., ubicado en la ciudad de Santiago, Región Metropolitana de Santiago. En dicha locación se instalará y operará el equipamiento necesario para llevar a cabo el control, monitoreo y supervisión centralizados de todos los componentes y elementos que conforman a la Macrozona Centro Norte. Se usará el COEOIT junto con los medios propios o de terceros debidamente autorizados que se requieren para el transporte de la información de monitoreo entre los PIX y los POIIT Terrestres de la Macrozona Centro Norte, y el referido Centro de Control y Monitoreo de la Infraestructura Óptica. Asimismo, la concesionaria debe posibilitar el acceso remoto al sistema de monitoreo y supervisión de Macrozona Centro Norte desde las oficinas de atención a Clientes que serán instaladas las comunas de La Serena, Valparaíso y San Bernardo, las cuales deberán contar con los elementos necesarios para efectuar pruebas y acceder a dicho sistema, según se indica a continuación:

2. Las demás características técnicas, plazos, ubicaciones y otras obligaciones, se mantendrán inalterables de acuerdo con el decreto supremo Nº 67 de 2020, del Ministerio de Transportes y Telecomunicaciones.
3. Apruébese el proyecto técnico , base de la solicitud presentada por la concesionaria, conforme a las disposiciones técnico-legales que rigen el servicio de telecomunicaciones concedido. La documentación respectiva quedará archivada en la Subsecretaría.
4. Es obligación de la concesionaria el conocimiento y cumplimiento de las disposiciones legales, reglamentarias y técnicas que regulan el servicio de telecomunicaciones concesionado, en lo que le sea aplicable. Asimismo, lo establecido en las Bases de Concurso, lo comprometido por la concesionaria y lo autorizado por este organismo de Estado, según se indica en los literales h), i), j), k), l), m), n) y o) de los Vistos y la solicitud de modificación de concesión referenciada en el literal a) de los Considerandos.
Anótese, comuníquese, notifíquese a la interesada y publíquese en el Diario Oficial.- Por orden del Presidente de la República, Juan Carlos Muñoz Abogabir, Ministro de Transportes y Telecomunicaciones.
Lo que transcribo para su conocimiento.- Saluda atentamente a Ud., Claudio Araya San Martín, Subsecretario de Telecomunicaciones.