ESTABLECE PRIMERAS BASES TÉCNICAS PARA EL CÁLCULO DEL ARANCEL REGULADO, DERECHOS BÁSICOS DE MATRÍCULA Y COBROS POR CONCEPTO DE TITULACIÓN O GRADUACIÓN, EN EL MARCO DEL FINANCIAMIENTO INSTITUCIONAL PARA LA GRATUIDAD
     
    Núm. 6.255 exenta.- Santiago, 30 de diciembre de 2022.
     
    Considerando:
     
    1º. Que, la Ley N° 21.091, sobre Educación Superior, adelante e indistintamente, "Ley N° 21.091" o "Ley de Educación Superior", regula en su Título V el Financiamiento Institucional para la Gratuidad, regulándose específicamente, en su Párrafo 2°, los valores regulados de aranceles, derechos básicos de matrícula y cobros por concepto de titulación o graduación.
    2º. Que, en cumplimiento de lo dispuesto en los artículos 88 y siguientes de dicho cuerpo legal y trigésimo séptimo transitorio, la Subsecretaría de Educación Superior (en adelante e indistintamente, "esta Subsecretaría" o "la Subsecretaría") dictó la Resolución Exenta N° 6.687, de 2019, que estableció las primeras bases técnicas para el cálculo del arancel regulado, derechos básicos de matrícula y cobros por concepto de titulación o graduación, en el marco del Financiamiento Institucional para la Gratuidad (en adelante e indistintamente "Resolución Exenta N° 6.687, de 2019"). Conforme a la dictación del referido acto administrativo, se dictó la Resolución Exenta N° 1.742, de 2021, de la Subsecretaría de Educación Superior, que determinó los aranceles regulados, los derechos básicos de matrícula y cobros por concepto de titulación o graduación para las Instituciones de Educación Superior que acceden al Financiamiento Institucional para la Gratuidad (en adelante e indistintamente "Resolución Exenta N° 1.742, de 2021.")
    3º. Que, el Consejo de Rectores de las Universidades Chilenas ("CRUCH"); el Consorcio de Universidades del Estado de Chile ("CUECH"); la Universidad de Santiago de Chile ("USACH") y la Fundación Instituto Profesional DUOC UC ("IP DUOC UC") presentaron reclamos de ilegalidad en contra del procedimiento descrito en el considerando anterior, ante el Órgano Contralor. En ese contexto, la Contraloría General de la República, mediante Dictamen N° E147.687, de 15 de octubre de 2021, acogió ciertas alegaciones de las instituciones antedichas.
    4º. Que, en específico, las alegaciones referidas en el considerando anterior que fueron acogidas por la Contraloría General de la República fueron las siguientes:
     
    . Respecto de la participación de los actores del proceso: conforme al levantamiento de la información y consulta, era preciso que esta Subsecretaría proporcionara de todos los antecedentes a las instituciones para permitir una efectiva participación en el proceso.
    . Respecto de la exigencia de motivación y transparencia del procedimiento: se determinó que el acto administrativo no se encontraba suficientemente fundado: "pues no permite el conocimiento acabado de los elementos de juicio por los cuales se rechazaron las observaciones que la CERA efectuó en esa etapa del proceso, en su calidad de organismo técnico especializado." Asimismo, en relación al mismo punto, la Contraloría determinó que esta Subsecretaría: "explicó genéricamente los criterios que utilizó para seguir las directrices de la Comisión, sin que se pueda comprender claramente la nueva metodología utilizada, por lo que no se satisface la exigencia de motivación que, de acuerdo con la ley, deben cumplir los actos administrativos.
    Asimismo, al crear los nuevos grupos especiales de las carreras antes indicadas, la Subsecretaría se apartó de las bases técnicas, alterando la metodología de agrupación que aquella había aprobado."
    . En cuanto a la agrupación de carreras con estructuras de costos similares: Estableció que no se respetaron los mínimos establecidos en el artículo 88 de la Ley N° 21.091, en ese sentido, determinó lo siguiente: "se advierte que en las bases técnicas no se previó una agrupación de carreras en función a la estructura de costos similares, puesto que para tales efectos se consideró únicamente la estructura curricular de las mismas, omitiéndose los otros factores establecidos en el aludido artículo 88."
     
    5º. Que, en ese orden de ideas, la Contraloría General de la República ordenó a esta Subsecretaría adoptar las medidas que correspondan para ajustar las Resoluciones Exentas N°s 6.687, de 2019, y 1.742, de 2021, conforme a los criterios señalados en su Dictamen.
    6º. Que, con la finalidad de dar cumplimiento a lo mandatado, la Subsecretaría de Educación Superior, por medio de la Resolución Exenta N° 6.053, de fecha 7 de diciembre de 2021, abrió un período de audiencias a interesados en el procedimiento para determinar los valores regulados que regirían a las Instituciones de Educación Superior, y que en dicho período los participantes dieran cuenta de sus observaciones y opiniones respecto del Dictamen de Contraloría. Bajo el mismo razonamiento, esta Subsecretaría a través de la Resolución Exenta N° 1.350 de fecha 01 de marzo de 2022, concluyó dicho período de audiencia e invalidó parcialmente la Resolución Exenta N° 6.687 de 2019, y dictó con fecha 02 de marzo de 2022, la Resolución Exenta N° 1.376, que modificó y complementó la referida Resolución Exenta N° 6.687, y fijó su texto refundido.
    7º. Que, pese a lo anterior, luego de presentaciones de la Comisión de Expertos para la Regulación de Aranceles (en adelante e indistintamente "Comisión de Expertos" o "CERA"), y de la evaluación de los diferentes alcances relativos a aspectos imprecisos, ambiguos y/o insuficientemente fundamentados, se concluyó que la Resolución Exenta N° 1.376 de la Subsecretaría de Educación Superior, no se encontraba debidamente fundada, en cuanto, no satisfacía los puntos observados por el Órgano Contralor de manera íntegra.
    8º. Que, de este modo, la Subsecretaría de Educación Superior, a través de Resolución Exenta N° 2.253, de fecha 30 de mayo de 2022, inició procedimiento de invalidación, conforme al artículo 53 de la Ley N° 19.880, respecto de la Resolución Exenta N° 1.376, de 2022, que modifica y complementa en la forma que indica la Resolución Exenta N° 6.687, de 2019, ambas de la Subsecretaría de Educación Superior.
    9º. Que, durante la extensión de dicho procedimiento, y en orden a dar cumplimiento a lo dispuesto en el inciso primero del artículo 53 de la Ley N° 19.880 y con el objetivo de oír a los interesados, se abrió un período de audiencias públicas con Instituciones de Educación Superior y agrupaciones, entre los días 22 y 30 de junio del año en curso, con un total de 25 sesiones telemáticas por medio de la plataforma "TEAMS". En ellas participaron las siguientes instituciones y agrupaciones: Pontificia U. Católica de Chile, U. Alberto Hurtado, U. Arturo Prat, U. Austral de Chile, U. Católica de la Santísima Concepción, U. Católica de Temuco, U. Católica del Maule, U. Católica del Norte, U. de Antofagasta, U. de Aysén, U. de Los Lagos, U. de Playa Ancha, U. de Valparaíso, U. del Biobío, U. Diego Portales, U. Finis Terrae, U. Mayor, U. Metropolitana de Ciencias de la Educación, U. Tecnológica Metropolitana, CFT INACAP, IP INACAP, IP DUOC UC, Consorcio de Universidades del Estado de Chile (CUECH), Red de Universidades G9, y Corporación de Universidades Privadas (CUP).
    10º. Que, es preciso tener en cuenta que, con fecha 10 de junio del año en curso, y en cumplimiento del plazo de tres meses dispuesto en la Ley N° 21.091 para la formulación de observaciones, CERA emitió formalmente sus observaciones respecto del Informe de Cálculo emitido por la Subsecretaría de Educación Superior el 10 de marzo de 2022. A modo de resumen, junto con reafirmar y profundizar las observaciones a las bases técnicas referidas en el considerando séptimo, observó los resultados de la aplicación de la metodología establecida en la Resolución Exenta N° 1.376, de 2022.
    11º. Que, con el propósito de generar una nueva propuesta de bases técnicas, esta Subsecretaría entre fines del mes de agosto e inicios del mes de octubre de 2022, llevó a cabo un proceso de recolección de información de costos directos, indirectos y de infraestructura de las carreras y programas de las Instituciones de Educación Superior adscritas al Financiamiento Institucional para la Gratuidad.
    12º. Que, de conformidad a lo dispuesto en los incisos primero y segundo del artículo 91 de la ley N° 21.091, la Subsecretaría efectuó un proceso de consulta, mediante el envío con fecha 16 de noviembre de 2022 de un borrador de bases técnicas a las instituciones y federaciones estudiantiles, otorgando un plazo para que estas emitiesen observaciones al documento hasta el 28 de noviembre de 2022. En este proceso, fueron remitidos a la Subsecretaría 15 informes con observaciones, de las instituciones y/o agrupaciones: U. de Chile, U. de Los Lagos, U. de Talca, U. de Tarapacá, U. Mayor, U. Católica de Temuco, U. Técnica Federico Santa María, U. Metropolitana de Ciencias de Educación, CFT de la Región de Valparaíso, CFT de la Pontificia U. Católica de Valparaíso, CFT-IP-U. Santo Tomás, CFT-IP INACAP, CUECH, CUP, y Red de Centros de Formación Técnica Estatales de Chile (CFTECH). Asimismo, la Federación de Estudiantes de la Universidad Austral (FEUACH) Sede Puerto Montt, mediante correo electrónico con fecha 25 de noviembre, comunicó a esta Subsecretaría que no tenía observaciones al documento.
    13º. Que, efectuado lo anterior, a través de Resolución Exenta N° 5.660, de fecha 29 de noviembre de 2022, esta Subsecretaría dio término al procedimiento conforme al artículo 53 de la Ley N° 19.880, e invalida la Resolución Exenta N° 1.376, de 2022, que modifica y complementa en la forma que indica, la Resolución Exenta N° 6.687, de 2019, ambas de la Subsecretaría, y se invalidaron totalmente las Resoluciones Exentas precitadas, y sus actos complementarios.
    En ese contexto, en su artículo tercero, la citada Resolución Exenta dictaminó que esta Subsecretaría debe dictar a la brevedad el acto administrativo que fije las primeras bases técnicas para el cálculo del arancel regulado, derechos básicos de matrícula y cobros por concepto de titulación o graduación para los grupos de carrera.
    14º. Que, de conformidad con la Resolución Exenta referida en el considerando anterior, y con el procedimiento establecido en el artículo trigésimo séptimo transitorio de la Ley N° 21.091, la Subsecretaría presentó a la Comisión de Expertos, mediante oficio N° 06-13634 de 2022, una primera propuesta de bases técnicas, acompañando además los antecedentes de los procesos de consulta, referidos en los considerandos noveno y duodécimo, que aportaron antecedentes que sirvieron de insumos a la elaboración de la propuesta.
    15º. Que, la presentación de bases técnicas referida en el considerando anterior, se enmarca dentro del procedimiento establecido en el artículo trigésimo séptimo transitorio de la Ley N° 21.091 para la elaboración de las primeras bases técnicas, toda vez que las bases técnicas dictadas previamente (Resoluciones Exentas N° 6.687 y 1.376) han sido sometidas respectivamente a los procesos administrativos descritos en los considerandos sexto y décimo tercero, los cuales han determinado, respectivamente, la invalidación parcial y total de las referidas Resoluciones Exentas, por lo cual no ha existido hasta la fecha un proceso regulatorio finalizado conforme a lo estipulado en la Ley N° 21.091.
    16º. Que, paralelamente al envío de la propuesta de bases técnicas a la Comisión de Expertos referida en el considerando décimo cuarto, la Subsecretaría remitió también el documento a las instituciones adscritas al Financiamiento Institucional para la Gratuidad y sus respectivas federaciones estudiantiles, otorgando un plazo hasta el 16 de diciembre de 2022 para recibir comentarios. En dicho plazo fueron recepcionados 18 documentos con observaciones, remitidos por las instituciones: Pontificia U. Católica de Chile, U. Austral de Chile, U. Católica de la Santísima Concepción, U. Católica de Temuco, U. Católica del Maule, U. Católica del Norte, U. de Antofagasta, U. de Concepción, U. de Tarapacá, U. Mayor, U. Metropolitana de Ciencias de la Educación, U. Técnica Federico Santa María, CFT-IP INACAP, IP DUOC UC, Consejo de Rectores de las Universidades Chilenas (CRUCH), CUECH, Red de Universidades G9 y CUP.
    17º. Que la Comisión de Expertos, dando cumplimiento a lo establecido en el referido artículo trigésimo séptimo, se pronunció en sesión de 22 de diciembre de 2022, emitiendo informe de observaciones mediante oficio N° 06-2022. Dicho documento contiene las apreciaciones y propuestas efectuadas por la Comisión, acerca de la propuesta de bases técnicas referida en el considerando décimo cuarto. Las observaciones de la CERA fueron las siguientes:
     
    a) Consideraciones u observaciones formales de carácter general: Si bien la Comisión estima necesario dar cuenta del marco normativo y la cronología del proceso desde la publicación de la Ley N° 21.091, así como de las opciones metodológicas asociadas a la recolección y procesamiento de la información de costos, recomienda abreviar algunos puntos a fin de enfocar el texto en lo esencial y soslayar reiteraciones.
    b) Observaciones formales específicas: La CERA sugiere incorporar al comienzo del documento un índice de materias, uno de tablas y uno de figuras, junto a un glosario que dé cuenta de los términos ocupados para identificar los objetos de análisis. Recomienda, además, ajustar los títulos de las tablas y figuras expuestos en la propuesta.
    c) Respecto del proceso de levantamiento de información de costos 2021: La Comisión reconoce haber sugerido disminuir el número de años considerados para la aplicación de la metodología de costos, sin embargo, plantea que también señaló que la utilización de una mayor cantidad de observaciones permite aplanar las desviaciones tanto de alza como de baja de costos.
    d) Consideración de variables para la agrupación de carreras: La CERA plantea la necesidad de profundizar la fundamentación del método de agrupación escogido y detallar los procedimientos numéricos aplicados que conducen a éste. También sugiere la posibilidad de incorporar algún mecanismo para corregir las asimetrías de las curvas de costos. Finalmente, plantea que es necesario determinar las técnicas de procesamiento estadístico a utilizar para determinar eventuales exclusiones de variables de los grupos de carreras.
    e) Determinación de los valores de aranceles regulados: La Comisión solicita mejorar y precisar la definición, objeto, variables y criterios para la determinación del índice de agrupación a partir del cual se definen los valores regulados de arancel. Asimismo, valora la importancia de introducir un elemento dinámico en la estimación de los valores regulados, y plantea la importancia de clarificar este aspecto en la redacción de las bases técnicas.
    f) Derechos básicos de matrícula y costos de titulación o graduación: La CERA propone ajustar la redacción de los ítems de costos correspondientes, cautelando la no generación de dobles imputaciones de costos que pudiesen estar en otros ítems. Asimismo, estima necesario avanzar en definir un criterio objetivo para determinar el punto de las curvas de costos que se utilizará para determinar los valores regulados. En el caso de los costos de titulación, finalmente, solicita aclarar cómo el valor reportado a nivel institucional se imputará a una carrera o a un grupo.
     
    18º. Que, conforme a lo dispuesto en el inciso tercero del artículo trigésimo séptimo transitorio de la Ley N° 21.091, las apreciaciones expuestas por la Comisión de Expertos han sido consideradas por esta Subsecretaría, y han sido acogidas en su totalidad para la elaboración de las presentes bases técnicas.
    19º. Que, por su parte, se debe tener presente que a través de la Ley N° 21.485, del Ministerio de Educación, publicada en el Diario Oficial con fecha 4 de octubre de 2022, se modificó el plazo de entrada en vigencia de los aranceles regulados, derechos básicos de matrícula y cobros por concepto de titulación o graduación establecidos en el Título V de la Ley N° 21.091, sobre Educación Superior, para el Financiamiento Institucional para la Gratuidad.
    Dicha Ley se compone de un artículo único, que dispone lo siguiente: "Los aranceles regulados, los derechos básicos de matrícula y los cobros por concepto de titulación o graduación establecidos en virtud del Título V de la ley Nº 21.091, sobre Educación Superior, para las instituciones de educación superior que acceden al financiamiento institucional para la gratuidad, entrarán en vigencia el año académico 2024. La Subsecretaría de Educación Superior deberá dictar la o las resoluciones exentas que establezcan las primeras bases técnicas para el cálculo del arancel regulado, derechos básicos de matrícula y cobros por concepto de titulación o graduación para uno o más grupos de carreras, de conformidad a lo dispuesto en el Párrafo 2° del Título V de la ley N° 21.091 y de los respectivos artículos transitorios, a más tardar el segundo semestre del año 2022". (Énfasis propio).
    20º. Que, de conformidad a lo expuesto, corresponde que esta Subsecretaría, tomando en consideración las observaciones efectuadas por la Contraloría General de la República y por la Comisión de Expertos para la Regulación de Aranceles, y dentro del plazo determinado por la Ley N° 21.485, de 2022, del Ministerio de Educación, dicte el acto administrativo que fije las primeras bases técnicas para el cálculo del arancel regulado, derechos básicos de matrícula y cobros por concepto de titulación o graduación.
     
    Visto:
     
    Lo dispuesto en la Ley Nº18.575 Orgánica Constitucional de bases generales de la Administración del Estado, cuyo texto refundido, coordinado y sistematizado fue fijado por el decreto con fuerza de ley N°1/19.653, de 2000, del Ministerio Secretaría General de la Presidencia; en la Ley Nº18.956, que reestructura el Ministerio de Educación Pública; en la Ley Nº19.880, que establece bases de los procedimientos administrativos que rigen los actos de los órganos de la Administración del Estado; en la Ley Nº 21.091 sobre Educación Superior; en la Ley N° 21.485, de 2022, del Ministerio de Educación; en el Decreto con Fuerza de Ley N° 3, de 2019, del Ministerio de Educación; en la Resolución Exenta N° 6.053, de 2021, de la Subsecretaría de Educación Superior; en la Resolución Exenta N° 1.350, de 2022, de la Subsecretaría de Educación Superior; en la Resolución Exenta N° 1.376, de 2022 de la Subsecretaría de Educación Superior; en la Resolución Exenta N° 2.253, de 2022, de la Subsecretaría de Educación Superior; en la Resolución Exenta N° 5.660, de 2022, de la Subsecretaría de Educación Superior; y en la Resolución Nº 7, de 2019, de la Contraloría General de la República.
     
    Resuelvo:

    Artículo primero.- Fíjanse las primeras bases técnicas para el cálculo del arancel regulado, derechos básicos de matrícula y cobros por concepto de titulación o graduación para los grupos de carrera que indica, cuyo texto se inserta a continuación:
     
    Bases Técnicas para la determinación de valores regulados de Aranceles, Derechos Básicos de Matrícula y cobros por concepto de Titulación o Graduación, en instituciones de educación superior adscritas al Financiamiento Institucional para la Gratuidad
     
    Índice de Contenidos
     
    Introducción 1
     
    1. Objeto, alcance y definiciones normativas de la presente regulación
    2. Información de costos de carreras y programas
     
    2.1. Sobre la unidad de observación: "carrera o programa de estudios"
    2.2. Proceso de recolección de información para la regulación
    2.3. Tratamiento de costos directos e indirectos
    2.4. Tratamiento de costos de infraestructura
    2.5. Determinación del costo total por estudiante
     
    3. Procedimientos para el cálculo de valores regulados
     
    3.1. Definiciones de las variables para la conformación de grupos de carreras
    3.2. Primera etapa de agrupación: Determinación de macrogrupos
    3.3. Segunda etapa de agrupación: Grupos de carreras y determinación de aranceles regulados
    3.4. Derechos básicos de matrícula
    3.5. Costos de titulación o graduación
     
    4. Primeros valores regulados y consideraciones futuras
     
    4.1. De las primeras carreras a regular
    4.2. Del levantamiento anual de información de costos
     
    Referencias
     
    Índice de Tablas
     
    Tabla 1 – Ítems de costos directos e indirectos en levantamiento de información 2021
    Tabla 2 – Ítems de infraestructura institucional en levantamiento de información 2021
    Tabla 3 – Ítems de infraestructura de la carrera en levantamiento de información 2021
    Tabla 4 – Etapas de proceso de estimación de costos e indirectos por estudiante
    Tabla 5 – Variables de costos directos e indirectos por estudiante, según aplicaciones de procedimiento de corrección de outliers
    Tabla 6 – Variables de costos de inversión en infraestructura por estudiante, según aplicaciones de procedimiento de corrección de outliers
    Tabla 7 – Áreas y Subáreas CINE-F UNESCO 2013
    Tabla 8 – Operacionalización de variables para la segunda etapa de agrupación
    Tabla 9 – Indicadores de matrícula de programas presenciales de pregrado 2022, para primeras agrupaciones de carreras a regular
     
    Índice de Figuras
     
    Figura 1 – Costo Total por Estudiante, según Área CINE-F 2013
    Figura 2 – Costo Total por Estudiante, según título o grado entregado por la carrera
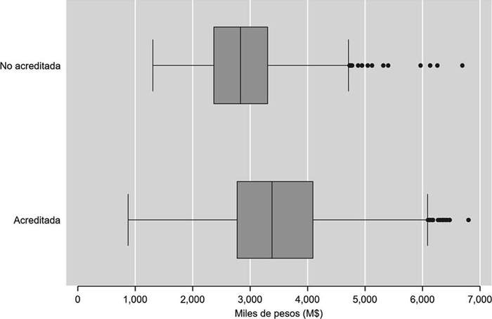
    Figura 3 – Costo Total por Estudiante, según años de acreditación institucional
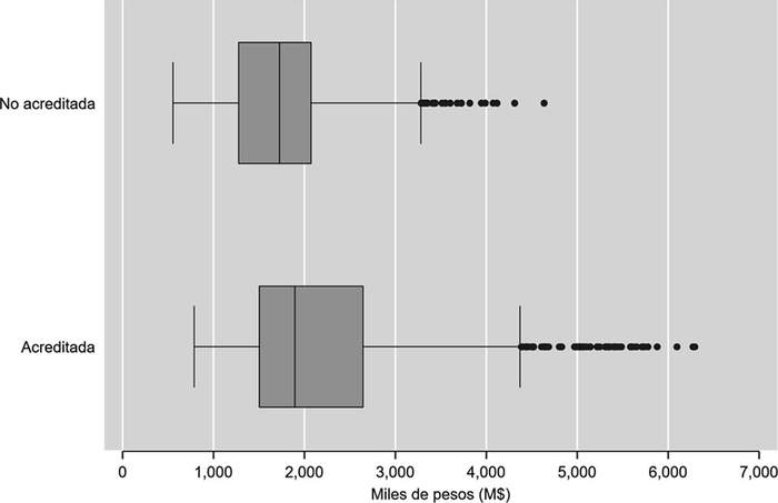
    Figura 4 – Costo Total por Estudiante, según años de acreditación institucional (IES con cuatro o menos años)
    Figura 5 – Costo Total por Estudiante, según acreditación en investigación (carreras profesionales)
    Figura 6 – Costo Total por Estudiante, según años de acreditación y certificación en un área optativa (carreras técnico-profesionales)
    Figura 7 – Costos Directos e Indirectos por Estudiante, según matrícula de pregrado IES
    Figura 8 – Costos Directos e Indirectos por Estudiante, según número de sedes de la IES
    Figura 9 – Costo Total por Estudiante, según localización de la sede central de la institución (sólo con carreras impartidas en regiones extremas)
    Figura 10 – Costos de gobierno central por estudiante, según localización de la sede central de la institución (sólo con carreras impartidas en regiones extremas)
    Figura 11 – Costo Total por Estudiante, según jornada
     
    Índice de Ecuaciones
     
    Ecuación 1 – Ajuste a variable de control de ingresos por aranceles
    Ecuación 2 – Ratio entre costos reportados y variable de control
    Ecuación 3 – Ajuste de ítems carrera (si Ratioi > 1)
    Ecuación 4 – Ajuste de ítems sede (si Ratioi > 1)
    Ecuación 5 – Ajuste de ítems institucionales (si Ratioi > 1)
    Ecuación 6 – Ítems de costos de carrera por estudiante
    Ecuación 7 – Ítems de costos de sede por estudiante
    Ecuación 8 – Costos de gobierno central por estudiante
    Ecuación 9 – Índice de distancia de la distribución normal (para CDIPC)
    Ecuación 10 – Ratios de reporte de infraestructura PES-SIES por ítem
    Ecuación 11 – Ajuste del reporte de infraestructura en función a metrajes SIES por ítem
    Ecuación 12 – Valor de arriendo promedio por ítem
    Ecuación 13 – Valor de infraestructura por estudiante
    Ecuación 14 – Índice de distancia de la distribución normal (para CINFPC)
    Ecuación 15 – Costos directos e indirectos por estudiante
    Ecuación 16 – Costos de inversión en infraestructura por estudiante
    Ecuación 17 – Costo total por estudiante
    Ecuación 18 – Preíndice de agrupación (carreras profesionales)
    Ecuación 19 – Preíndice de agrupación (carreras técnico-profesionales)
    Ecuación 20 – Índice de agrupación
    Ecuación 21 – Fórmula de cálculo del arancel regulado
     
    Glosario
     
   
     
   
     
   
     
   
     
    Introducción
     
    El Financiamiento Institucional para la Gratuidad, fue incorporado por primera vez como una glosa dentro de la Ley de Presupuestos del Sector Público el año 2016, destinada a costear los estudios superiores de los estudiantes pertenecientes al 50% de la población de menores ingresos que estuviesen matriculados en universidades estatales o universidades privadas que manifestaran su voluntad de adscribir a este financiamiento, previo cumplimiento de requisitos específicos. También como glosa presupuestaria fue incorporado en los años 2017 y 2018, en los cuales se amplió, respectivamente, a los institutos profesionales y centros de formación técnica, y al financiamiento de estudios gratuitos para estudiantes pertenecientes al sexto decil de menores ingresos.
    La Ley N° 21.091 sobre Educación Superior, publicada en mayo de 2018, consagra en forma permanente el Financiamiento Institucional para la Gratuidad, estableciendo asimismo, la regulación asociada a aspectos tales como los requisitos y condiciones que deben cumplir las instituciones -que deseen adscribir a este financiamiento- y los estudiantes -que busquen optar al beneficio-; el itinerario para su eventual ampliación a estudiantes de mayores niveles de ingresos en función de la recaudación fiscal estructural; la regulación de vacantes a las instituciones que se incorporen a esta política, y los criterios y procedimientos para la determinación del monto de este Financiamiento hacia las instituciones de educación superior (en lo sucesivo, "instituciones" o "IES"), junto con la conformación de una Comisión de Expertos para la Regulación de Aranceles (en lo sucesivo "CERA" o "Comisión de Expertos"), independiente de la Subsecretaría de Educación Superior (en lo sucesivo, "SUBESUP" o "la Subsecretaría") como contraparte técnica del proceso regulatorio.
    Uno de los aspectos centrales, en este contexto, es la determinación de valores regulados de aranceles, derechos básicos de matrícula y costos de titulación o graduación, en tanto constituyen la unidad base del Financiamiento Institucional para la Gratuidad (en lo sucesivo, "Política de Gratuidad"). Para ello, el artículo 90 de la Ley N° 21.091 dispone que la Subsecretaría debe establecer bases técnicas para la realización de dichos cálculos. Asimismo, la Ley N° 21.485 ha dispuesto que los primeros valores regulados deberán entrar en vigencia a partir del año académico 2024, estableciendo además que, para tales efectos, la Subsecretaría deberá publicar las primeras bases técnicas dentro del segundo semestre del año 2022.
    Dando cumplimiento al referido mandato legal, este documento fija las primeras bases técnicas para el cálculo de valores regulados, abordando los aspectos que dispone el referido artículo 90, a saber: "Estas bases contendrán el mecanismo de elaboración de grupos de carreras, las hipótesis, criterios de cálculo, metodologías y procedimientos conforme a los cuales se determinarán los valores regulados". La publicación de los primeros resultados de la implementación de estas definiciones conceptuales y metodológicas, expresados en el conjunto de procedimientos de cálculo aplicados conducentes a la determinación de montos regulados para el año académico, corresponde al Informe y Memoria de Cálculo, que la Subsecretaría debe emitir con posterioridad a la publicación de las bases técnicas, dentro del plazo de siete meses contado desde la resolución exenta que establece las bases técnicas, de acuerdo a lo estipulado en el artículo 92 de la Ley.
    El presente documento se organiza en cuatro capítulos. El primero establece el marco normativo para la determinación de estas bases técnicas, en particular en lo que respecta al objeto, alcance y definiciones legales fundamentales bajo las cuales se enmarca el presente proceso regulatorio. El segundo capítulo fija criterios y procedimientos para la recolección, procesamiento y análisis de la información de costos de carreras y programas. El tercero establece la metodología para el cálculo de los valores regulados, explicitando la metodología de conformación de grupos de carreras y determinación de aranceles regulados para cada uno de ellos, y los procedimientos para la regulación de valores de derechos básicos de matrícula y costos de titulación o graduación. Finalmente, el cuarto establece las primeras áreas y tipos de carreras a regular a partir del año académico 2024, y plantea consideraciones finales con miras a los futuros procesos.
     
    1. Objeto, alcance y definiciones normativas de la presente regulación
     
    El presente proceso de regulación está reglamentado en el Párrafo 2° del Título V de la Ley N° 21.091 sobre Educación Superior: "De los valores regulados de aranceles, derechos básicos de matrícula y cobros por concepto de titulación o graduación", que contiene los artículos 88-94 de la referida norma. Previamente, la Ley en su artículo 85 establece que la Subsecretaría determinará un monto anual expresado en pesos para las IES que accedan al Financiamiento Institucional para la Gratuidad, considerando los valores de aranceles regulados y derechos básicos de matrícula establecidos de conformidad al procedimiento estipulado en esta normativa, y el volumen de estudiantes de cada institución, contemplando la información de a lo menos los tres últimos años.(1)
    A su vez, el artículo 87 literal a) de esta Ley establece, como parte de las obligaciones a las que deben dar cumplimiento las IES adscritas a la Gratuidad el regirse por la regulación de aranceles, derechos básicos de matrícula y cobros por concepto de titulación o graduación, establecidas en el párrafo 2° (artículos 88 y siguientes) y en conformidad al párrafo 5° del presente título (artículos 103 y siguientes). Asimismo, el Párrafo 5° explicita el deber de las IES de otorgar estudios gratuitos a los estudiantes que califiquen para ello durante el período de duración formal de sus carreras, entendiendo para tales efectos el eximirlos de todo cobro de aranceles o matrículas, facultándolas para cobrar costos de titulación o graduación por un monto máximo equivalente al establecido a partir de este proceso de regulación. En este contexto, el antes referido Párrafo 2° del Título V indica la forma en que deben establecerse los valores regulados de aranceles, derechos básicos de matrícula y cobros por concepto de titulación o graduación. Respecto de los aranceles, el artículo 88 en su inciso segundo dispone que sus valores se determinarán "en razón a "grupos de carreras" definidos por la Subsecretaría, los que corresponderán a conjuntos de carreras o programas de estudios que tengan estructuras de costo similares entre sí" (el subrayado es nuestro). Establece, asimismo, que para construir dichos grupos "la Subsecretaría deberá considerar, al menos, los recursos que se requieran para impartirlas en razón de su estructura curricular, si se trata de carreras o programas de estudios profesionales  o  técnicos  de  nivel superior,  los niveles,  años  y  dimensiones  de  acreditación
     
_________________
(1)Por su parte, el inciso segundo del referido artículo 85 expresa una regla especial para aquellas instituciones nuevas: para establecer el volumen de estudiantes en el caso de instituciones nuevas se considerarán, mientras no alcance el mínimo de años señalado en el inciso anterior, los años para los cuales la institución disponga la información. Finalmente, dispone el inciso tercero que las IES sólo efectuarán la rendición del aporte institucional para la gratuidad a la Superintendencia, de conformidad a las normas de carácter general que ésta dicte.
     
    institucional con que cuentan las instituciones que las imparten, el tamaño de estas últimas y la región en que se imparten".
    Es preciso señalar, además, que la Ley no establece una definición explícita respecto a qué entenderá por "estructura de costos". Más aún, la única mención a este concepto en todo el texto de la Ley se encuentra precisamente en el artículo 88 antes referido, que define los grupos de carreras como conjuntos de carreras o programas "que tengan estructuras de costos similares entre sí". El artículo, además, establece que para el establecimiento de estos grupos la Subsecretaría debe considerar, a lo menos, el catálogo de variables antes señalado. Es decir, el legislador dispuso que la consideración de estas variables es el mecanismo a través del cual la Subsecretaría puede lograr la mejor aproximación posible a las estructuras de costo de las carreras y programas, y así agrupar en base a estructuras similares. En otras palabras, la premisa que está a la base de esta norma es que, un grupo de carreras que compartan características comunes definidas a partir del catálogo de variables establecidas en el artículo 88, poseerán estructuras de costos similares.
    El artículo 89 en su inciso primero establece el objeto del arancel regulado, que determina el valor que este debe alcanzar: "El arancel regulado deberá dar cuenta del costo de los recursos materiales y humanos que sean necesarios y razonables, de acuerdo a lo previsto en las bases técnicas señaladas en el artículo 90, para impartir una carrera o programa de estudios de los grupos de carreras respectivos" (lo subrayado es nuestro). Es decir, de acuerdo a la Ley, los aranceles regulados no están destinados al financiamiento de todo el quehacer de una institución de educación superior adscrita al régimen de gratuidad, sino específicamente al financiamiento de los costos -necesarios y razonables- asociados a la impartición de una carrera o programa de pregrado. Cabe hacer presente este imperativo, habida cuenta de que el presente proceso regulatorio, así como el quehacer de la Subsecretaría en general y en particular, se enmarca dentro de los términos propios de la denominada "regla de oro" del derecho público chileno: ninguna magistratura, ninguna persona ni grupo de personas pueden atribuirse, ni aun a pretexto de circunstancias extraordinarias, otra autoridad o derechos que los que expresamente se les hayan conferido en virtud de la Constitución o las leyes, expresado en el artículo 7 de la Constitución Política de la República.
    El inciso segundo del referido artículo, por su parte, establece que el arancel regulado "deberá considerar tanto los costos anuales directos e indirectos como el costo anualizado de las inversiones en infraestructura, tales como laboratorios, servicios, edificios y uso de dependencias". Empero, la Ley no prescribe definiciones específicas respecto a cómo entender y categorizar tales costos, siendo así potestad de la Subsecretaría su delimitación, aunque dicha atribución se enmarca dentro del mandato legal de dar cuenta en forma específica de costos asociados a la impartición de una carrera o programa de pregrado.
    Este aspecto ha sido también advertido en forma expresa por la Comisión de Expertos, que ha propuesto el carácter "necesario" de los costos a considerar en un doble sentido. Por un lado, como una preocupación expresa por incorporar todos los ítems o rubros de costos que se requieren para impartir carreras y programas de pregrado en el país. Por otro, como un imperativo de que el cálculo excluya aquellos rubros o ítems de costos que no resultan "necesarios" para este fin específico (CERA, 11 de enero de 2022, p. 6), aun cuando pudiesen resultar atributos deseables del quehacer de una institución de educación superior y/o contribuyan al desarrollo de sus demás actividades misionales.
    Finalmente, en cuanto a los valores de los derechos básicos de matrícula, el artículo 88 establece que estos corresponden a un valor anual por estudiante, determinado según tipo de institución (universidad, centro de formación técnica o instituto profesional), mientras que los valores de los cobros por concepto de titulación o graduación corresponden a un valor único por estudiante para uno o más grupos de carrera. A diferencia de lo que ocurre en el caso de aranceles, esta norma no establece directrices específicas sobre la cuantía ni el carácter de los costos que estos valores deben cubrir. Asimismo, en contraposición a los aranceles y derechos básicos de matrícula, los cobros por concepto de titulación o graduación no forman parte de la transferencia anual que el MINEDUC debe realizar a las instituciones por concepto de Financiamiento Institucional para la Gratuidad, siendo este un aspecto en el cual las instituciones están facultadas para efectuar cobros, cuyo límite superior es el que fija la presente regulación.
     
    2. Información de costos de carreras y programas
     
    El presente capítulo describe el proceso de construcción de la información estadística de costos de carreras y programas de estudios, a partir de la cual serán implementados los procesos de agrupación y cálculo conducentes a la determinación de valores regulados que se detallan en el Capítulo 3, para los primeros grupos de carreras a regular que se consignan en la sección 4.1.
     
    Se hace presente que las bases técnicas fijan definiciones, criterios y procedimientos, siendo materia del posterior Informe de Cálculo la presentación de resultados de la aplicación de estos, en conformidad a lo estipulado en los artículos 90 y 92 de la Ley N° 21.091 respecto a las características de ambas etapas y productos asociados a este proceso de regulación.
     
    2.1. Sobre la unidad de observación: "carrera o programa de estudios"
     
    La Ley N° 21.091 no establece una definición específica respecto a qué entender por "carrera" o "programa de estudios" como unidad de observación para efectos de la presente regulación. Tomando como referencia el Código Único SIES (I-C-S-J-V), se entenderá para estos efectos una carrera "C", impartida por una institución de educación superior "I", en una sede "S" y una jornada "J". Es decir, la definición operativa de "carrera o programa de estudios" en las presentes bases técnicas corresponde una unidad identificable a partir de cuatro de los cinco criterios que conforman el referido Código. La importancia de definir con claridad la definición operativa de "carrera o programa de estudios" a utilizar, radica en que es sobre esta unidad de observación que se realizan luego los procesos de recolección y análisis de información de costos, como se detalla en las siguientes secciones.
    El componente del Código no considerado corresponde a la versión "V". Este campo da cuenta de diferencias particulares de una carrera con otra de la misma denominación, sede y jornada, distinguiendo, por ejemplo, diferentes modalidades en las cuales la carrera es impartida -cabe recordar que la Gratuidad cubre únicamente programas presenciales- o bien otros atributos que las distingan -duración, arancel, etc.-. Se ha eliminado este campo para efectos de la definición operativa de "carrera o programa de estudios", debido a que podría inducir a dobles conteos, al considerar como programas distintos diferentes planes de estudios de una misma carrera, cuestión que sucede frecuentemente en el caso de programas formativos que se han sometido a procesos recientes de revisión y ajuste curricular, y poseen por lo tanto cohortes de estudiantes matriculados cursando distintos planes de estudios.
    Por otra parte, la definición de la unidad de observación debe dar cuenta explícitamente del tratamiento de aquellos casos de carreras impartidas por IES que cuentan con un administrador de cierre designado conforme a lo dispuesto en la Ley N° 20.800, que crea el administrador provisional y administrador de cierre de instituciones de educación superior y establece regulaciones en materia de administración provisional de sostenedores educacionales, el cual ha suscrito un convenio con alguna institución con acreditación vigente de al menos cuatro años de acuerdo a lo establecido en el mismo cuerpo legal. Para todos los efectos de la presente regulación, se entenderá por institución "I" aquel plantel educativo que recibe a los estudiantes en convenio, incorporándose estos dentro del total de matriculados/as en la carrera en cuestión impartida por la IES receptora(2). Es decir, para efectos del cálculo del Financiamiento Institucional para la Gratuidad otorgado a cada institución, los montos asignados por cada estudiante de una carrera "X" de una institución en cierre serán los equivalentes a los valores regulados para la carrera "X" en la Universidad en la cual actualmente está culminando sus estudios.
    En síntesis, en lo sucesivo al hablar de "carrera" o "programa de estudios" en las presentes bases técnicas, se estará haciendo referencia a una unidad de observación consistente en un programa formativo de pregrado impartido por una institución adscrita a la Política de Gratuidad en el año de dictación de las presentes bases técnicas (2022), que cumple con las siguientes características. Todas ellas, observadas tomando como referencia la base de datos de Oferta Académica de SIES correspondiente al año para el cual la Subsecretaría ha recopilado información de costos para efectos de la presente regulación (en este caso, 2021).
     
    . Es conducente a un título técnico de nivel superior, título profesional (con o sin licenciatura) o licenciatura no conducente a título profesional. Se incluyen también programas de formación inicial general, tales como bachilleratos u otros equivalentes de conformidad a las normas vigentes (Art. 105, Ley N° 21.091).
    . Es identificable a través del código único SIES, considerando las variables Institución (I), sede (S), carrera (C) y jornada (J).
    . Es impartido en modalidad presencial (ver Glosario).
     
     
     
_________________
(2) Estos casos corresponden a tres instituciones: U. Católica del Maule, U. de Santiago de Chile, y U. Tecnológica Metropolitana, que han suscrito convenios con las administraciones de cierre de la U. ARCIS, U. Iberoamericana de Ciencia y Tecnología, y U. del Pacífico, respectivamente.
     
    . Está actualmente vigente (ver Glosario), independientemente de que acepte nuevos estudiantes de primer año (vigencia= 1), o bien solamente permanezca en vigencia a partir de matriculados/as de cursos superiores (vigencia= 2).
     
    2.2. Proceso de recolección de información para la regulación
     
    2.2.1. Levantamiento de información de costos del año 2021
     
    La información financiera recolectada periódicamente hasta la fecha en el sistema de educación superior chileno consiste en los Estados Financieros auditados y la Ficha Estandarizada Codificada Única de Situación Financiera (FECU). Estos instrumentos son administrados por la Superintendencia de Educación Superior (SES), y dan cuenta de información agregada a nivel institucional, en conformidad con los propósitos de fiscalización y supervigilancia respecto al cumplimiento por parte de las IES de las disposiciones legales y reglamentarias que las rigen. Por tratarse de datos institucionales, sin embargo, los referidos instrumentos no presentan un nivel de desagregación que permita su utilización para efectos de determinar los valores objeto de esta regulación.
    Con el propósito de disponer de información actualizada, específica y desagregada -o, al menos, susceptible de serlo- al nivel de la carrera o programa de pregrado, la Subsecretaría llevó a cabo entre agosto y octubre de 2022 un nuevo proceso de levantamiento de información de costos (en adelante e indistintamente, "levantamiento de costos 2021" o "reporte PES"). Este proceso consideró a la totalidad de las carreras y programas presenciales de las instituciones adscritas a la Gratuidad, para las cuales se solicitó información sobre sus costos del año 2021. El proceso se llevó a cabo a través de la Plataforma de Educación Superior (PES) del Ministerio de Educación -http://pes.mineduc.cl-(3).
    Tomando en consideración la viabilidad operativa de recolectar un amplio volumen de información en un período acotado de tiempo, la opción asumida por la Subsecretaría ha sido el priorizar la disponibilidad de información actualizada al año 2021 de todas las carreras elegibles para la Gratuidad, antes que un mayor número de años para uno o más grupos de carreras acotados. Esta determinación, además, se hace cargo de una observación planteada por la Comisión de Expertos, que reconoce que la estimación de costos actuales a partir de una serie de varios años entraña el riesgo de subestimar los costos reales de las instituciones, frente a lo cual sugería reducir el número de años o bien incluir algún factor que ponderase favorablemente los valores más recientes (CERA, 11 de enero de 2022).
    Frente a estas dos alternativas se ha optado por la primera, decisión fundada en la relevancia de contar con información actualizada de la totalidad de la oferta formativa de pregrado elegible, con miras a sentar las bases para la implementación de un proceso anual de recolección de información de costos de carreras a partir del año 2023 (ver sección 4.2.). Asimismo, disponer de información de todas las carreras y, con ello, de una mayor cantidad de observaciones para la construcción del modelo, permite "aplanar" las desviaciones de costos de las carreras, ventaja comparativa relevada también por la CERA en el referido documento del 11 de enero de 2022.
     
    2.2.2. Definiciones e ítems utilizados en el levantamiento de costos 2021
     
    El artículo 89 de ley N° 21.091 dispone que el arancel regulado deberá considerar tanto los costos anuales directos e indirectos como el costo anualizado de las inversiones en infraestructura, tales como laboratorios, servicios, edificios y uso de dependencias. Para efectos de la presente regulación, se ha establecido un criterio de clasificación operativo, en función del propósito de que los aranceles regulados den cuenta de un valor anualizado por estudiante, lo cual requiere que todo costo considerado pueda ser atribuido a nivel de matrícula.
    En consecuencia, los costos directos consisten en todos aquellos componentes del gasto requerido para impartir una carrera o programa que resultan directamente atribuibles al nivel de la carrera o programa en cuestión, y fueron recolectados en la Plataforma PES a partir del módulo de costos a  nivel de carrera (CC).  Por el contrario,  se  entiende por  costos indirectos  a
     
     
_________________
(3) Para este proceso de recolección, la Subsecretaría habilitó una sección especial de "Aranceles Regulados" en la referida plataforma, a la cual se otorgó acceso individualizado a las contrapartes técnicas personas formalmente designadas por cada institución. Esta sección consistió en cinco módulos de reporte, asociados a las distintas definiciones e ítems de costos que se describen en la sección 2.2.2., y que fueron formalmente conocidas por las instituciones a partir de un Manual de Acompañamiento para el Levantamiento de Costos 2021.
     
    todos aquellos gastos relevantes para impartir una carrera o programa que, ya sea por su  naturaleza misma o por las características de la institución, no pueden ser directamente atribuidos al nivel de la carrera, en tanto corresponden a una entidad o mayor. En la Plataforma PES, estos últimos fueron reportados a partir de dos módulos: costos a nivel de sede (CS) y costos institucionales (CI).
    La Tabla 1 a continuación resume los ítems de costos directos e indirectos considerados en el levantamiento de costos, todos ellos reportados en miles de pesos (M$) de diciembre de 2021 y que para efectos de los procedimientos y cálculos posteriores han sido reajustados de acuerdo al IPC acumulado a diciembre de 2022. Es preciso señalar que, para este proceso de recolección, en el caso de los ítems de remuneraciones del personal administrativo operacional (CC.2.), bienes de consumo operacionales (CC.4.), servicios informáticos (CC.5.) y costos de mantenciones y reparaciones (CS.3.) se instruyó a las instituciones que, en caso de no disponer de información desagregada para el registro al nivel solicitado para cada ítem (carrera o sede), pudiesen repartir el monto total de la sede o institución en proporción a la matrícula de las respectivas carreras.
    Esta determinación responde, en lo fundamental, a un criterio de realidad operativa. Dada la autonomía financiera que nuestro marco legal otorga a las IES, actualmente existen muy heterogéneas formas de definición de los centros de costos en cada una de ellas. Si bien resulta deseable avanzar hacia un estándar unificado de contabilización al nivel más desagregado posible, aquello requiere necesariamente un mayor tiempo de maduración de esta regulación en el sistema, que permita la instalación y fortalecimiento de las capacidades de observación y contabilización en las instituciones (ver punto 4.2.).
     
    Tabla 1 – Ítems de costos directos e indirectos en levantamiento de información 2021
     
   
     
   

     
_________________
(4) Esta consideración se incorpora de manera extraordinaria y por única vez en la recolección de información 2021, reconociendo el carácter particular de este año en cuanto a la actividad presencial en la docencia de pregrado en el sistema de educación superior.

     
    En cuanto al costo anualizado de inversión en infraestructura, para efectos de la presente regulación, se entiende como un valor representativo de los costos de oportunidad asociados a la infraestructura utilizada por cada carrera, definición que responde a la necesidad de utilizar un criterio unificado para el conjunto del sistema de educación superior. Como lo analizó la Comisión de Expertos, el establecer una medida unificada que permita dar cuenta de "el costo de oportunidad real de los recursos invertidos por la institución en infraestructura" (CERA, 11 de enero de 2022, p. 9) se orienta a controlar potenciales sesgos metodológicos en función de la situación de propiedad o tenencia que cada IES posea respecto a las respectivas instalaciones en las cuales se imparten sus carreras o programas.
    En tal sentido, el proceso de recolección de información de infraestructura tuvo como propósito central la recopilación de datos que permitiesen dos cosas: obtener una medida del valor promedio de la inversión en infraestructura, e imputar dicha medida a cada carrera a partir de su intensidad de uso de las respectivas instalaciones. En síntesis, el objetivo es la construcción de una estimación razonable del valor de los metros cuadrados (m2) de la infraestructura utilizados para actividades asociadas a impartir cada una de las carreras y programas incorporadas a la regulación, procedimiento de cálculo que se detalla luego en la sección 2.4.
    En consecuencia, la recolección de información de infraestructura se organizó en dos módulos de la Plataforma PES, cuyas definiciones se detallan en las Tablas 2 y 3 al término de la presente sección. En el módulo de infraestructura institucional (II), tuvo como principal propósito el recopilar antecedentes que permitieran la construcción de una estimación razonable del valor del metro cuadrado promedio de infraestructura necesaria para impartir docencia de pregrado, en función de distintas expresiones que esta posee (salas de clases y oficinas, auditorios, laboratorios, talleres, casinos y cafeterías, áreas verdes y de esparcimiento).
    En base a este propósito, la unidad de observación en el referido módulo fueron los edificios e instalaciones utilizadas por cada institución para actividades asociadas a impartir carreras y programas de pregrado, identificados a partir de sus respectivos números de Rol (II.1.). Para todas las IES y números de rol, el levantamiento solicitó reportar la situación de posesión y/o tenencia que la institución posee respecto de aquel bien raíz (II.2.), como también los valores de tasación comercial, de arriendo, y los metros cuadrados totales disponibles de salas de clases y oficinas (II.3, 4 y 5), auditorios (II.6, 7 y 8), laboratorios (II.9, 10 y 11), talleres (II.12, 13 y 14), casinos y cafeterías (II.15, 16 y 17), y de áreas verdes y de esparcimiento (II.18, 19 y 20).
    Tanto los valores de tasación como de arriendo fueron solicitados en Unidades de Fomento (UF). Los valores de arriendo fueron de reporte obligatorio en el caso de aquellas dependencias cuya situación de tenencia por parte de la IES es de arriendo o de leasing, sin perjuicio de lo cual era un campo abierto para el reporte en el caso de que las instituciones contaran con antecedentes que les permitiesen establecer un valor posible de arriendo respecto de aquellas instalaciones de las cuales son propietarias.
    En cuanto al reporte de valores de tasación, el Manual de Acompañamiento instruyó tres aspectos esenciales. En primer lugar, en aquellos casos en los que dentro de un mismo número de rol existan distintos edificios o instalaciones, el "valor de tasación" a reportar para cada uno de los ítems corresponde a la suma de las tasaciones de cada una de las dependencias referidas. Asimismo, en el caso en que dentro de un edificio que posee un valor de tasación "X" existan distintos tipos de instalaciones, el valor de tasación del edificio debe ser prorrateado en los respectivos metros cuadrados que existen de cada tipo de instalación. Finalmente, se solicitó también a las instituciones reportar el año de la última tasación comercial del bien raíz correspondiente (II.21) en el caso en que se esté reportando algún valor de tasación para la propiedad en cuestión, debiendo considerarse el año más reciente en el caso en que existan distintas tasaciones para diferentes edificios o instalaciones dentro de un mismo N° de rol.
     
     
_________________
(5) Si bien la publicidad falsa o engañosa está tipifica como infracción gravísima en el artículo 53 de la Ley N° 21.091, no existe en nuestro ordenamiento jurídico una regulación sobre los caudales de gasto que las instituciones de educación superior realizan en publicidad, ni tampoco de las características que esta puede contener. En consecuencia, desde la perspectiva del regulador, los gastos en publicidad no constituyen costos pertinentes de considerar para efectos de determinar un mecanismo de asignación de recursos públicos.
     
     
    Por último, el módulo solicitó a las IES explicitar el método de contabilización que utilizan para valorizar los activos de acuerdo a las Normas Internacionales de la Información Financiera (IFRS/NIIF), distinguiendo dos criterios. Por un lado, el costo histórico (historical cost), que corresponde al valor de los costos en los que efectivamente se incurrió al adquirir o al crear el activo en cuestión. Por otro, el valor razonable (fair value), consistente en el precio por el cual puede ser intercambiado el activo en una transacción entre un comprador y un vendedor en condiciones de independencia mutua (IFRS Foundation, 2018).
    El módulo de Infraestructura de la Carrera (IC) tiene por objeto dar cuenta del uso efectivo de m2 de infraestructura y terrenos por cada carrera o programa de pregrado. El propósito de este módulo es recopilar información respecto a la intensidad de uso efectivo de los distintos ítems de infraestructura por parte de cada carrera o programa. Para ello, se toma como unidad de observación las distintas propiedades o bienes raíces en los cuales se realizan las actividades académicas de la carrera, a través de sus números de rol (IC.1.), siendo posible así para cada carrera o programa reportar tantos números de rol como instalaciones distintas sean utilizadas para su impartición. Para cada propiedad o bien raíz, se solicitó reportar los m 2 utilizados por la carrera o programa en salas de clases y oficinas (IC.2.), auditorios (IC.3.), laboratorios (IC.4.), talleres (IC.5.), casinos y cafeterías (IC.6.), y áreas verdes y de esparcimiento (IC.7).
    En el Manual de Acompañamiento (pp. 11-12) se formularon dos instrucciones explícitas para este reporte. En primer lugar, que lo contabilizado debía corresponder a infraestructura efectivamente utilizada para impartir la carrera o programa, razón por la cual la suma total de los m2 reportados por las carreras y programas de una institución tiene como límite superior los m 2 totales reportados para cada rol de propiedad en el módulo de Infraestructura Institucional (IC). En segundo lugar, y asociado a la instrucción anterior, que en el caso de aquellas carreras que comparten alguna determinada instalación, los m 2 de esta debían ser prorrateados por cada una de ellas, siendo así decisión de la institución el distribuir los m 2 entre cada carrera en forma igualitaria, o bien hacerlo de manera diferenciada para dar cuenta de diferentes intensidades de uso de infraestructura (6).
     
    Tabla 2 – Ítems de infraestructura institucional en levantamiento de información 2021
     
   
     
_________________
(6) El Manual de Acompañamiento (p. 12) estableció el siguiente ejemplo: si dos carreras comparten 100 m 2 de laboratorio, pueden imputar 50 m 2 a cada una, o bien reconocer una de ellas como más intensiva en uso de laboratorios que la otra y por lo tanto imputarles 70 y 30 m 2, respectivamente.
     
   
     
    Tabla 3 – Ítems de infraestructura de la carrera en levantamiento de información 2021
     
   
     
    2.3. Tratamiento de costos directos e indirectos
     
    2.3.1. Construcción y depuración de base de datos unificada
     
    Una vez reunidos los datos informados por las instituciones de educación superior adscritas a la Gratuidad, los registros reportados en los módulos de costos de carrera, sede e institución han sido complementados con la información proveniente de la información de oferta académica efectivamente utilizada para la asignación de beneficios estudiantiles 2021, proporcionada por el Departamento de Financiamiento Estudiantil (DFE) de la Subsecretaría. Esta información incluye el respectivo código SIES de la carrera o programa, sus valores de aranceles reales, referenciales y regulados, su tamaño de matrícula y ubicación desagregada en región, comuna y sede.
    En una primera revisión de esta base unificada, se deben realizar los siguientes procedimientos.
     
    . Determinar que las carreras y programas reportados en el levantamiento de costos hayan sido efectivamente parte del conjunto de carreras que recibieron Gratuidad en el año 2021. En caso contrario, estas son descartadas, con excepción de aquellas que sean impartidas por instituciones que se incorporaron a la Política de Gratuidad por primera vez a partir del año 2022, que es el caso de la Universidad y el IP Santo Tomás.
    . Verificar que las carreras reportadas por las instituciones correspondan a los tipos de planes (regulares o especiales) y modalidad (presencial) elegibles de ser beneficiarias de la Gratuidad. Excluir de la base de datos aquellas que no cumplan alguno de estos criterios.
    . Excluir las carreras y programas de instituciones adscritas a la Política de Gratuidad en 2021, que comunicaron a la Subsecretaría su decisión de dejar de percibir el financiamiento en 2022, conforme a lo dispuesto en el inciso tercero del artículo 86 de la Ley N° 21.091. Esto corresponde a las carreras impartidas por el CFT de Tarapacá y el IP Instituto Nacional del Fútbol.
    . Excluir las carreras de instituciones adscritas a la Gratuidad en 2021, que no hayan reportado información en el levantamiento de costos.
    . Identificar que no existan problemas de reporte y que la información haya sido provista de forma consistente con la unidad de medida en que ha sido solicitada, con especial énfasis en que el reporte haya sido efectuado en miles de pesos (M$) del año 2021. En los casos en que se han detectado discordancias que pueden ser directamente explicadas debido a la unidad de medida (ej. haber reportado en $ en vez de M$), estas fueron corregidas por la Subsecretaría.
     
    De este modo, los procedimientos de depuración descritos permiten disponer de una base de datos unificada, compuesta exclusivamente por carreras y programas cuyos costos directos e indirectos han sido válidamente reportados en unidades monetarias comparables.
     
    2.3.2. Auditoría de costos reportados en base a ingresos por aranceles
     
    A partir de la base de datos antes descrita, el siguiente paso consiste en una revisión de la validez y confiabilidad de la información de costos reportada. Esta operación resulta indispensable en cualquier proceso de regulación económica, en tanto un problema central que estos enfrentan es la asimetría de información existente entre el regulador y los regulados, y el problema de "riesgo moral" (moral hazard) que aquello trae consigo (Bordogna, 2008; Viveros, 2015; Sedatole, Vrettos & Videner, 2012).
    Esta dificultad se hace aún más patente en educación superior, dada su condición de "bien de confianza" o "bien de experiencia" en términos económicos (Berg, Kim & Seon, 2021; Tavara, 2014; Brunner & Ganga-Contreras, 2018). De este modo, la utilización de variables de control respecto de la información recolectada resulta indispensable en aras de la responsabilidad que posee el regulador respecto a otorgar garantía pública del cuidado y buen uso de los recursos públicos, controlando así el riesgo moral asociado a la estimación de aportes fiscales a partir de información reportada por los mismos regulados, dada la eventual expectativa de que un mayor valor reportado se traduzca por defecto en una mayor asignación de recursos.
    En el presente proceso regulatorio, el Manual de Acompañamiento proporcionado a las IES como guía para el levantamiento de información de costos del año 2022 señala que los Estados Financieros auditados del año 2021 serán utilizados "como referencia primaria" para estos efectos (SUBESUP, 14 de septiembre de 2022, p. 3). Es decir, la utilización de los antecedentes financieros oficiales previamente disponibles como mecanismo de control de validez y confiabilidad de los datos reportados fue una información clara y conocida para las instituciones al momento de reportar sus costos. Cabe asimismo señalar que los costos reportados no deben reflejar la totalidad de los costos de la institución, sino únicamente de la proporción de estudiantes de pregrado que estaban matriculados el año 2021 en las carreras reportadas. De igual forma, cabe señalar que este control involucra solamente a los costos directos e indirectos, sin considerar a los asociados a infraestructura, cuyo procedimiento de revisión y ajuste se detalla en la sección 2.4.2.
     
    Considerando lo anterior, y a partir de las alternativas disponibles sobre la base de la información financiera oficial recopilada por la Superintendencia de Educación Superior (SES) para el año 2021, se ha establecido como variable de control el monto total de ingresos por aranceles reportados en la Ficha Estandarizada Codificada Única de Situación Financiera (FECU) del año 2021 de cada institución. En el caso de detectar instituciones que no presentan información en la referida Ficha FECU, se utiliza el total de ingresos por aranceles reportados en sus Estados Financieros Auditados publicados por la SES. La utilización del total de ingresos por aranceles responde a la situación actual en la cual estos constituyen la principal fuente de ingresos de todas las instituciones del sistema, no obstante, reconoce también la posible existencia de "subsidios cruzados" entre el pregrado y postgrado (Escudero, Salto & Zalazar, 2016; Gutiérrez, Mondragón & Santacruz, 2019), cuya omisión podría inducir a potenciales sesgos al considerar exclusivamente vis-a-vis los aranceles de pregrado como medida de los costos.
    En la eventualidad de detectarse una institución que no presente información financiera en ninguna de estas dos fuentes de acuerdo a los registros publicados en el Sitio Web de la Superintendencia de Educación Superior (SES), la variable de control a utilizar será una estimación de "ingresos por aranceles reales de pregrado", es decir, el resultado de la multiplicación entre los aranceles reales de la institución y el total de estudiantes matriculados en el año 2021.
    Una vez determinada la variable de control (FECU, EEFF o "ingresos por aranceles reales"), es posible realizar ajustes a los costos reportados por las instituciones. Previamente, sin embargo, es preciso realizar un tratamiento a esta variable de control para aquellas instituciones que no hayan reportado la totalidad de sus carreras. Para ello, la variable de control "IngAranceles" es multiplicada por la proporción entre el número de estudiantes con Gratuidad de las carreras informadas por cada institución en el reporte PES, y el total de estudiantes con Gratuidad en 2021 de la institución de acuerdo a la información consignada en la base de datos de beneficios estudiantiles descrita en la sección 2.3.1. Para aquellas instituciones no adscritas a la Gratuidad en 2021, se les imputa la proporción promedio de estudiantes reportados/estudiantes totales de todas las demás instituciones de la base de datos.
    De este modo, la variable de control es ajustada en aquellas instituciones que no reportaron todas sus carreras, y no sufre modificaciones para las IES que informaron el 100% de su oferta 2021 adscrita a la Gratuidad, como se observa en la Ecuación 1, donde "nPESci" es la matrícula de pregrado de cada carrera "c" impartida por una institución "i" obtenida desde el reporte PES, y similarmente se define nDEF ci a partir de la base de datos de beneficios estudiantiles.
     
   
     
    Establecida así la variable de control, esta es luego contrastada con la suma total de los costos de carrera, sede e institución reportados por la institución. Para estos últimos, se considerará únicamente los costos de gobierno central (CI1), en tanto serán los únicos utilizados para establecer valores regulados de aranceles. El tratamiento específico de los ítems asociados a los derechos básicos de matrícula (CI 2) y de titulación o graduación (CI 3) se especifica en la sección 3.4. de estas bases, y se entienden, para todo efecto y en lo sucesivo, excluidos de los procesos de ajuste y tratamiento que se describen a lo largo de esta sección 2.3.
    La Ecuación 2 muestra el ratio entre los costos reportados y la variable de control, siendo "x" cada uno de los ítems reportados en los módulos de costos de carrera (CC), sede (CS) e institución (CI), para una carrera "c" impartida en una sede "s" por una institución "i"(7). En aquellos casos en los cuales esta relación sea superior a 1, los valores totales de sus respectivos ítems de costos serán ajustados en una proporción equivalente a aquella que permita que el ratio entre costos reportados e ingresos por aranceles se ajuste al valor 1 (ecuaciones 3, 4 y 5)
     
   
     
_________________
(7) En lo sucesivo, esta notación será utilizada para todas las ecuaciones, a saber: "x" es un ítem de costos, "c" es una carrera, "s" una sede e "i" una institución.
     

     
    2.3.3. Ajustes a los datos auditados y construcción de valores por estudiante
     
    Una vez realizados los pasos anteriores, es necesario realizar correcciones adicionales a la base de datos. En primer lugar, los ítems de costos a nivel de sede (CS) se ajustan conforme a la proporción de matrícula de pre y postgrado de cada una de las respectivas sedes de la institución. Este procedimiento no ha sido realizado para los costos de carrera (CC) e institución (CI), toda vez que las instrucciones formuladas en el Manual de Acompañamiento solicitaban que estos ítems fuesen reportados excluyendo los componentes de postgrado.
    En segundo lugar, se ha verificado que las carreras consideradas en la base de datos contasen con estudiantes matriculados en el año 2021. Considerando que el imperativo de este ejercicio es establecer valores por estudiante, aquellas carreras para las cuales no sea posible disponer de un denominador para tales efectos deben ser descartadas de la base de datos.
    Una vez efectuados estos ajustes, cada uno de los ítems de costos debe ser dividido por la matrícula total del nivel que le corresponde, obteniendo así un valor per cápita por cada uno de ellos (CCPC, CSPC, CIPC1). Siendo "n ci", "n si" y "n i" el número de estudiantes matriculados en una carrera "c", sede "s" o institución "i" respectivamente, y denotando como "x" el número de ítems contemplados en cada nivel, los costos por estudiante asumen la forma reflejada en las ecuaciones 6, 7 y 8.
     
   
     
     
    Finalmente, una vez efectuado este procedimiento, se descartan de la base de datos aquellas carreras que no presenten información reportada en algún ítem específico del reporte PES a nivel de costos de carrera (CC), y que, por lo tanto, posean un valor 0 en alguno de los ítems de costos de carrera por estudiante.
     
    2.3.4. Tratamiento de outliers y estimación de costos directos e indirectos por estudiante
     
    Además de constituir un paso indispensable de control de validez y confiabilidad, el proceso de auditoría detallado en 2.3.2. posee una ventaja adicional en términos estadísticos: permite reducir tempranamente la cantidad de valores atípicos y con ello disminuir la dispersión en los datos. Sin perjuicio de aquello, una vez disponibles los ítems de costos auditados y ajustados, y llevados a valores per cápita, es preciso establecer criterios para el tratamiento de outliers. Para estos efectos, se emplea un mecanismo estandarizado, verificable y replicable de tratamiento de los valores atípicos ("outliers"), que entregue certeza a los regulados.
    Dentro de las alternativas posibles, se ha optado por la utilización de una transformación estadística Winsor (Nicklin & Plonsky, 2020; Yu & Zhao, 2015), procedimiento consistente en el reemplazo de los valores ubicados por fuera de un determinado límite inferior y superior por aquellos valores inmediatamente adyacentes que no constituyen outliers. En los casos en que se desea estimar medidas de tendencia central en variables cuya distribución no se conoce a priori, la winsorización de los valores atípicos resulta más recomendable que su exclusión (trimming), en tanto las medidas así calculadas presentan menores niveles de sesgos (Bieniek, 2016).
    Para establecer el momento en el cual se aplicará esta transformación estadística, es preciso reconocer en primer lugar las etapas del proceso de estimación de costos directos e indirectos por estudiante. Como se resume en la Tabla 4 a continuación, dados un conjunto de ítems de costos por estudiante, es posible construir una sumatoria de los costos por estudiante a nivel de carrera (CCPCT) y de sede (CSPCT), los cuales, junto a los costos de gobierno central por estudiante (CIPC1), determinan el valor de los costos directos e indirectos per cápita (CDIPC) que serán utilizados para la determinación de valores regulados de aranceles.
     
    Tabla 4 – Etapas de proceso de estimación de costos e indirectos por estudiante
     
   
     
    Siendo este el procedimiento general, es preciso determinar en qué etapa específica de dicho proceso se debe efectuar el proceso de winsorización de los valores extremos. Para ello, se analizan, en forma separada y no secuencial, tres momentos posibles:
     
    a) Corrección de outliers por cada ítem: Winsorización de cada ítem por separado, antes de calcular los costos por estudiante a nivel de carrera y sede.
    b) Corrección de outliers por nivel: Se calculan los costos por estudiante a nivel de carrera y sede a partir de los ítems de costos sin corregir. Luego, se winsorizan estas variables agregadas (CCPCT, CSPCT), además de los costos de gobierno central por estudiante, antes de efectuar la sumatoria para obtener el costo directo e indirecto por estudiante.
    c) Corrección de outliers sobre el resultado final: Se efectúan las respectivas sumatorias a nivel de carrera y sede, y luego la estimación del costo directo e indirecto por estudiante, sin ninguna corrección previa. Sobre esta variable agregada final, se aplica el procedimiento de winsorización.
     
    Cada una de estas tres alternativas, a su vez, es evaluada a partir de dos rangos posibles de límites: el 1% inferior y 99% superior de la distribución, y el 5% inferior y 95% superior. De este modo, el ejercicio permite construir seis variables posibles que darán cuenta de la estimación de los costos directos e indirectos por estudiantes asociados a impartir una determinada carrera o programa "c" de una institución "i", como se resume en la Tabla 5.
     
    Tabla 5 – Variables de costos directos e indirectos por estudiante, según aplicaciones de procedimiento de corrección de outliers
     
   
     
    Una vez obtenidas estas seis variables, se calcula para cada una de ellas los respectivos coeficientes de asimetría "A" y curtosis "K", indicadores que permiten dar cuenta de las características de la forma de la distribución. Hecho esto, se determina la diferencia entre los valores de cada uno de estos coeficientes para cada variable, en comparación a los parámetros propios de una distribución normal (asimetría = 0, curtosis = 3). La sumatoria de ambas distancias, llevadas a valores absolutos, permiten construir un índice de distancia respecto de la distribución normal (IDN), cuya forma (considerando que el valor normal de la asimetría es 0) se expresa en la siguiente ecuación:
     
   
     
    De este modo, la variable a utilizar será la que presente un menor valor en este índice, es decir, aquella cuyos coeficientes de asimetría y curtosis presenten valores más próximos a los de una distribución normal. La variable de costos directos e indirectos por estudiante así escogida será la utilizada para construir el costo total por estudiante descrito en la sección 2.5.
    Finalmente, para efectos del posterior cálculo del costo total por estudiante, en el caso de aquellas instituciones que no hayan reportado información de costos a nivel de sede, se les imputa el valor mínimo de la variable de costos totales de sede por estudiante, winsorizados de acuerdo a los límites escogidos a partir del ejercicio antes descrito.
     
    2.4. Tratamiento de costos de infraestructura
     
    2.4.1. Construcción y depuración de bases de datos
     
    En relación a los costos de infraestructura, el proceso inicia consolidando los datos entregados por las instituciones, luego de lo cual se debe dar curso a un primer proceso de revisión del reporte de cada institución, cautelando los siguientes aspectos:
     
    . Identificar eventuales problemas de reporte asociados al uso de una unidad de valor distinta a la solicitada (pesos en lugar de UF), posibles registros duplicados de infraestructuras, discordancias entre números de rol reportados en infraestructura institucional (II) y de la carrera (IC).
    . En la base de Infraestructura Institucional (II), verificar que en todos los números de rol se haya reportado alguna información de valorización (tasación o arriendo), excluyendo los casos en los cuales no exista información.
    . También en la base de infraestructura institucional, identificar y excluir aquellos números de rol en los cuales no se haya reportado m2 totales para ninguno de los seis ítems considerados en la Plataforma.
    . En la base de infraestructura de la carrera, identificar y excluir aquellas carreras que no presenten matrícula al año 2021. Como consecuencia directa de aquello, en el caso de existir reporte por parte de instituciones que no hayan iniciado sus actividades académicas al 2021, estas deben ser descartadas de la base de datos.
    . En el caso de identificar inconsistencias que no pudiesen ser atribuidas a un error en la unidad de medida (ej. haber reportado en $ en vez de UF), se consultará a las instituciones involucradas para corroborar el problema en el registro de la información y solicitar rectificaciones. Entre otros, este tipo de inconsistencias pueden consistir en reportar valores ajenos a la unidad de medida de la variable (ej. reportar N°s de rol como costos), o alto número de valores perdidos sin un patrón claro que pueda ser identificado por parte de la Subsecretaría. En el caso de no recibir respuesta y/o rectificación en el plazo de un mes de efectuada la solicitud por parte de la Subsecretaría, los registros serán eliminados de la base de datos.
     
    2.4.2. Determinación de variable a utilizar para la valorización de la infraestructura
     
    Con el fin de obtener información sobre la base de la cual fuese posible establecer una estimación unificada del valor promedio del metro cuadrado de infraestructura, el levantamiento de datos de infraestructura institucional (II) consideró información de valores de tasación y de arriendo para cada uno de los seis ítems consultados. Asimismo, se solicitó a las instituciones dar cuenta del año de la más reciente tasación comercial de cada rol de propiedad, y el método contable utilizado para valorizar los activos de acuerdo a las normas IFRS.
    Una vez efectuadas las correcciones iniciales descritas en la sección 2.4.1., el reporte PES en infraestructura institucional dispone de un total de 961 números de rol. Dentro de ellos, en 146 se registró únicamente información de arriendo, en 609 solamente valores de tasación, y en 206 se informaron tanto datos de arriendo como de tasación. De esta manera, a partir de esta recolección de información se han reportado un total de 352 valores de arriendo y 814 de tasación comercial. No obstante, aquello, aun cuando se observa una proporción mayor de reporte de valores de tasación que de arriendo, existen problemas en la calidad y comparabilidad de la información recolectada a este respecto, que dificultan el uso de la tasación como criterio homogéneo para la imputación del costo de la inversión en infraestructura para todas las IES adscritas a la Gratuidad.
    En primer lugar, aún persiste en muchas IES un fuerte uso del método de contabilización basado en costos históricos en lugar de valores razonables. Tomando como referencia el total de bienes raíces propios (II.2 = 1) para los cuales se reportó tasación comercial en el reporte PES (598), un total de 255 (42,6%) fueron informados utilizando una valorización en base al costo histórico. Esta situación constituye una fuente de sesgos e imprecisiones si se utilizase la tasación comercial como criterio de imputación de valores al conjunto del sistema, toda vez que los valores de tasación están en realidad informando de cosas distintas, según sea uno u otro el criterio contable utilizado por las IES.
    En segundo lugar, las IES cuentan con grados muy heterogéneos de actualización y comparabilidad temporal de sus tasaciones: en los datos observados en el levantamiento de costos se pudieron constatar tasaciones desde 1990 hasta 2022. Esto introduce una dificultad adicional a la comparabilidad de los datos de tasación, toda vez que requeriría establecer una tasa de reajustabilidad única para infraestructuras heterogéneas. Finalmente, debido a que la tasación implica utilizar una expectativa de vida útil proyectada, lo cual trae consigo que la estimación pueda variar excesivamente en función de esta definición.
    Finalmente, un tercer factor es la dificultad para anualizar la tasación, en tanto para ello se requiere una definición respecto de una expectativa de vida útil proyectada. La consecuencia de ello es que los valores estimados pueden resultar excesivamente sensibles a esta definición, lo que constituye también otro factor que dificulta su generalización hacia el sistema.
    Por el contrario, el uso de los montos de arriendo como criterio de valorización permite subsanar estos tres problemas, al constituir una medida que responde a un criterio único de contabilización, situada en un único año, y que no se ve afectada por la vida útil de la infraestructura. Por estas razones, se ha optado por utilizar el valor de arriendo como variable para estimar el costo de la infraestructura, en tanto, dada la disparidad de criterios contables y períodos de tasación existentes en las IES y reflejada en este levantamiento de información, constituye una mejor aproximación al costo de oportunidad de la inversión en infraestructura, independientemente de la situación efectiva de tenencia por parte de la institución.
    Establecido el arriendo como criterio de valorización, se analizaron distintas alternativas de estimación de un valor promedio global del m2/UF entre los valores de arriendo reportados para cada ítem de infraestructura. Para esto se estimaron tres alternativas de valores: el promedio simple de todos los valores informados de arriendo; el promedio ponderado de los valores de arriendo ajustados por tamaño (m 2 por IES); y el promedio simple de los valores informados de arriendo sólo para aquellos números de rol con situación de tenencia "Arrendado" (II.2. = 2). Entre las alternativas, se ha optado por utilizar el promedio simple, dado que equilibra la influencia de las IES de mayor tamaño sobre el valor promedio de arriendo, mientras que el promedio simple considerando únicamente propiedades efectivamente arrendadas se ha descartado por cuanto se basa en un grupo con 212 observaciones, equivalentes a sólo un 60,2% del total de valores de arriendo informados en el reporte PES.
    Finalmente, esta etapa del proceso considera la remoción de valores extremos que constituyen outliers, estableciendo como criterio el descarte, única y exclusivamente, del valor máximo y mínimo de cada ítem. Una vez efectuado este ajuste, los promedios simples arriendo así obtenidos son los que se utilizarán para la estimación de valores de inversión en infraestructura por estudiante, a través del procedimiento descrito en la sección 2.4.4.
     
    2.4.3. Auditoría de metros cuadrados reportados en base a información SIES
     
    Al igual que en el tratamiento de los costos de carrera, sede e institución, y por las mismas razones descritas en la sección 2.3.3., los metros cuadrados reportados para cada uno de los respectivos números de rol en el módulo de infraestructura de la carrera (IC) deben ser analizados a través de un proceso de verificación. Para ello, se utilizan como base para el control el reporte de infraestructura informado en la recolección 2021 de información sobre Infraestructura y Recursos Educacionales, proceso realizado periódicamente por parte del Servicio de Información de Educación Superior (SIES, 2022).
    La utilización de esta información se justifica en tanto el SIES surge del mandato establecido en la Ley N° 20.129, cuyo Artículo 1 en su literal b establece "la identificación, recolección y difusión de los antecedentes necesarios para la gestión del Sistema, y la información pública" como parte de las funciones de los organismos que conforman el Sistema Nacional de Aseguramiento de la Calidad de la Educación Superior (SINACES). Asimismo, la referida Ley radica este mandato en el Ministerio de Educación, el cual a través de la Subsecretaría de Educación Superior tiene la responsabilidad de "desarrollar y mantener un Sistema Nacional de Información de la Educación Superior, que contenga los antecedentes necesarios para la adecuada aplicación de las políticas públicas destinadas al sector de educación superior, para la gestión institucional y para la información pública de manera de lograr una amplia y completa transparencia académica, administrativa y contable de las instituciones de educación superior" (Artículo 49, Ley N° 20.129).
    Por lo tanto, los datos recopilados, procesados y comunicados por el SIES constituyen, para todos los efectos legales, la información estadística oficial del sistema de educación superior chileno, y cuyos antecedentes son los que deben informar la aplicación de políticas públicas destinadas al sector de educación superior conforme al mandato establecido por Ley.
    A mayor abundamiento, cabe consignar que la utilización de los datos de SIES como variables de control fue expresamente señalada en el Manual de Acompañamiento (SUBESUP, 14 de septiembre de 2022, p. 7), y por lo tanto constituyó un antecedente conocido por las contrapartes institucionales encargadas de canalizar el reporte de información de infraestructura desarrollado entre agosto y octubre de 2022. De la misma manera, existe un nivel de homologación entre los ítems considerado por el SIES y los utilizados para el presente ejercicio de regulación de aranceles, por lo que es razonable esperar similitudes entre ambos procesos.
    Cabe señalar que el Manual de Acompañamiento reconoce la posibilidad de que el levantamiento de costos e infraestructura PES pudiese arrojar a nivel agregado valores levemente superiores en comparación al reporte SIES, especialmente, considerando los cambios en la infraestructura real de las IES y las diferencias en definiciones. Pese a esto, también se debe tener en cuenta que la recolección de datos de infraestructura de carrera solicitó a las instituciones reportar, para cada número de rol, el total de m2 que son utilizados para actividades asociadas específicamente a impartir cada una de las respectivas carreras de pregrado, el cual puede ser igual al metraje total de la infraestructura o bien puede ser inferior.
    Previamente, para los casos particulares de instituciones que comparten infraestructura y se gestionan de manera articulada, es necesario incorporar una corrección previa a los datos del SIES. Para ello, se utiliza la suma de los m2 reportados a SIES para cada ítem por la totalidad de las instituciones que comparten infraestructura, para posteriormente construir por cada uno de ellos "totales SIES ajustados", consistente en la multiplicación de los m 2 del conjunto de IES por la proporción de participación de cada institución en la matrícula total del grupo. Este total ajustado es el que será utilizado para construir los metrajes SIES para cada uno de los ítems en estas instituciones en particular. Esta corrección resulta importante toda vez que, en estos casos, los criterios históricos de reporte de información por parte de las IES pueden responder a un criterio de propiedad de las instalaciones, el cual no necesariamente coincide con la intensidad efectiva de uso de estas por parte de cada institución.
    Una vez efectuada esta corrección, se construyen variables de ratio entre el total de m2 reportados en el módulo de infraestructura de la carrera (IC) para cada ítem de costos "x", en todas las propiedades o bien raíces "r" pertenecientes o utilizadas por una institución "i", en comparación con los m 2 consignados para el ítem equivalente (8) en la base de datos de SIES del año 2021, las que asumen la siguiente forma:
     
   
     
    La construcción de estos ratios de reporte no tiene como propósito su utilización como parámetro de ajuste para instituciones específicas, sino como un criterio de evaluación de la calidad de los datos recolectados en el reporte PES para el conjunto de las IES, en comparación con la información reflejada en el SIES. Para este proceso se ha establecido que, en el caso en que el valor promedio de estos ratios sea superior a 2 en todos los ítems(9), se utilizarán los m 2 reportados a SIES, ajustando al alza o a la baja -según corresponda- la información reportada para cada institución en función de su acoplamiento a la información estadística oficial del sistema de educación superior chileno.
     
     
_________________
(8) A excepción del ítem IC2 del reporte PES, que comprende "salas de clases y oficinas" (la categoría SIES sólo incluye salas de clases), las demás son perfectamente coherentes y comparables con categorías solicitadas en la recolección de Infraestructura y Recursos Educacionales (auditorios, laboratorios, talleres, casinos y cafeterías, áreas verdes y de esparcimiento).
    En el caso de utilizar los datos de SIES, el total de m2 correspondientes a cada institución, serán distribuidos entre cada uno de sus programas formativos en proporción al metraje total declarado en el módulo de infraestructura de la carrera (IC), a fin de mantener el reflejo de la intensidad del uso de infraestructura que ha imputado cada IES para sus programas, así como los valores de arriendo y tasación reportados. Asimismo, de utilizar los m 2 de SIES, al metraje total correspondiente a salas de clases se le sumarán también los metros cuadrados de biblioteca, ítem recolectado en el reporte SIES que no fue incorporado en el levantamiento 2021.
    De este modo, para cada ítem de infraestructura "x", el ajuste se expresaría de la siguiente forma para cada carrera "c" impartida por una institución "i".
     
   
     
    Considerando que el reporte de infraestructura del SIES abarca la totalidad del metraje existente en una institución, es necesario también evaluar la pertinencia de cada ítem en función de su razonabilidad para la impartición de docencia de pregrado. Concretamente, si algún ítem alcanza un promedio por estudiante superior a la suma de todos los ítems restantes, este será retirado de la estimación.
     
    2.4.4. Construcción de valores de inversión en infraestructura por estudiante
     
    Una vez determinado el criterio de definición del metraje a partir del proceso descrito en la sección 2.4.3., y establecido el arriendo como variable para la valorización de la infraestructura, el siguiente paso consiste en establecer valores promedio del m2 de manera separada para cada uno de los ítems "x" reportados en infraestructura institucional (II). De este modo, las variables así construidas tendrán la siguiente forma, siendo "r" cada número de rol reportado, y denotando por "VA" el valor de arriendo reportado por cada ítem. y por "MI" el total de metros cuadrados de infraestructura institucional de cada uno de ellos.
     
   
     
    Construidos estos valores promedio, estos deben ser luego multiplicados por la cantidad de metros cuadrados utilizados por cada carrera (MC) según las intensidades de uso establecidas a partir de la recolección de datos declaradas en la recolección de datos de infraestructura de la carrera (IC), y divididas por el número total "n" de estudiantes matriculados en la carrera. De este modo, se obtiene el valor promedio por estudiante de la inversión en los respectivos ítems "x" de infraestructura para cada una de las carreras, que asume la siguiente forma.
     
   
     
    Por último, sobre este valor de infraestructura per cápita se deben realizar dos últimas correcciones antes de pasar a la etapa de tratamiento de outliers (sección 2.4.5.). En primer lugar, debe ser ajustado por la proporción de matrícula de pregrado y postgrado a nivel de sede, debido a que la infraestructura total de la institución es funcional para el total de la matrícula, por tanto, resulta razonable ajustar la infraestructura que será considerada para la estimación de aranceles regulados en proporción a los estudiantes de pregrado. Se considera que realizar este ajuste a nivel de sede resulta apropiado para dar cuenta sobre el real uso de infraestructura por parte de estudiantes de pregrado en una infraestructura que es compartida. Luego, una vez efectuado dicho ajuste, el valor reportado en UF debe ser convertido a pesos, tomando como referencia el valor de la UF al 31 de diciembre del año para el cual se ha recolectado la información de costos (en este caso, 2021). Estas variables expresadas en pesos serán finalmente sometidas al proceso de corrección de valores atípicos.
     
    2.4.5. Tratamiento de outliers y estimación del valor del costo de inversión en infraestructura por estudiante
     
    El procedimiento descrito en la sección anterior permite construir valores per cápita de inversión por cada ítem de infraestructura (VIPC1, VIP C2, VIP C3, VIP C4, VIP C5, VIP C6), cuya sumatoria constituye el valor del costo de inversión en infraestructura por estudiante (CINFPC). Empero, las variables involucradas en este procedimiento deben ser sometidas previamente a un proceso de corrección de valores extremos.
    Para ello, tal como se ha establecido para los costos directos e indirectos (2.3.4.), se utiliza también la transformación estadística Winsor. En forma separada y no secuencial, se analizan dos momentos posibles en los cuales aplicar el procedimiento de corrección de outliers: (a) sobre cada ítem por separado antes de efectuar la sumatoria, (b) sobre la sumatoria ya efectuada a partir de las variables no winsorizadas. En cada uno de estos momentos, a su vez, se evalúan dos rangos posibles de límites: el 1% inferior y 99% superior de la distribución, y el 5% inferior y 95% superior. De este modo, el ejercicio permite construir cuatro variables posibles, resumidas en la Tabla 6.
     
    Tabla 6 – Variables de costos de inversión en infraestructura por estudiante, según aplicaciones de procedimiento de corrección de outliers
     
   
     
    Cada una de estas variables, luego, es evaluada a partir de sus respectivos estadísticos de distribución, siguiendo el mismo procedimiento utilizado para los costos directos e indirectos (sección 2.3.4). Es decir, calcular sus respectivos coeficientes de asimetría y curtosis, y sumar luego en un índice de distancia (IDN) los valores absolutos de sus diferencias respecto de los parámetros de una distribución normal, escogiendo la variable cuyo valor en este índice sea el más cercano a 0. La variable así escogida constituye la estimación del costo de inversión en infraestructura por estudiante, que será utilizada para construir el costo total por estudiante descrito en la sección 2.5.
     
   
     
    2.5. Determinación del costo total por estudiante
     
    A partir de los procedimientos de depuración, control y análisis descritos en las secciones 2.3. y 2.4. precedentes, se obtienen dos variables de costos para cada carrera "c" impartida por una institución "i". Por un lado, la suma de los costos directos e indirectos (CDIPCci, ecuación 15), establecidas a partir de los ítems de carrera, sede e institución. Por otro, la estimación de los costos anualizados de inversión en infraestructura (CINFPC ci, ecuación 16).
     
   
     
    La sumatoria de ambas variables constituye el costo total por estudiante (CTPCci) de una determinada carrera "c" impartida por una institución "i", sobre el cual serán aplicados los procedimientos de agrupación de carreras conducentes a la determinación de valores regulados de aranceles que se describen luego en el Capítulo 3. De este modo, el costo total por estudiante estará dado por la fórmula reflejada en la ecuación 17.
     
   
     
    En el caso de que se detecten carreras sin valores de costos directos e indirectos por estudiante o costos de inversión en infraestructura por estudiante, se procederá de la siguiente forma. De sólo contarse con información del valor de infraestructura, la carrera será descartada de la base de datos. En el caso de que una carrera sólo cuente con costos directos e indirectos por estudiante, los costos de inversión en infraestructura por estudiante serán imputados en base al promedio de este componente en la misma institución. En el caso que no se posea ningún valor de costos de inversión en infraestructura en ninguna carrera de la institución, se le imputará el valor promedio de este componente del conjunto de instituciones del mismo tipo en el reporte, es decir, el promedio de centros de formación técnica, institutos profesionales o universidades, cuando corresponda.
     
    3. Procedimientos para el cálculo de valores regulados
     
    El presente Capítulo establece la metodología para la determinación de los valores regulados, una vez implementada la totalidad de los procedimientos de recolección, procesamiento, validación y análisis de la información de costos de las carreras y programas detallados en el Capítulo 2. Se establece los fundamentos, definiciones y procedimientos para la conformación de grupos de carreras y determinación de aranceles regulados a partir de ellos, y se consigna finalmente la metodología para el cálculo de valores regulados de derechos básicos de matrícula y costos de titulación o graduación.
     
    3.1. Definiciones de las variables para la conformación de grupos de carreras
     
    El artículo 88 de la Ley N° 21.091 establece que los aranceles regulados deben ser determinados en razón de "grupos de carreras". Dispone, asimismo, que es potestad de la Subsecretaría de Educación Superior la definición de tales agrupaciones, no obstante, en dicho proceso esta debe considerar, al menos, las variables planteadas en el artículo: estructura curricular, tipo de programa, niveles, años y dimensiones de acreditación institucional, tamaño de la institución, y la región en que se imparte la carrera o programa. Empero, la Ley no establece definiciones taxativas para cada una de estas variables. Por ello, es la Subsecretaría quien debe establecer, a partir de las bases técnicas, cuál será la operacionalización de las variables a utilizar para la conformación de grupos de carreras.
     
    3.1.1. Estructura curricular
     
    Para establecer una clasificación a partir de la estructura curricular, se utilizan las Áreas y Subáreas establecidas en la definición de campos de educación y formación asociados a la Clasificación Internacional Normalizada de Educación (CINE-F), categorización establecida en el año 2013 (UNESCO-UIS, 2015) por la Organización de las Naciones Unidas para la Educación, la Ciencia y la Cultura (UNESCO). La CINE-F constituye una clasificación de campos de estudios actualizada y de amplio uso y reconocimiento, y ha sido históricamente utilizada por SIES, tanto en su versión original de 1997 como en su actualización del año 2013, como criterio base para la categorización de carreras y programas formativos.
    Como se detallará en la sección 3.2., el criterio inicial será la Subárea, utilizándose el Área como mecanismo de reagrupación para aquellos casos en los que se produzcan grupos con un número insuficiente de carreras (20 o menos) y/o instituciones (menos de 4). La Figura 1 resume los costos totales por Área CINE-F reflejados en el levantamiento de información de costos 2021, mientras que la Tabla 7 da cuenta de las áreas y subáreas referidas, las que serán utilizadas para cada carrera según su clasificación en la base de datos de Oferta Académica de SIES correspondiente al año anterior a la publicación de los valores regulados.
     
    Tabla 7 – Áreas y Subáreas CINE-F UNESCO 2013
     
   
     
   
     
    Figura 1 – Costo Total por Estudiante, según Área CINE-F 2013
     
   
     
    3.1.2. Tipo de programa
     
    El tipo de programa formativo, por su parte, será establecido a partir de la división del conjunto de los datos en dos categorías, basados en el tipo de título o grado que entrega la carrera o programa, según conste en la base de datos de Oferta Académica de SIES correspondiente al año anterior a la publicación de los valores regulados.
    Un grupo, denominado "profesional" estará conformado por carreras conducentes a certificaciones que solamente pueden ser otorgadas por Universidades, es decir, Bachilleratos o programas equivalentes, Licenciaturas no conducentes a título profesional, y carreras Profesionales con Licenciatura. El otro, denominado "técnico-profesional", lo constituyen las carreras Técnicas de Nivel Superior y Profesionales sin Licenciatura, que pueden ser ofertadas por Institutos Profesionales (IP) y Centros de Formación Técnica (CFT), sin perjuicio de que igualmente pueden ser otorgadas por Universidades. La Figura 2 da cuenta de la razonabilidad de esta división en dos categorías a la luz de los datos del levantamiento de información de costos 2021.
     
    Figura 2 – Costo Total por Estudiante, según título o grado entregado por la carrera
     
   
     
    3.1.3. Niveles, áreas y dimensiones de acreditación institucional
     
    En cuanto a las variables asociadas a la acreditación institucional (niveles, años y dimensiones), es necesario recordar que la Ley N° 21.091 en su Título IV incorporó modificaciones al Sistema Nacional de Aseguramiento de la Calidad de la Educación Superior (SINACES) -regulado por la Ley N° 20.129-, dentro de las cuales se encuentra la creación de los niveles de acreditación (básica, avanzada, de excelencia). Sin embargo, estos se encuentran asociados vis-a-vis al número de años: 3 años la acreditación básica, 4-5 la avanzada y 6-7 la de excelencia.
    Por ello, la incorporación de los niveles y años como variables de agrupación por separado no resulta pertinente toda vez que ambas dan cuenta de la misma información. Considerando las características y propósitos de la segunda etapa de agrupación (sección 3.3.), se utilizarán los años de acreditación como criterio para tales efectos, en tanto reporta los mismos antecedentes que la variable nivel, con un mayor nivel de diferenciación. De este modo, la variable de agrupación en comento se compone de cuatro categorías, que van desde las IES con 7 años de acreditación hasta aquellas certificadas por 4 años. Como fecha de observación de este indicador, se adoptará la situación de acreditación institucional al 31 de diciembre del año anterior a la publicación de los valores regulados para un determinado conjunto de carreras, correspondiendo al 2022 para las primeras carreras a regular.
    En el caso de aquellas carreras impartidas por instituciones que actualmente no estén acreditadas(10), o cuenten con certificación por un número inferior a cuatro años, estas serán consideradas dentro de un mismo grupo con las dictadas por las IES con 4 años de certificación. Esta determinación  responde tanto a la letra  como al espíritu  de las modificaciones  que la Ley N° 21.091 incorporó al Sistema de Aseguramiento de la Calidad. En efecto, la Ley ha dispuesto que la acreditación básica (3 años) puede ser otorgada por una única oportunidad (Art. 20 inciso 3, Ley N° 20.129), en el entendido de que el marco normativo busca propender a que todas las instituciones del sistema alcancen un nivel basal de calidad equivalente, al menos, al número mínimo de años asociado al nivel avanzado de acreditación (4 años), por lo cual resulta esperable que su funcionamiento y costos deba propender a ajustarse hacia dicho nivel.
    La Figura 3 da cuenta de los costos totales por estudiante para cada una de las cuatro categorías antedichas. Si bien no se observa una relación uno-a-uno entre mayores años de acreditación y mayores costos por estudiante, la consideración de este componente resulta un componente de incentivo dinámico esencial para la estimación de valores regulados de aranceles.
     
     
_________________
(10) Es el caso de las Universidades de O'Higgins y Aysén, que en diciembre de 2022 se han presentado a su primer proceso de acreditación, y de los 15 Centros de Formación Técnica Estatales, que -a la fecha de dictación de las presentes bases técnicas- cuentan con un plazo legal de 6 años contados desde la fecha de inicio de sus actividades académicas para presentarse a su primer proceso de certificación ante la CNA. Lo anterior podría extenderse hasta 10 años, una vez se publique en el Diario Oficial el proyecto de ley misceláneo aprobado por el Congreso Nacional (Boletín 15153-04).
     
    Aquello, por cuanto mejores desempeños en estos aspectos por parte de una institución se verán reflejados en un cambio de grupo de sus carreras conducente a un mayor arancel regulado, como se desarrolla más adelante en la sección 3.3. de las presentes bases.
     
    Figura 3 – Costo Total por Estudiante, según años de acreditación institucional
     
   
     
    La Figura 4, por otra parte, muestra el comportamiento de los costos totales por estudiante en carreras impartidas en IES con cuatro años de acreditación respecto de aquellas dictadas por IES con un número menor de años o sin acreditación. Se puede observar que no existen diferencias sustantivas, por lo cual, a la luz de los datos, no se aprecia un riesgo de que la consideración de carreras impartidas por IES con menor acreditación pueda representar un detrimento para la estimación de costos de las IES acreditadas por cuatro años, ratificando así la pertinencia de considerarlas dentro de una misma categoría para efectos de la conformación de grupos de carreras y la posterior estimación de valores regulados de arancel a partir de ellos.
     
    Figura 4 – Costo Total por Estudiante, según años de acreditación institucional (IES con cuatro o menos años)
     
   
     
    Sobre las dimensiones o áreas de acreditación, es necesario recordar que entre las modificaciones que la Ley de Educación Superior introdujo al SINACES está la definición de la acreditación institucional como un proceso obligatorio e integral, en tanto "considerará la evaluación de la totalidad de las sedes, funciones y niveles de programas formativos de la institución" (artículo 15, inciso segundo). Asimismo, el artículo 18 de la Ley N° 20.129 modificada establece cinco dimensiones de acreditación -Docencia y Resultados del Proceso de Formación; Gestión Estratégica y Recursos Institucionales; Aseguramiento Interno de la Calidad; Vinculación con el Medio; e Investigación, creación e innovación-, todas ellas de carácter obligatorio, a excepción de la dimensión de "Investigación, creación e innovación", que igualmente es condición para optar al máximo de 7 años de acreditación. Lo anterior representa un cambio sustantivo en relación al régimen actualmente existente, y cuya vigencia expirará a partir del 1 de octubre de 2023, que establece dos áreas obligatorias (Gestión Institucional y Docencia de Pregrado) y tres voluntarias (Docencia de Postgrado, Investigación, Vinculación con el Medio).
    Con todo, a este respecto es preciso distinguir entre las instituciones no universitarias y las universidades. En el caso de las primeras, bajo el régimen que se encuentra actualmente vigente hasta octubre de 2023 solamente pueden optar a la acreditación optativa en el área de vinculación con el medio, como lo reconocen expresamente las Guías para la Autoevaluación Interna dispuestas por la CNA para Institutos Profesionales y Centros de Formación Técnica (CNA-Chile, 2016a y 2016b, p. 12 en ambos documentos).
    Distinto, en cambio, es el caso de las universidades, en cuyos procesos de acreditación institucional desarrollados bajo el régimen vigente desde 2006 siempre han dispuesto de la posibilidad de certificar sus funciones de investigación ante la CNA. Cabe asimismo señalar que, si bien los nuevos criterios y estándares de acreditación entrarán en vigencia a partir de octubre de 2023, a partir de la publicación de la ley N° 21.091, el 29 de mayo de 2018 constituye un hecho conocido por el conjunto del sistema de educación superior el tránsito hacia un régimen en el cual la certificación de las funciones de docencia de postgrado y vinculación con el medio desarrolladas por parte de las universidades será de carácter obligatorio. Prueba elocuente de lo anterior es el hecho de que, al 31 de diciembre de 2022, la totalidad de las Universidades del sistema de educación superior (adscritas o no a la Gratuidad) que cuentan con 6 o 7 años de acreditación, están certificadas en el área de Investigación.
    En consecuencia, la consideración de las "dimensiones" de acreditación en las presentes bases se abordará de manera diferenciada según el nivel de carrera. Para las carreras profesionales, se distinguirá aquellas impartidas por instituciones acreditadas en investigación respecto de aquellas dictadas por IES que no lo estén, en tanto esta constituirá la única función misional cuya certificación será de carácter voluntario en ambos regímenes, reconociendo así por tanto el impacto en los costos asociado a la certificación de áreas de carácter voluntario. En el caso de las carreras técnico-profesionales, el criterio a utilizar será la acreditación institucional en al menos un área optativa, formulación que permite incorporar tanto a los centros de formación técnica e institutos profesionales certificados en vinculación con el medio bajo el régimen hoy vigentes, como a aquellos que acrediten el área optativa de "Investigación, creación e innovación" en los términos establecidos en los nuevos Criterios y Estándares de la CNA para la Acreditación Institucional del Subsistema Técnico Profesional (CNA-Chile, 2021b). En ambos casos, dado un conjunto de carreras a regular, esta variable será observada al 31 de diciembre del año anterior a la publicación de sus respectivos valores regulados.
    Cabe subrayar que, para las carreras Técnicas de Nivel Superior y Profesionales sin Licenciatura impartidas por Universidades, se ha optado por utilizar el criterio dispuesto en función de la realidad de las IES del subsistema técnico-profesional, es decir, reconocer la acreditación en al menos un área optativa. Esto, por cuanto del total de programas formativos reportados en el levantamiento de información de costos que otorgan títulos técnico-profesionales, solamente un 10,2% son dictados por instituciones universitarias. Esta determinación, por tanto, busca asegurar la coherencia respecto de las definiciones y procedimientos de agrupación que se describen en las secciones 3.2. y 3.3., en las cuales la unidad de observación fundamental es la carrera y la agrupación se efectúa en base a las características constitutivas de ésta.
     
    Figura 5 – Costo Total por Estudiante, según acreditación en investigación (carreras profesionales)
     
   
     
    Figura 6 – Costo Total por Estudiante, según años de acreditación y certificación en un área optativa (carreras técnico-profesionales)
     
   
     
    3.1.4. Tamaño de la institución
     
    Existen diversas formas de entender y definir el tamaño de una institución de educación superior. Si bien la adopción más convencional del concepto ha sido asimilarlo al número de estudiantes matriculados, aquella es solo una definición posible, existiendo también otras utilizadas en la literatura internacional tales como el número de áreas del conocimiento que aborda, la cantidad de programas formativos que ofrece, sus niveles de productividad en materias de investigación, o bien al alcance territorial de sus diferentes campus y sedes, entre otros posibles (Gralka, 2018; Johnes & Johnes, 2016; Ferro & D'Elia, 2020).
    Tomando en consideración que el propósito de la presente regulación es establecer valores de aranceles en base a costos, la definición del tamaño está vinculada directamente a la identificación de potenciales economías de escala en las IES. En consecuencia, las presentes bases técnicas establecen como criterio de delimitación del tamaño de una institución su número de sedes (ver definición de "sede" en Glosario). La hipótesis asociada a esta determinación es que una mayor diversificación de la presencia territorial de la institución es potencialmente conducente a economías de escala, en tanto conlleva la posibilidad de, por ejemplo, impartir la misma carrera o programa en un número diverso de sedes y jornadas, con los consiguientes menores costos asociados al desarrollo de planes de estudios y modelos instruccionales en comparación a carreras o programas de naturaleza curricular distinta.
    Para la contabilización del número de sedes, se utiliza la información disponible en la base de datos de Oferta Académica del SIES correspondiente al año anterior a la publicación de los valores regulados. Con todo, es preciso establecer un criterio adicional. Si bien la definición de SIES ha asimilado preferentemente la unidad territorial "sede" a la comuna, la recolección histórica de esta información ha utilizado un criterio de autoasignación por parte de las instituciones, en el cual se han mezclado definiciones territoriales de comuna o ciudad. Aun cuando las categorías de códigos de sede y comuna en las bases de datos de Oferta Académica anual elaboradas por el SIES han propendido a ser cada vez más convergentes, aún persisten diferencias entre ambas en algunas instituciones. Por ello, en aquellos casos en que existan dichas discrepancias entre ambos criterios en la referida base de datos correspondiente al año cuyos costos se consideran para el cálculo de los valores regulados, se optará por el criterio de la comuna, con el fin de utilizar un criterio de contabilización lo más homogéneo posible para el conjunto de las instituciones, independiente de los criterios históricos de autoasignación utilizados.
    Establecida la definición, el mecanismo de agrupación a partir del tamaño consiste en los siguientes pasos. En primer lugar, se contabiliza el número total de sedes que poseen el conjunto de las IES a regular, estableciendo a partir de ello el N° correspondiente al percentil 50 en base a este total. Luego, y tomando como referencia al conjunto de IES y sedes ordenadas desde la institución con menos sedes hasta aquellas con un número mayor, se determina a qué IES pertenece la sede ubicada en el referido percentil 50. De este modo, se definen dos agrupaciones: una conformada por la institución a la cual pertenece la sede correspondiente al percentil 50 junto a aquellas cuyo número de sede es inferior, y otra constituida por las IES con un número mayor de sedes al que posee aquella institución situada en el referido percentil.
    La adopción de una definición de tamaño a partir de las sedes en lugar de una basada en la matrícula encuentra respaldo en la información recolectada en el levantamiento de costos 2021, especialmente al observar de manera específica los costos directos e indirectos, es decir, sin considerar la infraestructura -que, al medirse en metros cuadrados, resulta esperable que tenga relación positiva con la matrícula-.
    Como se puede observar en la Figura 7, no es posible identificar una relación significativa entre el número de estudiantes matriculados en una institución y el costo total por estudiante de sus respectivas carreras. Por el contrario, en la Figura 8 se constata que sí existe una relación entre el número de sedes de la institución y el costo por estudiante de las carreras y programas que esta imparte, y que esta va en un sentido negativo, como lo refleja la pendiente de la línea de tendencia de los datos.
     
    Figura 7 – Costos Directos e Indirectos por Estudiante, según matrícula de pregrado IES
     
   
     
     
    Figura 8 – Costos Directos e Indirectos por Estudiante, según número de sedes de la IES
     
   
     
     
    3.1.5. Región extrema
     
    Como cuestión previa, es preciso recordar que la localización territorial ha sido considerada como parte de la definición misma de la "carrera o programa de estudios" en tanto unidad de observación (sección 2.1.). En tal sentido, la naturaleza de la información de costos utilizada, dada esta delimitación y sus consecuencias en la metodología de recolección y procesamiento descritas en el Capítulo 2., es sensible al territorio en el cual es impartida cada carrera, reconociendo así que, por ejemplo, un mismo programa formativo desarrollado en dos lugares distintos del país puede tener costos diferentes.
    La incorporación de la sede en la definición misma de la unidad de observación es fundamental para atender a la diversidad de realidades asociadas a la territorialidad de la oferta formativa. La localización geográfica de las carreras y programas con alta probabilidad impactará en sus costos dada su relación con las inequidades socioespaciales del país, en aspectos tales como la composición socioeconómica de su estudiantado, el marco normativo para el emplazamiento de su infraestructura, las posibilidades de acceso a bienes y servicios públicos y privados, y las posibilidades de aprovechar y explotar economías de aglomeración, por mencionar algunos (PNUD, 2015; Livert & Gaínza, 2017; Rivera & Alonso, 2018; Leihy & Salazar, 2022).
    Sin perjuicio de lo anterior, es preciso dar cuenta en el proceso de agrupación de carreras de las características particulares asociadas a las zonas extremas del país, en tanto constituyen territorios aislados con relación a la zona central donde se concentra la actividad productiva del país, que enfrentan mayores costos de productividad y transporte respecto a las otras regiones, y que poseen una baja densidad poblacional y/o alta dispersión en la distribución territorial de sus habitantes, características que necesariamente impactan en la impartición de educación superior en dichas zonas (Centro de Estudios MINEDUC, 2019).
    En consecuencia, las presentes bases técnicas establecen como un criterio para la conformación de grupos la localización en una "región extrema", definida de acuerdo a los términos establecidos en la Ley N° 20.655, que establece incentivos especiales para las zonas extremas del país, a saber: las regiones de Arica y Parinacota, Tarapacá, Aysén del Presidente Carlos Ibáñez del Campo y Magallanes y Antártica Chilena, además de las provincias de Chiloé y de Palena. La hipótesis asociada a esta determinación, en consecuencia, con el párrafo anterior, es que impartir docencia de pregrado en zonas extremas trae consigo mayores costos asociados, como también los trae el desarrollar las principales funciones de gobierno institucional desde estas localidades.
    En base a ello, el emplazamiento en una región extrema es considerado como variable de agrupación, tanto a nivel de carrera como de institución. Para esta última, se toma como referencia la ubicación de su sede central, es decir, la dirección en la cual se sitúan las dependencias de los organismos de gobierno central de la institución (Rectoría, Vicerrectorías y unidades asociadas a estas), y que se encuentra registrada en la base de datos de Instituciones del SIES. La pertinencia de considerar también la institución encuentra respaldo en los datos: como se observa en la Figura 9, al considerar únicamente las carreras impartidas en una región extrema, aquellas cuyas instituciones poseen su sede central en una de estas zonas presentan en promedio costos totales por estudiante levemente mayores en comparación a los programas dictados por IES radicadas en otros lugares del país. Mucho más pronunciada es la diferencia en cambio al observar, específicamente, los costos del gobierno central (Figura 10).
     
    Figura 9 – Costo Total por Estudiante, según localización de la sede central de la institución (sólo con carreras impartidas en regiones extremas)
     
   
     
    Figura 10 – Costos de gobierno central por estudiante, según localización de la sede central de la institución (sólo con carreras impartidas en regiones extremas)
     
   
     
    De este modo, la agrupación en este ámbito consiste en tres categorías. Una primera estará conformada por carreras impartidas en una región extrema, por parte de una institución cuya sede central esté también radicada en una de estas zonas. La segunda, está conformada por carreras en las cuales sólo se cumpla una de las dos condiciones señaladas, es decir: carreras de regiones extremas de instituciones no radicadas en zonas extremas, o carreras impartidas en regiones no extremas por parte de IES cuya sede central se sitúa en estas zonas. Finalmente, la tercera categoría la conforman aquellas carreras que no reúnen ninguna de las dos condiciones señaladas.
     
    3.1.6. Jornada
     
    Si bien, como ha sido señalado, el artículo 88 de la ley N° 21.091 establece un catálogo de variables que deben ser consideradas para la conformación de grupos de carreras que den cuenta de estructuras de costos similares, no excluye la posibilidad de incorporar otras que contribuyan a este propósito. En tal sentido, se incorpora como una variable de agrupación la jornada, estableciendo dos categorías distintas en función de si la carrera es impartida en horario diurno o vespertino, conforme a la información disponible en la base de datos de Oferta Académica del SIES correspondiente al año anterior a la publicación de los valores regulados. En el caso de identificarse carreras catalogadas en la referida base de datos en una categoría distinta a diurno / vespertino, y habiendo verificado que se trate de programas presenciales, se les imputa jornada vespertina.
    Como se puede observar en la Figura 11, constituye un factor clara y significativamente diferenciador de los costos totales per cápita de las carreras y programas formativos. Las razones para ello pueden encontrarse en la naturaleza misma de estos programas formativos. Una misma carrera impartida en horario diurno y vespertino poseerá, con gran probabilidad, perfiles de estudiantes muy distintos, y por sus propias características presentan diferentes requerimientos en cuanto a apoyos o servicios. Asimismo, en muchos casos dichas carreras poseen diferentes planes de estudios: las carreras en formato vespertino son por lo general más cortas en tanto reconocen y/o convalidan aprendizajes previos, prescindiendo de parte de la formación básica propia de carreras en jornada diurna orientadas de manera preponderante hacia estudiantes recién egresados/as de la educación secundaria (SIES, 2015; Gaete & Morales, 2011; Araya-Castillo, Maldonado, Lizana & Escobar-Farfán, 2015).
     
     
    Figura 11 – Costo Total por Estudiante, según jornada
     
   
     
    3.2. Primera etapa de agrupación: Determinación de macrogrupos
     
    Como ha sido señalado, el artículo 88 de la ley establece que la agrupación de carreras deberá considerar al menos un catálogo de variables allí expresado, cuya definición operativa para efectos de las presentes bases técnicas ha sido establecida en la sección precedente. Con todo, el proceso de conformación de grupos de carreras debe procurar el no producir una excesiva atomización, generando agrupaciones con números demasiado pequeños de carreras y/o instituciones, por cuanto aquello constituye un problema metodológico en dos niveles. Por un lado, lo es en un plano técnico-estadístico: una atomización excesiva torna inviable la aplicación de procedimientos estadísticos para calcular costos representativos (CERA, 10 de junio de 2022).
    Por otra parte, una excesiva atomización pone en entredicho el cumplimiento de la letra y espíritu de la ley N° 21.091. En efecto, la estimación de valores regulados a partir de grupos pequeños, en la mayoría de los casos conformados por sólo una institución, constituye en la práctica una fijación de precios individuales, lo cual contraviene el principio operativo consagrado en el artículo 88: establecer aranceles regulados "en razón de grupos de carreras". Asimismo, la conformación de estos grupos a partir del referido catálogo de variables debe ser funcional al cumplimiento del propósito que define estos grupos: constituirse en "conjuntos de carreras o programas de estudios que tengan estructuras de costos similares entre sí".
    Todo esto demuestra la importancia de desarrollar una metodología apropiada, que considere la totalidad de las variables establecidas en el artículo 88, sin que aquello implique apartarse del principio orientador de la definición de aranceles en base a grupos de carreras para moverse hacia una tarificación individual ajena al texto y espíritu de la norma. Estadísticamente, aquello supone disponer de grupos con volúmenes de información apropiados, lo suficientemente grandes como para permitir la utilización de medidas de tendencia central como parte del mecanismo de establecimiento de aranceles regulados, pero también lo suficientemente pequeños para que efectivamente distingan con claridad estructuras de costos asociadas a diferentes tipos de carreras.
    Con este propósito, las presentes bases técnicas establecen una estrategia de agrupación en dos etapas, que en conjunto conducen a la determinación de valores regulados a partir de grupos de carreras conformados sobre la base de las variables antes señaladas. La primera etapa tiene por objeto establecer macrogrupos, que constituirán las unidades base para efectos de la determinación de la entrada progresiva de áreas del conocimiento a la regulación de aranceles. Para ello, el paso inicial consiste en la división del conjunto de los datos en dos grupos basados en el tipo de título o grado que entrega la carrera o programa. Un grupo consiste en todas las carreras Técnicas de Nivel Superior y Profesionales sin Licenciatura, mientras que el otro lo conforman los programas de Bachillerato, las Licenciaturas no conducentes a título profesional, y las carreras Profesionales con Licenciatura.
    Luego de esta primera división, sobre cada uno de ambos segmentos se constituyen nuevos macrogrupos a partir de la estructura curricular de las carreras y programas. Para tales efectos, el criterio utilizado serán las Áreas y Subáreas establecidas en la definición de campos de educación y formación asociados a la Clasificación Internacional Normalizada de Educación (CINE-F), categorización establecida en el año 2013 (UNESCO-UIS, 2015). En primera instancia, se utiliza la Subárea como variable de agrupación, con el propósito de conformar conjuntos de carreras o programas lo más parecidas posibles entre sí en términos curriculares.
    La combinación entre tipo de programa y estructura curricular permite establecer los "macrogrupos" de esta primera etapa, los cuales deberán contar con un número de carreras mayor a 20, impartidas por un número no inferior a 4 instituciones. La consideración del número de IES, y no sólo de carreras, resulta fundamental para garantizar el cumplimiento del propósito de la ley de establecer valores regulados en base a grupos de carreras, por cuanto un macrogrupo conformado por sólo una o dos instituciones, aun cuando tuviese un número satisfactorio de carreras, entraña consigo el riesgo de incurrir en la fijación de precios individuales, así como también de otorgar un excesivo poder de mercado a las IES involucradas para afectar dichos valores.
    En los casos en que uno o más macrogrupos conformados a partir del tipo de programa y la Subárea CINE-F presentan un número de observaciones y/o de IES inferior a los umbrales señalados, estos son luego reagrupados al nivel del Área CINE-F, con el propósito de obtener conjuntos similares en términos curriculares, pero con un volumen de información suficiente para permitir el uso de medidas de tendencia central y dispersión.
     
    3.3. Segunda etapa de agrupación: Grupos de carreras y determinación de aranceles regulados
     
    Una vez conformadas estas agrupaciones iniciales a partir del tipo de carrera o programa y su respectiva Área o Subárea CINE-F, el siguiente paso es determinar la distribución del costo total por estudiante en cada uno de los respectivos macrogrupos, estableciendo a partir de ello su respectiva media y desviación estándar. A partir de estos parámetros, la segunda etapa de agrupación consiste en determinar, a partir de los macrogrupos establecidos en la etapa anterior, los grupos finales de carreras, utilizando para ello las restantes variables de agrupación no consideradas en la primera etapa, es decir: niveles/años de acreditación, dimensiones de acreditación, tamaño, región extrema y jornada.
    En el mismo procedimiento de conformación de los grupos finales de carreras, se establecen los valores regulados de arancel correspondientes a cada uno de ellos, a través del procedimiento que se describe a continuación. En primer lugar, a cada una de las variables descritas en la sección 3.1., se les asignan valores en la base de datos en función de sus respectivas categorías, los cuales se presentan en la Tabla 8 a continuación:
     
    Tabla 8 – Operacionalización de variables para la segunda etapa de agrupación
     
   
     
    A partir de la suma de los valores que puede adoptar cada una de las variables se construye un preíndice (PIA) para cada carrera "c" impartida por una institución "i", cuya forma se observa en las ecuaciones 18 y 19 siguientes. En ellas, se denota por "ACi" el valor asociado a los años de acreditación de la institución que imparte la carrera, "I i" su acreditación o no en el área de investigación, "OP i" la acreditación en al menos un área optativa, "T i" el valor asociado al tamaño de la institución que imparte la carrera a partir del número de sedes, "R ci" el indicador establecido a partir de la localización de la carrera y/o de la institución que la imparte y la jornada de la carrera.
     
   
     
    Este preíndice podrá adoptar valores en un rango entre 1-7,5. Así, por ejemplo, el valor 1 corresponderá a una carrera perteneciente a una institución con 4 años de acreditación o menos, no acreditada en investigación (si es una carrera profesional) o en algún área optativa (si es técnico-profesional), que tenga un número de sedes mayor al percentil 50 del total de sedes de las IES adscritas a la Gratuidad, impartida en jornada vespertina y en una región no extrema, por una institución cuya sede central tampoco se radica en dichos territorios. Por el contrario, el valor máximo corresponderá a una carrera perteneciente a una institución con 7 años de acreditación, certificada en investigación (si es Universidad) o algún área optativa (si es IP o CFT), cuyo número de sedes sea menor o igual al percentil 50, impartida en jornada diurna y situada en una región extrema, por parte de una institución cuya sede central está también ubicada en alguna de estas zonas.
    El preíndice, luego, es sometido a una transformación lineal, a partir de la cual se obtiene un índice de agrupación (IA), cuyos valores consistirán en un número de cortes discretos equivalente a los valores posibles que puede adoptar el preíndice. La transformación lineal utilizada es distinta según las categorías asociadas al tipo de título o grado que entrega la carrera utilizadas en la primera etapa de agrupación, independientemente del tipo de institución en el cual sean impartidas(11). Para las carreras "técnico-profesionales", la transformación consiste en asignar los valores -0,2 y 0,5, respectivamente, al valor "1" del preíndice y al máximo efectivamente observado en el PIA para este tipo de programas, y ajustar luego el resto de los valores del preíndice conforme a la recta que pasa entre los puntos -0,2 y 0,5. El mismo procedimiento se utiliza para las carreras "profesionales", aunque asignando para estas límites de -1 y 1 al valor "1" y el máximo del PIA observado en este conjunto de programas formativos. La diferenciación de límites entre ambos subsistemas se justifica principalmente por la asimetría observada del preíndice de las carreras técnico-profesionales, en donde una parte importante de las observaciones tiende a ubicarse hacia los valores más bajos de la escala.
    De este modo, el índice de agrupación para cada carrera "c" impartida por una institución "i" estará dado por la Ecuación 20, donde "L" es la transformación lineal:
     
   
     
    El objetivo de realizar esta linealización es poder conformar grupos que representen conjuntos de carreras o programas que posean estructuras de costos similares entre sí. Estos grupos "g" constituirán diferentes puntos discretos a lo largo de la distribución de costos del respectivo macrogrupo "G". La distancia de estos puntos es proporcional a la dispersión de los costos totales por estudiante en cada uno de ellos. La Ecuación 21 muestra cómo se obtiene el arancel regulado (AR) de una carrera "c" perteneciente al grupo "g", en función del índice de agrupación, dado un valor promedio (XG) y una desviación estándar
     
     
_________________
(11) Es decir, las carreras Técnicas de Nivel Superior y Profesionales sin Licenciatura impartidas por universidades, deben ser para todos los eventos de los cálculos efectuados en esta etapa, incorporadas dentro del segmento de programas técnico-profesionales.
     
   
     
    Debido a que el índice de agrupación "IA" es un valor que puede ser positivo o negativo, pueden existir carreras cuyo arancel regulado esté sobre la media del grupo y otras bajo la media del grupo. La distancia en términos de costos por estudiante que se mueva una carrera en función de los valores que asuma este índice, a su vez, dependerá directamente de la desviación estándar de los costos del macrogrupo al que pertenece. El resultado final de este proceso es la determinación de grupos de carreras y valores regulados de arancel para cada uno de ellos, a partir de todas las combinaciones posibles. Esto permite, a su vez, asignar un arancel a aquellas carreras que contaban con matrícula al año 2021, pero no reportaron información de costos, como también a las nuevas IES que adscriban a la Política de Gratuidad durante los próximos años.
    De este modo, a través de la segunda etapa de agrupación se reconoce la diversidad de las IES a partir de sus características relevantes, y se establecen, en el mismo procedimiento, los grupos de carreras definitivos y sus respectivos valores regulados de arancel. Aquello, en definitiva, da pleno cumplimiento pleno a la letra y el espíritu del artículo 88 de la ley que establece que los aranceles regulados deberán ser determinados "en razón de grupos de carreras", principio contrapuesto a la fijación individual de precios para cada carrera impartida por una institución de educación superior específica.
     
    3.4. Derechos básicos de matrícula
     
    Los derechos básicos de matrícula (DBM) consisten en un valor anual por estudiante, que debe ser determinado según tipo de institución (universidad, instituto profesional o centro de formación técnica), según mandata el inciso tercero del artículo 88 de la Ley de Educación Superior. En consecuencia, para la determinación de estos valores se utilizará la información reportada sobre este aspecto en el levantamiento de costos 2022 (CI.2), el que considera una estimación de los gastos en remuneraciones y materiales utilizados para el período de admisión y matrícula, incluyendo también personal extraordinario contratado para este, costos notariales, mantenimiento de plataformas web y otros gastos similares asociados a este proceso a nivel institucional.
    En primera instancia, se descartan las IES que no reportaron información en este ítem del levantamiento de costos. Luego, el valor de los costos de titulación o graduación reportados se divide por la matrícula de pregrado de la institución, obteniéndose así valores por estudiante. Posteriormente, los derechos básicos de matrícula se obtienen del promedio de estos valores para cada uno de los respectivos tipos de instituciones. En el caso de que, entre las IES del subsistema técnico-profesional (IP y CFT) se obtengan valores promedio en los cuales el total de un tipo de institución duplique al otro, se construirá un promedio del conjunto de este subsistema, el que será asignado tanto a centros de formación técnica como institutos profesionales.
    La determinación de utilizar el promedio como criterio, responde al hecho de que los costos del ítem CI.2 han sido reportados a nivel institucional, por tanto, la estimación de los derechos básicos de matrícula estimados para cada estudiante corresponde a un único valor para el conjunto de la institución. De esto resulta una limitada heterogeneidad de estimaciones para derechos básicos de matrícula entre las instituciones, por lo que fijar valores por fuera del promedio de la población en análisis, podría redundar en marcadas tendencias al alza o a la baja tensionadas por pocas o incluso una única institución.
     
    3.5. Costos de titulación o graduación
     
    Los costos de titulación o graduación son definidos por la ley N° 21.091 como un valor único por estudiante, para uno o más grupos de carrera. Para determinarlos, se utiliza como base la información reportada en el levantamiento de costos (CI.3.), que solicitó una estimación de las remuneraciones del personal y materiales involucrados en el proceso de titulación, con especificaciones similares a las antes planteadas para la admisión y matrícula.
    Para estimar el valor de titulación o graduación, primero se estiman los valores per cápita en base a los titulados de pregrado de 2021 de cada institución. Si alguna institución sólo cuenta con una cohorte de egresados para menos de 5 carreras y exhibe valores atípicos por encima del percentil 99 de la distribución, se descartarán estas observaciones. Luego, se estima el promedio de titulación per cápita para cada macrogrupo de carreras construidos a partir de la primera etapa de agrupación (descrita en 3.2). Finalmente, si un grupo de carreras culmina con un valor de titulación inferior al promedio global, el valor se trunca por este último.
     
    De esta forma, se evita que ciertas carreras puedan resultar con valores regulados de titulación bajos, dada la sobrerrepresentación de instituciones con valores por debajo del promedio que pudiese eventualmente existir en algunos macrogrupos de carreras. Esta decisión se funda por la baja heterogeneidad de valores en titulación, la que, al igual que derechos básicos de matrícula, corresponde a un único valor por institución, por tanto, los valores por fuera del promedio podrían resultar imprecisos respecto de la tendencia general de la población en análisis.
     
    4. Primeros valores regulados y consideraciones futuras
     
    4.1. De las primeras carreras a regular
     
    En cumplimiento a lo dispuesto en la ley N° 21.485, que modifica el plazo de entrada en vigencia de los aranceles regulados, derechos básicos de matrícula, y cobros por concepto de titulación o graduación establecidos en el Título V de la ley N°21.091 de educación superior, para el financiamiento institucional para la gratuidad, el conjunto de procedimientos adoptados para el establecimiento de las presentes bases técnicas tiene por objeto permitir la entrada en vigencia de los primeros valores regulados para el año académico 2024. La determinación de las carreras y programas a incorporar en este proceso tiene como criterio esencial el hacer de este proceso una primera experiencia, que permita validar, calibrar, evaluar y mejorar el modelo de regulación y cálculo aquí planteado, en miras a la entrada gradual de áreas del conocimiento al régimen de valores regulados de aranceles, derechos básicos de matrícula y costos de titulación y graduación.
    Este principio se traduce, a su vez, en dos criterios operativos concretos asumidos por la Subsecretaría para determinar las primeras carreras a regular. Por un lado, conjuntos de carreras que presenten en total una participación baja en la matrícula del total de las IES adscritas a la Política de Gratuidad, con el propósito de que los valores aquí regulados no impacten de manera excesiva al sistema de educación superior, dado su carácter de experiencia inicial de aplicación de un nuevo modelo de regulación. Por otra parte, que se trate de carreras y programas de intensidad comparativamente baja en cuanto al uso de infraestructura y equipamiento, reconociendo la necesidad de recolectar información de costos para los próximos años (ver sección 4.2.) con miras a la incorporación gradual de carreras y programas más intensivos en estos aspectos. Este último criterio responde, además, a la particularidad del año 2021 en relación a la crisis del COVID-19 y sus repercusiones en la actividad presencial en el sistema de educación superior.
    En consecuencia, y tomando como base los "macrogrupos" establecidos a partir de la primera etapa de agrupación (sección 3.2.), para el caso de las carreras profesionales (Bachilleratos o equivalentes, Licenciaturas, Profesionales con Licenciatura) las primeras Subáreas CINE-F a regular serán las de "Bienestar" y "Periodismo e Información", mientras que para las carreras técnico-profesionales (Técnicas de Nivel Superior y Profesionales sin Licenciatura) las primeras corresponderán a las áreas de "Bienestar" y "Servicios de Higiene y Salud Ocupacional". Como se puede observar, estas cuatro agrupaciones iniciales representan en total un 3,9% de la matrícula total de las instituciones adscritas a la Gratuidad en 2022, y un 4,3% si se considera el sistema en su conjunto. Asimismo, estos macrogrupos permiten una participación equilibrada, para el primer proceso regulatorio, de los subsistemas profesional y técnico-profesional.
     
    Tabla 9 – Indicadores de matrícula de programas presenciales de pregrado 2022, para primeras agrupaciones de carreras a regular
     
   
     
     
    Cabe recordar que los valores regulados de aranceles, derechos básicos de matrícula y costos de titulación o graduación de estas carreras son calculados con valores a diciembre de 2022. Para efectos de su posterior publicación en abril de 2023, estos serán reajustados de acuerdo a la proyección de inflación 2023 considerada en el Informe de Finanzas Públicas de la Dirección de Presupuestos del Ministerio de Hacienda (DIPRES) del Tercer Trimestre, que es año a año el valor el utilizado como inflactor para la Ley de Presupuestos. En el caso del Presupuesto 2023, este inflactor es de un 6,3% (DIPRES, 2022, p.11). Una vez publicados estos valores, tendrán una vigencia de cinco años, en los cuales deben ser actualizados en octubre de cada año conforme al reajuste que señale la Ley de Presupuestos para el año en el cual serán aplicados los valores, conforme lo establece el artículo 94 de la Ley N° 21.091.
     
    4.2. Del levantamiento anual de información de costos
     
    El desarrollo presente y futuro de la regulación de aranceles, derechos básicos de matrícula y costos de titulación o graduación precisa de información de costos específica y desagregada -o, al menos, susceptible de serlo- al nivel de la carrera o programa de pregrado. En consecuencia, a partir de 2023, el proceso de levantamiento de información de costos se llevará a cabo de manera anual por parte de la Subsecretaría de Educación Superior, incorporando así estos aspectos dentro del ciclo de recolecciones periódicas que esta lleva a cabo como parte de su responsabilidad en materia de información consagrada en la ley N° 20.129.
    El levantamiento de información se basará, fundamentalmente, en los ítems utilizados para el presente proceso regulatorio y descritos en el Capítulo 2 de las presentes bases, sin perjuicio de la incorporación de posibles ajustes a partir de los aprendizajes de este primer proceso. Con todo, cualquier innovación a este respecto deberá necesariamente circunscribirse a los marcos establecidos a partir del mandato legal expreso que rige la presente regulación, y que ha sido resumido en el Capítulo 1.
    Los futuros procesos anuales de levantamiento de costos continuarán llevándose a cabo a través de la Plataforma PES, en tanto constituye una herramienta conocida por las IES del sistema y que otorga facilidad para la comunicación entre las partes. Por parte de las instituciones, les permite reportar sus costos en todo momento, así como detectar y corregir discrepancias en la misma plataforma, además tener a la vista los datos que serán usados para este proceso y contar con un soporte y ayuda para el llenado y subida de la información. Por parte de la Subsecretaría, facilita el seguimiento y consolidación de los datos informados, teniendo un reporte en tiempo real que propicia el acompañamiento y evaluación del proceso de levantamiento de costos.
    Esta periodicidad permitirá robustecer progresivamente la disponibilidad de información, para ir mejorando cada vez más las estimaciones de costos a lo largo del tiempo, a la vez que contribuir a la construcción y fortalecimiento de las capacidades existentes en las IES para observar con precisión los costos asociados a sus carreras y programas formativos. Aquello, necesariamente, deberá ir de la mano con los procesos tendientes a la progresiva unificación de las normas y criterios contables impulsados por la Contraloría General de la República (CGR) y la Superintendencia de Educación Superior (SES), que permitirán fortalecer la disponibilidad de información financiera clara, confiable, transparente y comparable por parte de las instituciones de educación superior.
     
    Referencias
     
   
     
   
     
   
     

    Artículo segundo.- Publíquese el presente acto administrativo en el Diario Oficial.

    Anótese, publíquese y archívese.- Verónica Figueroa Huencho, Subsecretaria de Educación Superior.