INSTRUYE GIRO Y PAGO DE IMPUESTO AL LUJO DE LA LEY N° 21.420
Extracto de resolución exenta del Servicio de Impuestos Internos N° 125 del 26 de diciembre de 2022, instruye giro y pago del impuesto establecido en el artículo 9 de la ley 21.420.
El texto íntegro de este documento está publicado en "www.sii.cl".- Hernán Andrés Frigolett Córdova, Director.
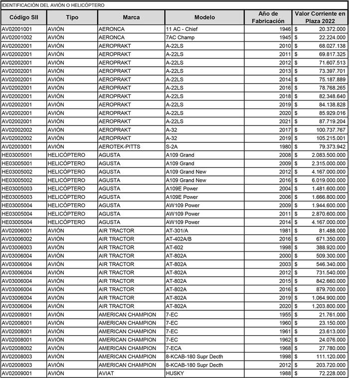
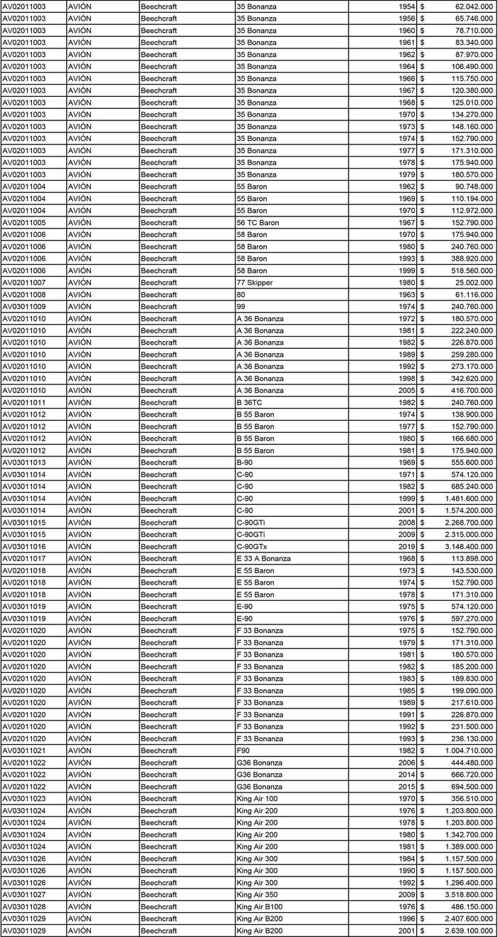
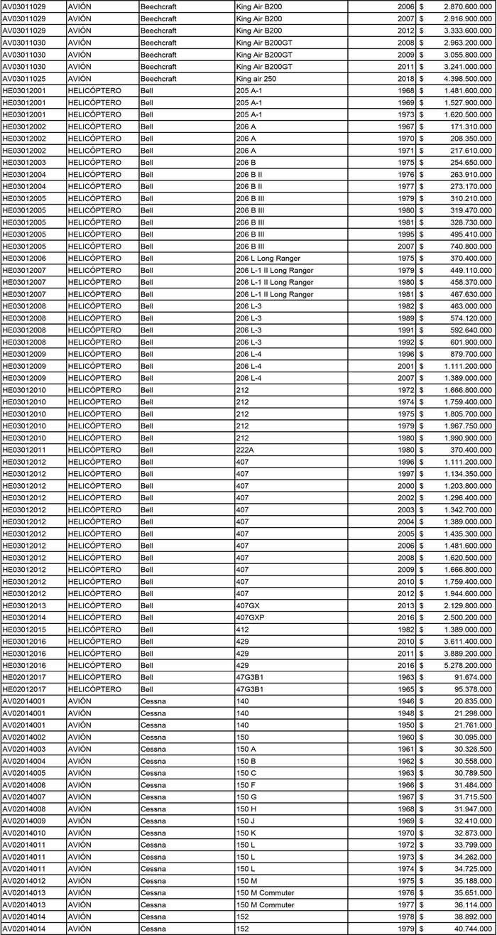
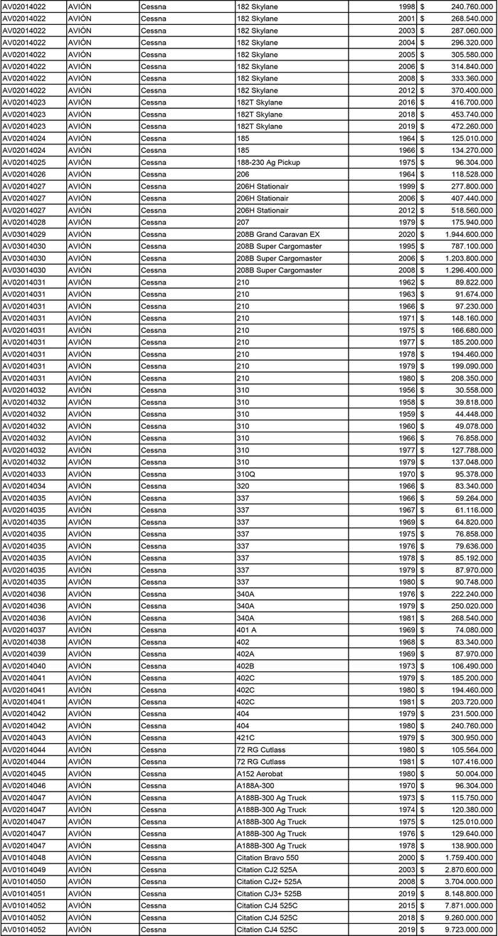
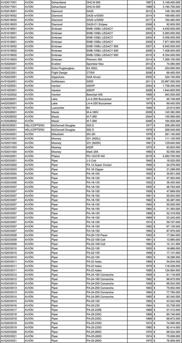
TASACIÓN DE AVIONES Y HELICÓPTEROS
RESOLUCIÓN EXENTA SII N°124 DEL 26 DE DICIEMBRE DE 2022











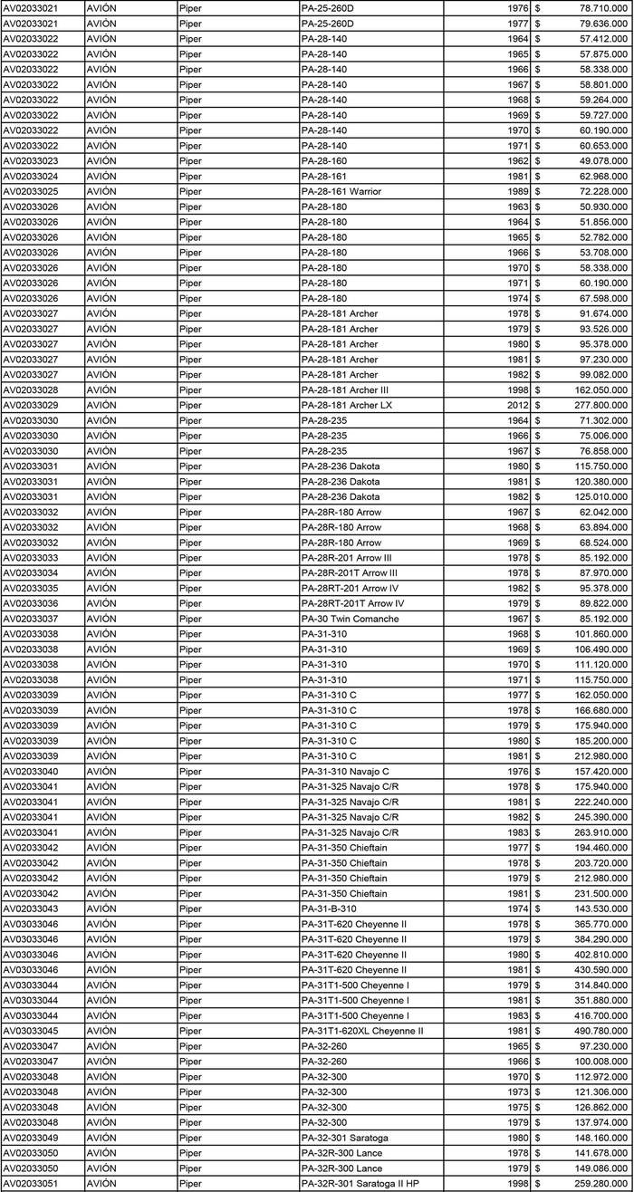
TASACIÓN DE YATES
RESOLUCIÓN EXENTA SII N°124 DEL 26 DE DICIEMBRE DE 2022

