OTORGA CONCESIÓN DE SERVICIO INTERMEDIO DE TELECOMUNICACIONES, QUE ÚNICAMENTE PROVEA INFRAESTRUCTURA FÍSICA PARA TELECOMUNICACIONES, A LA EMPRESA AP WIP TOWERS CHILE SpA
Santiago, 10 de noviembre de 2022.- Con esta fecha se ha decretado lo que sigue:
Núm. 200.
Vistos:
a) El decreto ley Nº1.762 de 1977, que creó la Subsecretaría de Telecomunicaciones, en adelante la Subsecretaría.
b) La Ley Nº18.168, General de Telecomunicaciones, en adelante la ley.
c) La resolución N°7 de 2019, de la Contraloría General de la República, que Fija Normas sobre Exención del Trámite de Toma de Razón.
d) El decreto supremo Nº103 de 2008, del Ministerio de Transportes y Telecomunicaciones.
e) El decreto supremo N°99 de 2012, del Ministerio de Transportes y Telecomunicaciones, que fija el reglamento que establece los requisitos para obtener, instalar, operar y explotar concesiones de servicios intermedios de telecomunicaciones que únicamente provean infraestructura física para telecomunicaciones.
f) La resolución exenta N°3.774, de 2012, de la Subsecretaría.
Considerando:
a) Lo solicitado por la interesada mediante ingreso Subtel Nº112.548 de 16.06.2022.
b) Que la solicitud incorpora infraestructura de telecomunicaciones que no se encuentra destinada a soportar elementos radiantes, acorde al inciso séptimo del artículo 6°, decreto supremo N°99 de 2012, es decir, no requiere de publicación del extracto de la solicitud.
Decreto:
Otórgase concesión de Servicio Intermedio de Telecomunicaciones, que únicamente provea infraestructura física para telecomunicaciones, a la sociedad AP WIP Towers Chile SpA, RUT N°77.504.299-0, con domicilio en Avenida Andrés Bello N°2457, piso 19, comuna de Providencia, Región Metropolitana de Santiago, en adelante la concesionaria, en el sentido que se indica en los numerandos siguientes:
1. Autorízase a la concesionaria para instalar, operar y explotar infraestructura pasiva de telecomunicaciones, según se indica a continuación:
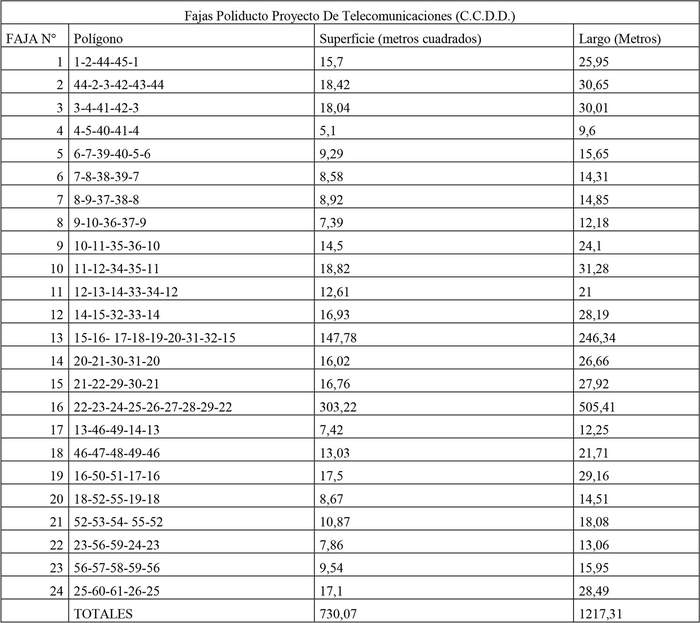
1.1 Un poliducto, que contiene 4 ductos de 110 milímetros que se encuentran en forma soterrada en 24 fajas de terreno de ancho 0,6 mts. y de distintos largos, que forman parte de la urbanización que pasa por las calles Mar Tirreno y Avenida Luis Cousiño, comuna de Peñalolén, Región Metropolitana de Santiago, cuyas fajas se indican en la tabla siguiente:

1.2 Treinta y tres (33) cámaras de inspección dobles y 17 cámaras de inspección simples o auxiliares distribuidas en las 24 fajas de terreno.
2. La Zona de Servicio corresponde al Territorio Nacional.
3. El período de vigencia de la concesión será de 30 años, contados desde la publicación en el Diario Oficial del decreto que la autorice.
4. Apruébase el proyecto técnico base de la solicitud presentado por la concesionaria, en lo relacionado con los sistemas y equipos de telecomunicaciones autorizados en el presente decreto, conforme a las disposiciones técnico legales que rigen el servicio de telecomunicaciones concedido. La documentación respectiva quedará archivada en la Subsecretaría de Telecomunicaciones.
5. Los plazos serán los que se indican a continuación:

6. Es obligación de la concesionaria el conocimiento y cumplimiento de las disposiciones legales, reglamentarias y técnicas que regulan las telecomunicaciones, en lo que le sean aplicables.
Anótese, tómese razón, comuníquese, notifíquese a la interesada y publíquese en el Diario Oficial.- Por orden del Presidente de la República, Cristóbal Pineda Andradez, Ministro de Transportes y Telecomunicaciones Subrogante.
Lo que transcribo para su conocimiento.- Saluda atentamente a Ud., Claudio Araya San Martín, Subsecretario de Telecomunicaciones.